Номер 1.499, страница 150 - гдз по алгебре 10 класс учебник Арефьева, Пирютко

Алгебра, 10 класс Учебник, авторы: Арефьева Ирина Глебовна, Пирютко Ольга Николаевна, издательство Народная асвета, Минск, 2019, голубого цвета

Авторы: Арефьева И. Г., Пирютко О. Н.

Тип: Учебник

Издательство: Народная асвета

Год издания: 2019 - 2026

Цвет обложки: голубой с графиком

Допущено Министерством образования Республики Беларусь

Популярные ГДЗ в 10 классе

Глава 1. Тригонометрия. Параграф 11. Формулы двойного аргумента - номер 1.499, страница 150.

№1.499 (с. 150)
Условие. №1.499 (с. 150)
скриншот условия
Алгебра, 10 класс Учебник, авторы: Арефьева Ирина Глебовна, Пирютко Ольга Николаевна, издательство Народная асвета, Минск, 2019, голубого цвета, страница 150, номер 1.499, Условие

1.499. Воспользуйтесь формулами двойных углов и решите уравнение:

а) $\sin x \cos x = 0,25;$

б) $\sin^2 \frac{x}{2} - \cos^2 \frac{x}{2} = \frac{1}{2};$

в) $7\cos x + 2\sin 2x = 0;$

г) $\sin^2 (\frac{\pi}{2} + x) - \sin^2 (x - \pi) = \frac{\sqrt{2}}{2};$

д) $(\sin x + \cos x)^2 = 1;$

е) $2\sin^2 x = 2\cos^2 x + \sqrt{3}.$

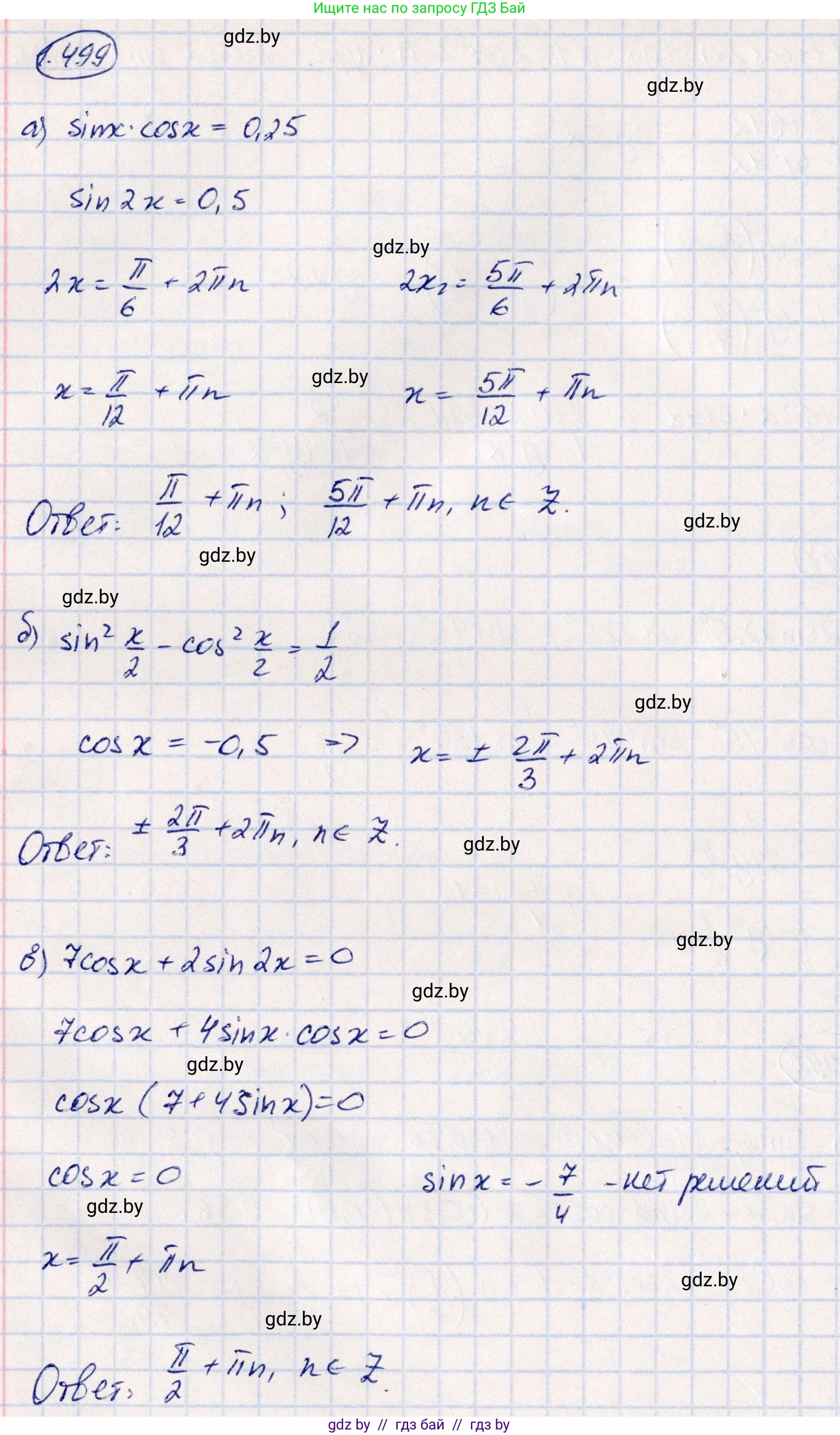
Решение. №1.499 (с. 150)
Алгебра, 10 класс Учебник, авторы: Арефьева Ирина Глебовна, Пирютко Ольга Николаевна, издательство Народная асвета, Минск, 2019, голубого цвета, страница 150, номер 1.499, Решение Алгебра, 10 класс Учебник, авторы: Арефьева Ирина Глебовна, Пирютко Ольга Николаевна, издательство Народная асвета, Минск, 2019, голубого цвета, страница 150, номер 1.499, Решение (продолжение 2)
Решение 2. №1.499 (с. 150)

а) Дано уравнение: $ \sin x \cos x = 0,25 $.

Воспользуемся формулой синуса двойного угла: $ \sin(2\alpha) = 2 \sin \alpha \cos \alpha $.

Умножим обе части уравнения на 2:

$ 2 \sin x \cos x = 2 \cdot 0,25 $

$ \sin(2x) = 0,5 $

Решим это простейшее тригонометрическое уравнение. Общее решение для $ \sin y = a $ имеет вид $ y = (-1)^n \arcsin(a) + \pi n $, где $ n \in \mathbb{Z} $.

$ 2x = (-1)^n \arcsin(0,5) + \pi n $, $ n \in \mathbb{Z} $

Так как $ \arcsin(0,5) = \frac{\pi}{6} $, получаем:

$ 2x = (-1)^n \frac{\pi}{6} + \pi n $

Разделим обе части на 2, чтобы найти $x$:

$ x = (-1)^n \frac{\pi}{12} + \frac{\pi n}{2} $, $ n \in \mathbb{Z} $

Ответ: $ x = (-1)^n \frac{\pi}{12} + \frac{\pi n}{2} $, $ n \in \mathbb{Z} $


б) Дано уравнение: $ \sin^2 \frac{x}{2} - \cos^2 \frac{x}{2} = \frac{1}{2} $.

Воспользуемся формулой косинуса двойного угла: $ \cos(2\alpha) = \cos^2 \alpha - \sin^2 \alpha $.

Вынесем минус за скобки в левой части уравнения:

$ -(\cos^2 \frac{x}{2} - \sin^2 \frac{x}{2}) = \frac{1}{2} $

Применим формулу двойного угла для $ \alpha = \frac{x}{2} $:

$ -\cos(2 \cdot \frac{x}{2}) = \frac{1}{2} $

$ -\cos x = \frac{1}{2} $

$ \cos x = -\frac{1}{2} $

Общее решение для $ \cos x = a $ имеет вид $ x = \pm \arccos(a) + 2\pi n $, где $ n \in \mathbb{Z} $.

$ x = \pm \arccos(-\frac{1}{2}) + 2\pi n $, $ n \in \mathbb{Z} $

Так как $ \arccos(-\frac{1}{2}) = \frac{2\pi}{3} $, получаем:

$ x = \pm \frac{2\pi}{3} + 2\pi n $, $ n \in \mathbb{Z} $

Ответ: $ x = \pm \frac{2\pi}{3} + 2\pi n $, $ n \in \mathbb{Z} $


в) Дано уравнение: $ 7\cos x + 2\sin 2x = 0 $.

Применим формулу синуса двойного угла $ \sin(2x) = 2 \sin x \cos x $:

$ 7\cos x + 2(2 \sin x \cos x) = 0 $

$ 7\cos x + 4 \sin x \cos x = 0 $

Вынесем общий множитель $ \cos x $ за скобки:

$ \cos x (7 + 4 \sin x) = 0 $

Произведение равно нулю, когда хотя бы один из множителей равен нулю. Получаем два случая:

1) $ \cos x = 0 $

$ x = \frac{\pi}{2} + \pi n $, $ n \in \mathbb{Z} $

2) $ 7 + 4 \sin x = 0 $

$ 4 \sin x = -7 $

$ \sin x = -\frac{7}{4} = -1,75 $

Так как область значений функции синуса $ [-1, 1] $, это уравнение не имеет решений.

Таким образом, единственным решением исходного уравнения является решение первого случая.

Ответ: $ x = \frac{\pi}{2} + \pi n $, $ n \in \mathbb{Z} $


г) Дано уравнение: $ \sin^2(\frac{\pi}{2} + x) - \sin^2(x - \pi) = \frac{\sqrt{2}}{2} $.

Используем формулы приведения:

$ \sin(\frac{\pi}{2} + x) = \cos x $

$ \sin(x - \pi) = \sin(-(\pi - x)) = -\sin(\pi - x) = -\sin x $

Подставим эти выражения в уравнение:

$ (\cos x)^2 - (-\sin x)^2 = \frac{\sqrt{2}}{2} $

$ \cos^2 x - \sin^2 x = \frac{\sqrt{2}}{2} $

Слева мы получили формулу косинуса двойного угла $ \cos(2x) = \cos^2 x - \sin^2 x $:

$ \cos(2x) = \frac{\sqrt{2}}{2} $

Решаем это уравнение:

$ 2x = \pm \arccos(\frac{\sqrt{2}}{2}) + 2\pi n $, $ n \in \mathbb{Z} $

$ 2x = \pm \frac{\pi}{4} + 2\pi n $

$ x = \pm \frac{\pi}{8} + \pi n $, $ n \in \mathbb{Z} $

Ответ: $ x = \pm \frac{\pi}{8} + \pi n $, $ n \in \mathbb{Z} $


д) Дано уравнение: $ (\sin x + \cos x)^2 = 1 $.

Раскроем скобки, используя формулу квадрата суммы $ (a+b)^2 = a^2+2ab+b^2 $:

$ \sin^2 x + 2\sin x \cos x + \cos^2 x = 1 $

Сгруппируем слагаемые, используя основное тригонометрическое тождество $ \sin^2 x + \cos^2 x = 1 $ и формулу синуса двойного угла $ 2\sin x \cos x = \sin(2x) $:

$ (\sin^2 x + \cos^2 x) + 2\sin x \cos x = 1 $

$ 1 + \sin(2x) = 1 $

Вычтем 1 из обеих частей:

$ \sin(2x) = 0 $

Это частный случай простейшего тригонометрического уравнения, решение которого:

$ 2x = \pi n $, $ n \in \mathbb{Z} $

Разделим на 2:

$ x = \frac{\pi n}{2} $, $ n \in \mathbb{Z} $

Ответ: $ x = \frac{\pi n}{2} $, $ n \in \mathbb{Z} $


е) Дано уравнение: $ 2\sin^2 x = 2\cos^2 x + \sqrt{3} $.

Перенесем слагаемые с тригонометрическими функциями в одну сторону:

$ 2\cos^2 x - 2\sin^2 x = -\sqrt{3} $

Вынесем 2 за скобки:

$ 2(\cos^2 x - \sin^2 x) = -\sqrt{3} $

Выражение в скобках является формулой косинуса двойного угла $ \cos(2x) = \cos^2 x - \sin^2 x $:

$ 2\cos(2x) = -\sqrt{3} $

Разделим обе части на 2:

$ \cos(2x) = -\frac{\sqrt{3}}{2} $

Решаем это уравнение:

$ 2x = \pm \arccos(-\frac{\sqrt{3}}{2}) + 2\pi n $, $ n \in \mathbb{Z} $

Так как $ \arccos(-\frac{\sqrt{3}}{2}) = \frac{5\pi}{6} $, получаем:

$ 2x = \pm \frac{5\pi}{6} + 2\pi n $

Разделим обе части на 2, чтобы найти $ x $:

$ x = \pm \frac{5\pi}{12} + \pi n $, $ n \in \mathbb{Z} $

Ответ: $ x = \pm \frac{5\pi}{12} + \pi n $, $ n \in \mathbb{Z} $

Помогло решение? Оставьте отзыв в комментариях ниже.

Присоединяйтесь к Телеграм-группе @gdz_by_belarus

Присоединиться

Мы подготовили для вас ответ c подробным объяснением домашего задания по алгебре за 10 класс, для упражнения номер 1.499 расположенного на странице 150 к учебнику 2019 года издания для учащихся школ и гимназий.

Теперь на нашем сайте ГДЗ.ТОП вы всегда легко и бесплатно найдёте условие с правильным ответом на вопрос «Как решить ДЗ» и «Как сделать» задание по алгебре к упражнению №1.499 (с. 150), авторов: Арефьева (Ирина Глебовна), Пирютко (Ольга Николаевна), учебного пособия издательства Народная асвета.