Номер 1.500, страница 150 - гдз по алгебре 10 класс учебник Арефьева, Пирютко

Алгебра, 10 класс Учебник, авторы: Арефьева Ирина Глебовна, Пирютко Ольга Николаевна, издательство Народная асвета, Минск, 2019, голубого цвета

Авторы: Арефьева И. Г., Пирютко О. Н.

Тип: Учебник

Издательство: Народная асвета

Год издания: 2019 - 2026

Цвет обложки: голубой с графиком

Допущено Министерством образования Республики Беларусь

Популярные ГДЗ в 10 классе

Глава 1. Тригонометрия. Параграф 11. Формулы двойного аргумента - номер 1.500, страница 150.

№1.500 (с. 150)
Условие. №1.500 (с. 150)
скриншот условия
Алгебра, 10 класс Учебник, авторы: Арефьева Ирина Глебовна, Пирютко Ольга Николаевна, издательство Народная асвета, Минск, 2019, голубого цвета, страница 150, номер 1.500, Условие

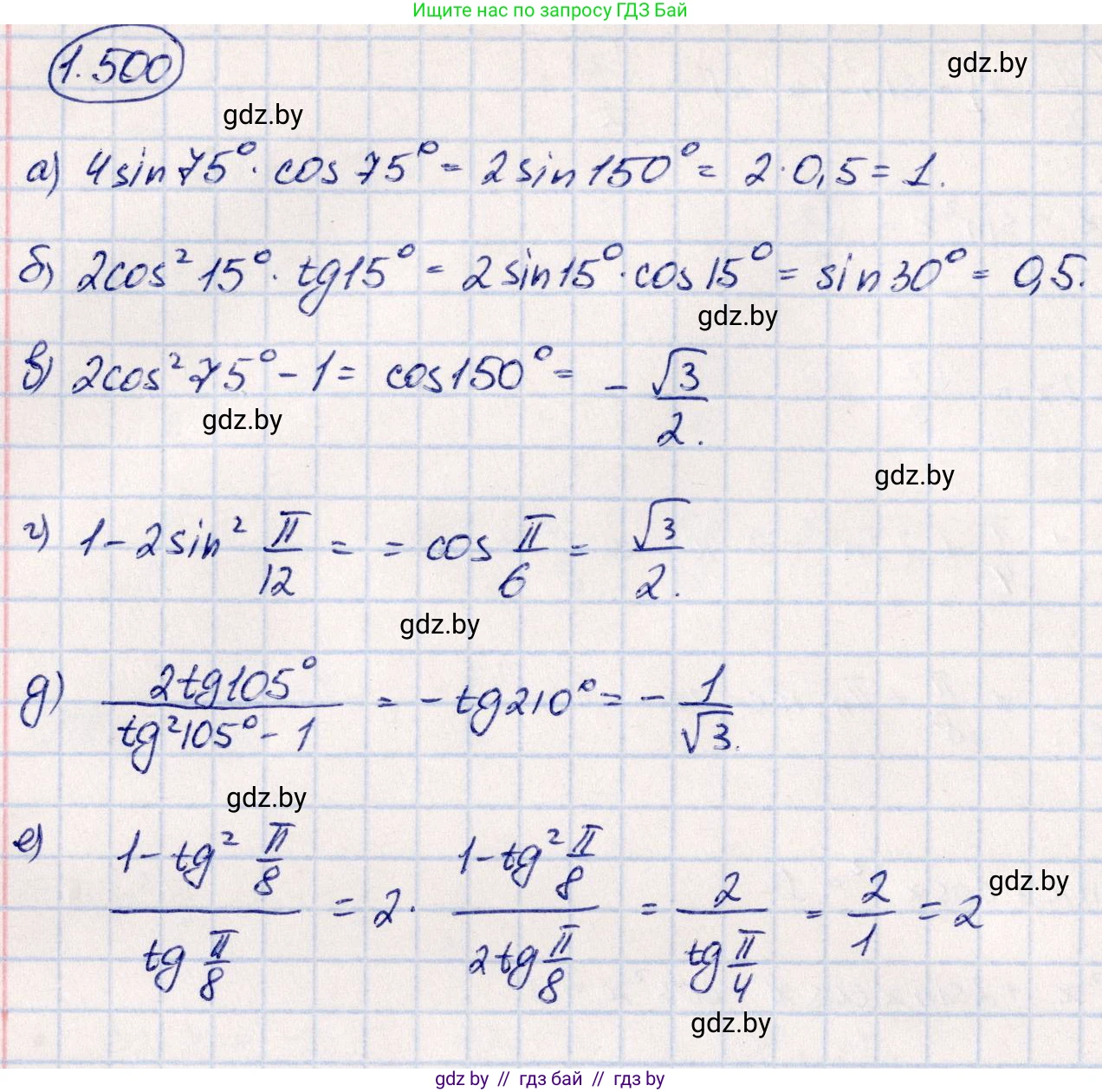
1.500. Найдите значение выражения:

a) $4\sin 75^\circ \cos 75^\circ$;

б) $2\cos^2 15^\circ \text{tg} 15^\circ$;

в) $2\cos^2 75^\circ - 1$;

г) $1 - 2\sin^2 \frac{\pi}{12}$;

д) $\frac{2\text{tg}105^\circ}{\text{tg}^2 105^\circ - 1}$;

е) $\frac{1 - \text{tg}^2 \frac{\pi}{8}}{\text{tg} \frac{\pi}{8}}$.

Решение. №1.500 (с. 150)
Алгебра, 10 класс Учебник, авторы: Арефьева Ирина Глебовна, Пирютко Ольга Николаевна, издательство Народная асвета, Минск, 2019, голубого цвета, страница 150, номер 1.500, Решение
Решение 2. №1.500 (с. 150)

а) Для нахождения значения выражения $4\sin 75^\circ \cos 75^\circ$ воспользуемся формулой синуса двойного угла: $\sin(2\alpha) = 2\sin\alpha\cos\alpha$.

Представим выражение в виде:$4\sin 75^\circ \cos 75^\circ = 2 \cdot (2\sin 75^\circ \cos 75^\circ)$.

Применяя формулу с $\alpha = 75^\circ$, получаем:$2\sin 75^\circ \cos 75^\circ = \sin(2 \cdot 75^\circ) = \sin(150^\circ)$.

Значение $\sin(150^\circ)$ можно найти, используя формулы приведения:$\sin(150^\circ) = \sin(180^\circ - 30^\circ) = \sin(30^\circ) = \frac{1}{2}$.

Тогда исходное выражение равно:$2 \cdot \sin(150^\circ) = 2 \cdot \frac{1}{2} = 1$.

Ответ: 1.


б) Для нахождения значения выражения $2\cos^2 15^\circ \tan 15^\circ$ воспользуемся определением тангенса: $\tan\alpha = \frac{\sin\alpha}{\cos\alpha}$.

Подставим это в выражение:$2\cos^2 15^\circ \tan 15^\circ = 2\cos^2 15^\circ \cdot \frac{\sin 15^\circ}{\cos 15^\circ}$.

Сократив $\cos 15^\circ$ (так как $\cos 15^\circ \neq 0$), получим:$2\cos 15^\circ \sin 15^\circ$.

Это выражение соответствует формуле синуса двойного угла $\sin(2\alpha) = 2\sin\alpha\cos\alpha$ при $\alpha = 15^\circ$.$2\sin 15^\circ\cos 15^\circ = \sin(2 \cdot 15^\circ) = \sin(30^\circ)$.

Значение $\sin(30^\circ)$ равно $\frac{1}{2}$.

Ответ: $\frac{1}{2}$.


в) Выражение $2\cos^2 75^\circ - 1$ соответствует формуле косинуса двойного угла: $\cos(2\alpha) = 2\cos^2\alpha - 1$.

Применим эту формулу при $\alpha = 75^\circ$:$2\cos^2 75^\circ - 1 = \cos(2 \cdot 75^\circ) = \cos(150^\circ)$.

Для нахождения значения $\cos(150^\circ)$ используем формулы приведения:$\cos(150^\circ) = \cos(180^\circ - 30^\circ) = -\cos(30^\circ) = -\frac{\sqrt{3}}{2}$.

Ответ: $-\frac{\sqrt{3}}{2}$.


г) Выражение $1 - 2\sin^2 \frac{\pi}{12}$ соответствует формуле косинуса двойного угла: $\cos(2\alpha) = 1 - 2\sin^2\alpha$.

Применим эту формулу при $\alpha = \frac{\pi}{12}$:$1 - 2\sin^2 \frac{\pi}{12} = \cos\left(2 \cdot \frac{\pi}{12}\right) = \cos\left(\frac{\pi}{6}\right)$.

Значение $\cos\left(\frac{\pi}{6}\right)$ является табличным:$\cos\left(\frac{\pi}{6}\right) = \frac{\sqrt{3}}{2}$.

Ответ: $\frac{\sqrt{3}}{2}$.


д) Для упрощения выражения $\frac{2\tan 105^\circ}{\tan^2 105^\circ - 1}$ сравним его с формулой тангенса двойного угла: $\tan(2\alpha) = \frac{2\tan\alpha}{1 - \tan^2\alpha}$.

Знаменатель в данном выражении имеет противоположный знак. Вынесем минус за скобки в знаменателе:$\frac{2\tan 105^\circ}{\tan^2 105^\circ - 1} = \frac{2\tan 105^\circ}{-(1 - \tan^2 105^\circ)} = - \frac{2\tan 105^\circ}{1 - \tan^2 105^\circ}$.

Теперь выражение в правой части соответствует формуле тангенса двойного угла при $\alpha = 105^\circ$:$- \frac{2\tan 105^\circ}{1 - \tan^2 105^\circ} = -\tan(2 \cdot 105^\circ) = -\tan(210^\circ)$.

Используем периодичность тангенса и формулы приведения:$\tan(210^\circ) = \tan(180^\circ + 30^\circ) = \tan(30^\circ) = \frac{\sqrt{3}}{3}$.

Следовательно, исходное выражение равно:$-\tan(210^\circ) = -\frac{\sqrt{3}}{3}$.

Ответ: $-\frac{\sqrt{3}}{3}$.


е) Для нахождения значения выражения $\frac{1 - \tan^2 \frac{\pi}{8}}{\tan \frac{\pi}{8}}$ воспользуемся формулой котангенса двойного угла: $\cot(2\alpha) = \frac{1 - \tan^2\alpha}{2\tan\alpha}$.

Преобразуем исходное выражение, чтобы оно соответствовало формуле:$\frac{1 - \tan^2 \frac{\pi}{8}}{\tan \frac{\pi}{8}} = 2 \cdot \frac{1 - \tan^2 \frac{\pi}{8}}{2\tan \frac{\pi}{8}}$.

Применяя формулу котангенса двойного угла с $\alpha = \frac{\pi}{8}$, получаем:$2 \cdot \cot\left(2 \cdot \frac{\pi}{8}\right) = 2 \cdot \cot\left(\frac{\pi}{4}\right)$.

Значение $\cot\left(\frac{\pi}{4}\right)$ равно 1.$2 \cdot 1 = 2$.

Ответ: 2.

Помогло решение? Оставьте отзыв в комментариях ниже.

Присоединяйтесь к Телеграм-группе @gdz_by_belarus

Присоединиться

Мы подготовили для вас ответ c подробным объяснением домашего задания по алгебре за 10 класс, для упражнения номер 1.500 расположенного на странице 150 к учебнику 2019 года издания для учащихся школ и гимназий.

Теперь на нашем сайте ГДЗ.ТОП вы всегда легко и бесплатно найдёте условие с правильным ответом на вопрос «Как решить ДЗ» и «Как сделать» задание по алгебре к упражнению №1.500 (с. 150), авторов: Арефьева (Ирина Глебовна), Пирютко (Ольга Николаевна), учебного пособия издательства Народная асвета.