Номер 1.524, страница 156 - гдз по алгебре 10 класс учебник Арефьева, Пирютко

Алгебра, 10 класс Учебник, авторы: Арефьева Ирина Глебовна, Пирютко Ольга Николаевна, издательство Народная асвета, Минск, 2019, голубого цвета

Авторы: Арефьева И. Г., Пирютко О. Н.

Тип: Учебник

Издательство: Народная асвета

Год издания: 2019 - 2026

Цвет обложки: голубой с графиком

Допущено Министерством образования Республики Беларусь

Популярные ГДЗ в 10 классе

Глава 1. Тригонометрия. Параграф 12. Формулы преобразования суммы и разности синусов (косинусов) в произведение - номер 1.524, страница 156.

№1.524 (с. 156)
Условие. №1.524 (с. 156)
скриншот условия
Алгебра, 10 класс Учебник, авторы: Арефьева Ирина Глебовна, Пирютко Ольга Николаевна, издательство Народная асвета, Минск, 2019, голубого цвета, страница 156, номер 1.524, Условие

1.524. Решите уравнение:

а) $ \sin 4x = \sin 10x $;

б) $ \cos \left(2x + \frac{\pi}{4}\right) = -\cos 4x $;

в) $ \sin \left(\frac{\pi}{4} - x\right) + \sin \left(\frac{\pi}{12} + x\right) = 1 $.

Решение. №1.524 (с. 156)
Алгебра, 10 класс Учебник, авторы: Арефьева Ирина Глебовна, Пирютко Ольга Николаевна, издательство Народная асвета, Минск, 2019, голубого цвета, страница 156, номер 1.524, Решение Алгебра, 10 класс Учебник, авторы: Арефьева Ирина Глебовна, Пирютко Ольга Николаевна, издательство Народная асвета, Минск, 2019, голубого цвета, страница 156, номер 1.524, Решение (продолжение 2)
Решение 2. №1.524 (с. 156)

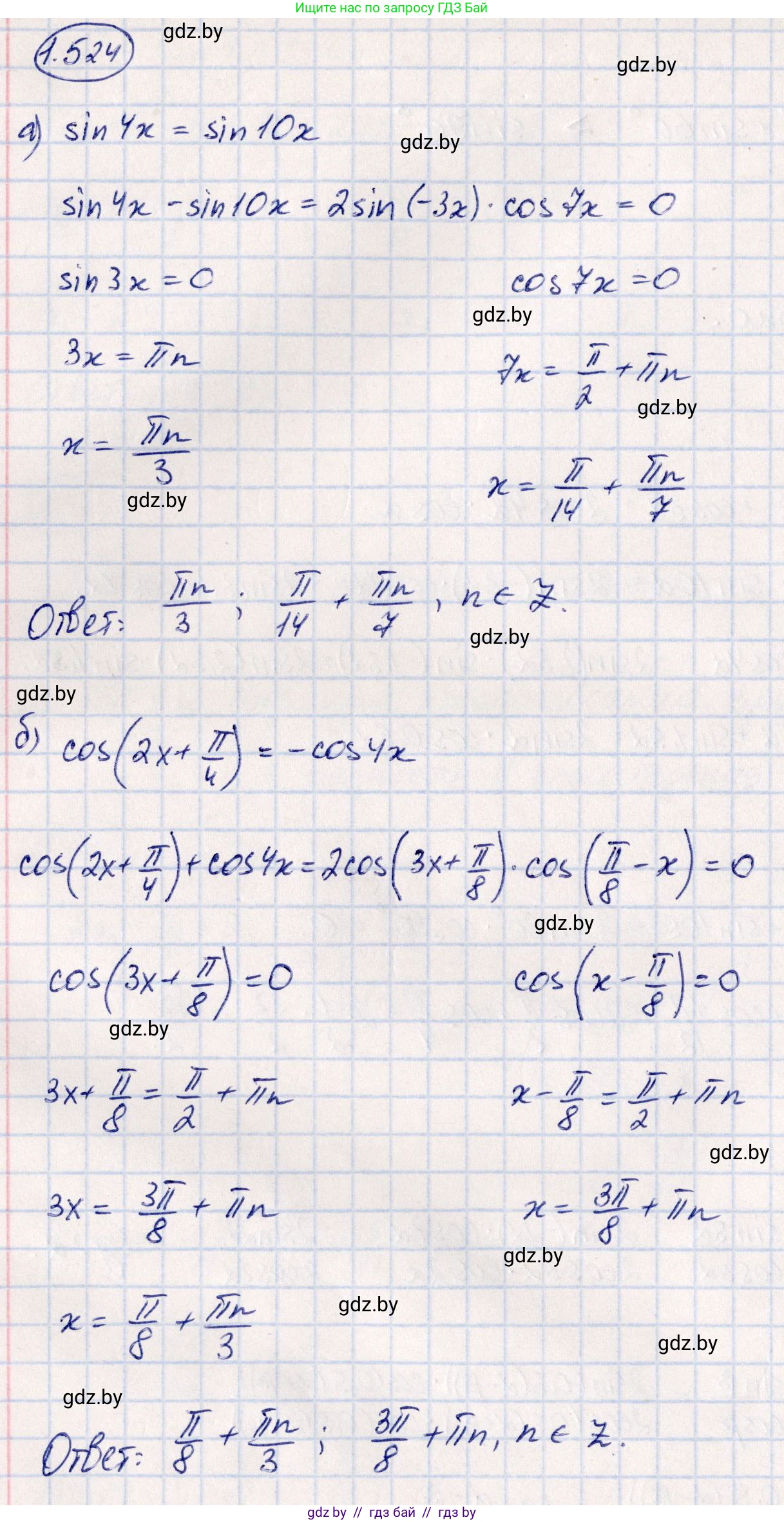
a) Решим уравнение $ \sin 4x = \sin 10x $.

Перенесем все члены в одну часть уравнения:

$ \sin 10x - \sin 4x = 0 $

Воспользуемся формулой разности синусов: $ \sin\alpha - \sin\beta = 2\sin\frac{\alpha-\beta}{2}\cos\frac{\alpha+\beta}{2} $.

В нашем случае $ \alpha = 10x $ и $ \beta = 4x $.

$ 2\sin\frac{10x-4x}{2}\cos\frac{10x+4x}{2} = 0 $

$ 2\sin(3x)\cos(7x) = 0 $

Произведение равно нулю, когда хотя бы один из множителей равен нулю. Таким образом, получаем два уравнения:

1) $ \sin(3x) = 0 $

$ 3x = \pi n $, где $ n \in \mathbb{Z} $

$ x = \frac{\pi n}{3} $, где $ n \in \mathbb{Z} $

2) $ \cos(7x) = 0 $

$ 7x = \frac{\pi}{2} + \pi k $, где $ k \in \mathbb{Z} $

$ x = \frac{\pi}{14} + \frac{\pi k}{7} = \frac{\pi(1+2k)}{14} $, где $ k \in \mathbb{Z} $

Ответ: $ x = \frac{\pi n}{3} $, $ x = \frac{\pi(2k+1)}{14} $, где $ n, k \in \mathbb{Z} $.

б) Решим уравнение $ \cos(2x + \frac{\pi}{4}) = -\cos 4x $.

Перенесем все члены в одну часть уравнения:

$ \cos(2x + \frac{\pi}{4}) + \cos 4x = 0 $

Воспользуемся формулой суммы косинусов: $ \cos\alpha + \cos\beta = 2\cos\frac{\alpha+\beta}{2}\cos\frac{\alpha-\beta}{2} $.

В нашем случае $ \alpha = 2x + \frac{\pi}{4} $ и $ \beta = 4x $.

$ 2\cos\frac{(2x + \frac{\pi}{4}) + 4x}{2}\cos\frac{(2x + \frac{\pi}{4}) - 4x}{2} = 0 $

$ 2\cos\frac{6x + \frac{\pi}{4}}{2}\cos\frac{-2x + \frac{\pi}{4}}{2} = 0 $

$ \cos(3x + \frac{\pi}{8})\cos(-x + \frac{\pi}{8}) = 0 $

Используя свойство четности косинуса $ \cos(-y) = \cos y $, получаем:

$ \cos(3x + \frac{\pi}{8})\cos(x - \frac{\pi}{8}) = 0 $

Произведение равно нулю, когда хотя бы один из множителей равен нулю. Таким образом, получаем два уравнения:

1) $ \cos(3x + \frac{\pi}{8}) = 0 $

$ 3x + \frac{\pi}{8} = \frac{\pi}{2} + \pi n $, где $ n \in \mathbb{Z} $

$ 3x = \frac{\pi}{2} - \frac{\pi}{8} + \pi n = \frac{4\pi - \pi}{8} + \pi n = \frac{3\pi}{8} + \pi n $

$ x = \frac{\pi}{8} + \frac{\pi n}{3} $, где $ n \in \mathbb{Z} $

2) $ \cos(x - \frac{\pi}{8}) = 0 $

$ x - \frac{\pi}{8} = \frac{\pi}{2} + \pi k $, где $ k \in \mathbb{Z} $

$ x = \frac{\pi}{2} + \frac{\pi}{8} + \pi k = \frac{4\pi + \pi}{8} + \pi k = \frac{5\pi}{8} + \pi k $

Ответ: $ x = \frac{\pi}{8} + \frac{\pi n}{3} $, $ x = \frac{5\pi}{8} + \pi k $, где $ n, k \in \mathbb{Z} $.

в) Решим уравнение $ \sin(\frac{\pi}{4} - x) + \sin(\frac{\pi}{12} + x) = 1 $.

Воспользуемся формулой суммы синусов: $ \sin\alpha + \sin\beta = 2\sin\frac{\alpha+\beta}{2}\cos\frac{\alpha-\beta}{2} $.

В нашем случае $ \alpha = \frac{\pi}{4} - x $ и $ \beta = \frac{\pi}{12} + x $.

Найдем полусумму и полуразность аргументов:

$ \frac{\alpha+\beta}{2} = \frac{(\frac{\pi}{4} - x) + (\frac{\pi}{12} + x)}{2} = \frac{\frac{3\pi}{12} + \frac{\pi}{12}}{2} = \frac{\frac{4\pi}{12}}{2} = \frac{\frac{\pi}{3}}{2} = \frac{\pi}{6} $

$ \frac{\alpha-\beta}{2} = \frac{(\frac{\pi}{4} - x) - (\frac{\pi}{12} + x)}{2} = \frac{\frac{3\pi}{12} - \frac{\pi}{12} - 2x}{2} = \frac{\frac{2\pi}{12} - 2x}{2} = \frac{\frac{\pi}{6} - 2x}{2} = \frac{\pi}{12} - x $

Подставим найденные значения в формулу:

$ 2\sin(\frac{\pi}{6})\cos(\frac{\pi}{12} - x) = 1 $

Так как $ \sin(\frac{\pi}{6}) = \frac{1}{2} $, получаем:

$ 2 \cdot \frac{1}{2} \cdot \cos(\frac{\pi}{12} - x) = 1 $

$ \cos(\frac{\pi}{12} - x) = 1 $

Используя свойство четности косинуса $ \cos(-y) = \cos y $, можем записать:

$ \cos(x - \frac{\pi}{12}) = 1 $

Это частный случай, решение которого:

$ x - \frac{\pi}{12} = 2\pi n $, где $ n \in \mathbb{Z} $

$ x = \frac{\pi}{12} + 2\pi n $, где $ n \in \mathbb{Z} $

Ответ: $ x = \frac{\pi}{12} + 2\pi n $, где $ n \in \mathbb{Z} $.

Помогло решение? Оставьте отзыв в комментариях ниже.

Присоединяйтесь к Телеграм-группе @gdz_by_belarus

Присоединиться

Мы подготовили для вас ответ c подробным объяснением домашего задания по алгебре за 10 класс, для упражнения номер 1.524 расположенного на странице 156 к учебнику 2019 года издания для учащихся школ и гимназий.

Теперь на нашем сайте ГДЗ.ТОП вы всегда легко и бесплатно найдёте условие с правильным ответом на вопрос «Как решить ДЗ» и «Как сделать» задание по алгебре к упражнению №1.524 (с. 156), авторов: Арефьева (Ирина Глебовна), Пирютко (Ольга Николаевна), учебного пособия издательства Народная асвета.