Номер 1.528, страница 156 - гдз по алгебре 10 класс учебник Арефьева, Пирютко

Алгебра, 10 класс Учебник, авторы: Арефьева Ирина Глебовна, Пирютко Ольга Николаевна, издательство Народная асвета, Минск, 2019, голубого цвета

Авторы: Арефьева И. Г., Пирютко О. Н.

Тип: Учебник

Издательство: Народная асвета

Год издания: 2019 - 2026

Цвет обложки: голубой с графиком

Допущено Министерством образования Республики Беларусь

Популярные ГДЗ в 10 классе

Глава 1. Тригонометрия. Параграф 12. Формулы преобразования суммы и разности синусов (косинусов) в произведение - номер 1.528, страница 156.

№1.528 (с. 156)
Условие. №1.528 (с. 156)
скриншот условия
Алгебра, 10 класс Учебник, авторы: Арефьева Ирина Глебовна, Пирютко Ольга Николаевна, издательство Народная асвета, Минск, 2019, голубого цвета, страница 156, номер 1.528, Условие

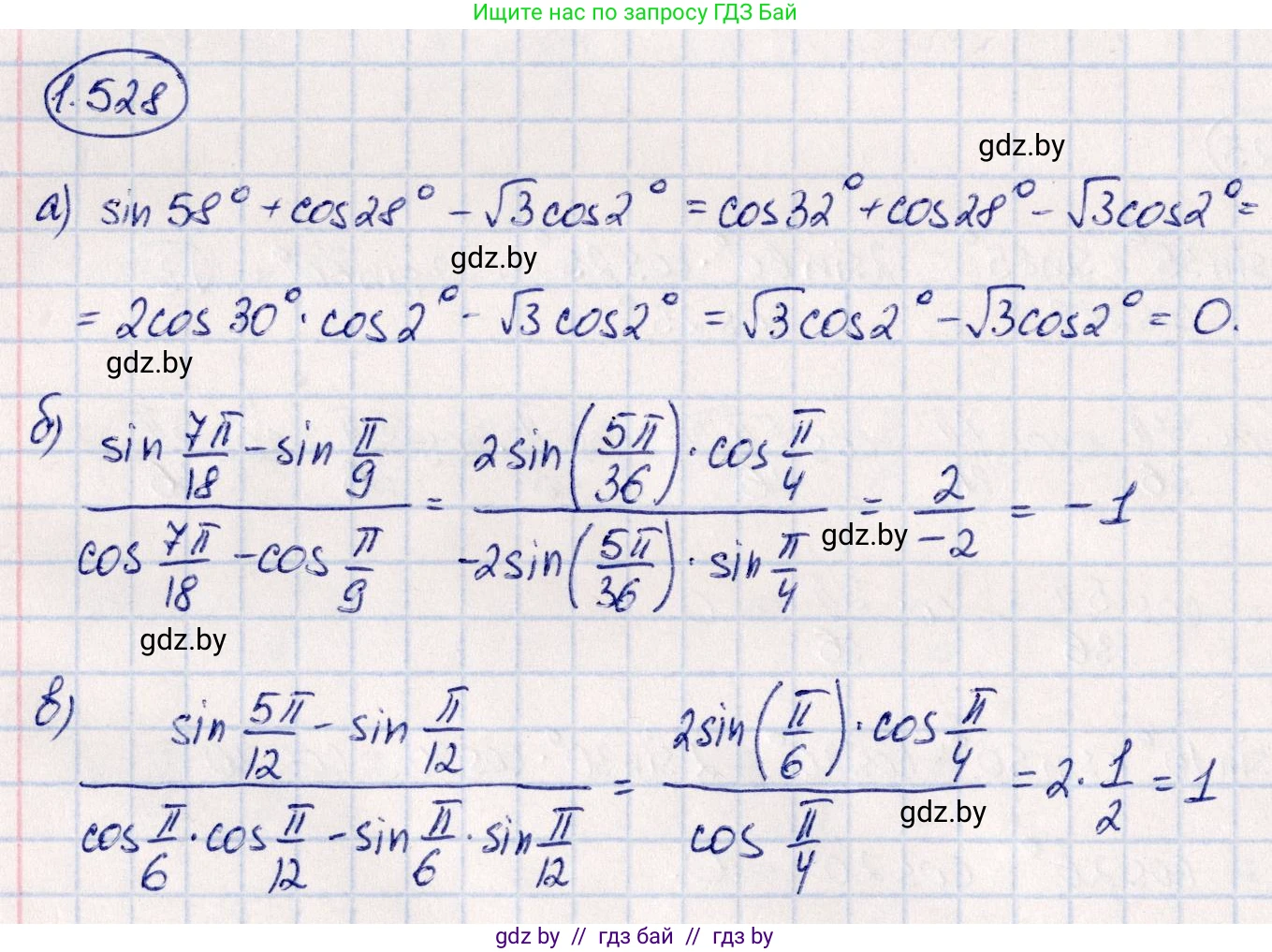
1.528. Найдите значение выражения:

a) $\sin 58^\circ + \cos 28^\circ - \sqrt{3} \cos 2^\circ$;

б) $\frac{\sin \frac{7\pi}{18} - \sin \frac{\pi}{9}}{\cos \frac{7\pi}{18} - \cos \frac{\pi}{9}}$;

в) $\frac{\sin \frac{5\pi}{12} - \sin \frac{\pi}{12}}{\cos \frac{\pi}{6}\cos \frac{\pi}{12} - \sin \frac{\pi}{6}\sin \frac{\pi}{12}}$.

Решение. №1.528 (с. 156)
Алгебра, 10 класс Учебник, авторы: Арефьева Ирина Глебовна, Пирютко Ольга Николаевна, издательство Народная асвета, Минск, 2019, голубого цвета, страница 156, номер 1.528, Решение
Решение 2. №1.528 (с. 156)

а) Найдем значение выражения $ \sin58^\circ + \cos28^\circ - \sqrt{3}\cos2^\circ $.

Для начала, воспользуемся формулой приведения $ \cos\alpha = \sin(90^\circ - \alpha) $ для преобразования $ \cos28^\circ $:

$ \cos28^\circ = \sin(90^\circ - 28^\circ) = \sin62^\circ $

Теперь исходное выражение можно переписать в виде:

$ \sin58^\circ + \sin62^\circ - \sqrt{3}\cos2^\circ $

К сумме синусов $ \sin58^\circ + \sin62^\circ $ применим формулу преобразования суммы в произведение $ \sin\alpha + \sin\beta = 2\sin\frac{\alpha+\beta}{2}\cos\frac{\alpha-\beta}{2} $:

$ \sin58^\circ + \sin62^\circ = 2\sin\frac{58^\circ+62^\circ}{2}\cos\frac{62^\circ-58^\circ}{2} = 2\sin\frac{120^\circ}{2}\cos\frac{4^\circ}{2} = 2\sin60^\circ\cos2^\circ $

Зная, что $ \sin60^\circ = \frac{\sqrt{3}}{2} $, получаем:

$ 2\sin60^\circ\cos2^\circ = 2 \cdot \frac{\sqrt{3}}{2} \cdot \cos2^\circ = \sqrt{3}\cos2^\circ $

Подставим полученный результат в преобразованное выражение:

$ \sqrt{3}\cos2^\circ - \sqrt{3}\cos2^\circ = 0 $

Ответ: 0


б) Найдем значение выражения $ \frac{\sin\frac{7\pi}{18} - \sin\frac{\pi}{9}}{\cos\frac{7\pi}{18} - \cos\frac{\pi}{9}} $.

Приведем аргументы к общему знаменателю: $ \frac{\pi}{9} = \frac{2\pi}{18} $. Выражение принимает вид:

$ \frac{\sin\frac{7\pi}{18} - \sin\frac{2\pi}{18}}{\cos\frac{7\pi}{18} - \cos\frac{2\pi}{18}} $

Воспользуемся формулами преобразования разности тригонометрических функций в произведение:

  • Для числителя (разность синусов): $ \sin\alpha - \sin\beta = 2\cos\frac{\alpha+\beta}{2}\sin\frac{\alpha-\beta}{2} $
  • Для знаменателя (разность косинусов): $ \cos\alpha - \cos\beta = -2\sin\frac{\alpha+\beta}{2}\sin\frac{\alpha-\beta}{2} $

Пусть $ \alpha = \frac{7\pi}{18} $ и $ \beta = \frac{2\pi}{18} $. Найдем полусумму и полуразность углов:

$ \frac{\alpha+\beta}{2} = \frac{\frac{7\pi}{18} + \frac{2\pi}{18}}{2} = \frac{\frac{9\pi}{18}}{2} = \frac{\pi/2}{2} = \frac{\pi}{4} $

$ \frac{\alpha-\beta}{2} = \frac{\frac{7\pi}{18} - \frac{2\pi}{18}}{2} = \frac{\frac{5\pi}{18}}{2} = \frac{5\pi}{36} $

Подставим эти значения в формулы:

$ \frac{2\cos\frac{\pi}{4}\sin\frac{5\pi}{36}}{-2\sin\frac{\pi}{4}\sin\frac{5\pi}{36}} $

Сокращаем общие множители $ 2 $ и $ \sin\frac{5\pi}{36} $ (так как $ \sin\frac{5\pi}{36} \ne 0 $):

$ -\frac{\cos\frac{\pi}{4}}{\sin\frac{\pi}{4}} = -\cot\frac{\pi}{4} $

Поскольку $ \cot\frac{\pi}{4} = 1 $, то результат равен -1.

Ответ: -1


в) Найдем значение выражения $ \frac{\sin\frac{5\pi}{12} - \sin\frac{\pi}{12}}{\cos\frac{\pi}{6}\cos\frac{\pi}{12} - \sin\frac{\pi}{6}\sin\frac{\pi}{12}} $.

Рассмотрим числитель и знаменатель по отдельности.

Числитель: $ \sin\frac{5\pi}{12} - \sin\frac{\pi}{12} $. Применим формулу разности синусов $ \sin\alpha - \sin\beta = 2\cos\frac{\alpha+\beta}{2}\sin\frac{\alpha-\beta}{2} $.

$ \frac{\alpha+\beta}{2} = \frac{\frac{5\pi}{12}+\frac{\pi}{12}}{2} = \frac{6\pi/12}{2} = \frac{\pi/2}{2} = \frac{\pi}{4} $

$ \frac{\alpha-\beta}{2} = \frac{\frac{5\pi}{12}-\frac{\pi}{12}}{2} = \frac{4\pi/12}{2} = \frac{\pi/3}{2} = \frac{\pi}{6} $

Таким образом, числитель равен:

$ 2\cos\frac{\pi}{4}\sin\frac{\pi}{6} = 2 \cdot \frac{\sqrt{2}}{2} \cdot \frac{1}{2} = \frac{\sqrt{2}}{2} $

Знаменатель: $ \cos\frac{\pi}{6}\cos\frac{\pi}{12} - \sin\frac{\pi}{6}\sin\frac{\pi}{12} $. Это формула косинуса суммы $ \cos(\alpha+\beta) = \cos\alpha\cos\beta - \sin\alpha\sin\beta $.

Знаменатель равен:

$ \cos(\frac{\pi}{6} + \frac{\pi}{12}) = \cos(\frac{2\pi}{12} + \frac{\pi}{12}) = \cos(\frac{3\pi}{12}) = \cos(\frac{\pi}{4}) $

Значение $ \cos(\frac{\pi}{4}) = \frac{\sqrt{2}}{2} $.

Теперь найдем значение всей дроби, разделив числитель на знаменатель:

$ \frac{\frac{\sqrt{2}}{2}}{\frac{\sqrt{2}}{2}} = 1 $

Ответ: 1

Помогло решение? Оставьте отзыв в комментариях ниже.

Присоединяйтесь к Телеграм-группе @gdz_by_belarus

Присоединиться

Мы подготовили для вас ответ c подробным объяснением домашего задания по алгебре за 10 класс, для упражнения номер 1.528 расположенного на странице 156 к учебнику 2019 года издания для учащихся школ и гимназий.

Теперь на нашем сайте ГДЗ.ТОП вы всегда легко и бесплатно найдёте условие с правильным ответом на вопрос «Как решить ДЗ» и «Как сделать» задание по алгебре к упражнению №1.528 (с. 156), авторов: Арефьева (Ирина Глебовна), Пирютко (Ольга Николаевна), учебного пособия издательства Народная асвета.