Номер 3.125, страница 256 - гдз по алгебре 10 класс учебник Арефьева, Пирютко

Алгебра, 10 класс Учебник, авторы: Арефьева Ирина Глебовна, Пирютко Ольга Николаевна, издательство Народная асвета, Минск, 2019, голубого цвета

Авторы: Арефьева И. Г., Пирютко О. Н.

Тип: Учебник

Издательство: Народная асвета

Год издания: 2019 - 2026

Цвет обложки: голубой с графиком

Допущено Министерством образования Республики Беларусь

Популярные ГДЗ в 10 классе

Глава 3. Производная. Параграф 20. Геометрический смысл производной. Связь между знаком производной функции и ее возрастанием или убыванием - номер 3.125, страница 256.

№3.125 (с. 256)
Условие. №3.125 (с. 256)
скриншот условия
Алгебра, 10 класс Учебник, авторы: Арефьева Ирина Глебовна, Пирютко Ольга Николаевна, издательство Народная асвета, Минск, 2019, голубого цвета, страница 256, номер 3.125, Условие

3.125. Решите уравнение:

a)

$ \sin\left(\frac{x}{2} - \frac{\pi}{3}\right) + \frac{1}{2} = 0; $

б)

$ \sqrt{2} \cos\left(5x - \frac{\pi}{4}\right) + 1 = 0. $

Решение. №3.125 (с. 256)
Алгебра, 10 класс Учебник, авторы: Арефьева Ирина Глебовна, Пирютко Ольга Николаевна, издательство Народная асвета, Минск, 2019, голубого цвета, страница 256, номер 3.125, Решение Алгебра, 10 класс Учебник, авторы: Арефьева Ирина Глебовна, Пирютко Ольга Николаевна, издательство Народная асвета, Минск, 2019, голубого цвета, страница 256, номер 3.125, Решение (продолжение 2)
Решение 2. №3.125 (с. 256)

а) Решим уравнение:

$$ \sin\left(\frac{x}{2} - \frac{\pi}{3}\right) + \frac{1}{2} = 0 $$

Сначала изолируем синус, перенеся $\frac{1}{2}$ в правую часть уравнения:

$$ \sin\left(\frac{x}{2} - \frac{\pi}{3}\right) = -\frac{1}{2} $$

Это простейшее тригонометрическое уравнение. Общее решение для уравнения $\sin(t) = a$ имеет вид $t = (-1)^k \arcsin(a) + \pi k$, где $k \in \mathbb{Z}$.

В данном случае аргумент $t = \frac{x}{2} - \frac{\pi}{3}$, а значение $a = -\frac{1}{2}$.

Найдем арксинус:

$$ \arcsin\left(-\frac{1}{2}\right) = -\frac{\pi}{6} $$

Подставим это значение в общую формулу решения:

$$ \frac{x}{2} - \frac{\pi}{3} = (-1)^k \left(-\frac{\pi}{6}\right) + \pi k $$

Упростим выражение:

$$ \frac{x}{2} - \frac{\pi}{3} = (-1)^{k+1} \frac{\pi}{6} + \pi k $$

Теперь выразим переменную $x$. Для этого сначала перенесем $-\frac{\pi}{3}$ в правую часть:

$$ \frac{x}{2} = \frac{\pi}{3} + (-1)^{k+1} \frac{\pi}{6} + \pi k $$

Наконец, умножим обе части уравнения на 2, чтобы найти $x$:

$$ x = 2 \cdot \frac{\pi}{3} + 2 \cdot (-1)^{k+1} \frac{\pi}{6} + 2 \cdot \pi k $$ $$ x = \frac{2\pi}{3} + (-1)^{k+1} \frac{\pi}{3} + 2\pi k, \quad k \in \mathbb{Z} $$

Ответ: $ x = \frac{2\pi}{3} + (-1)^{k+1} \frac{\pi}{3} + 2\pi k, \quad k \in \mathbb{Z} $.

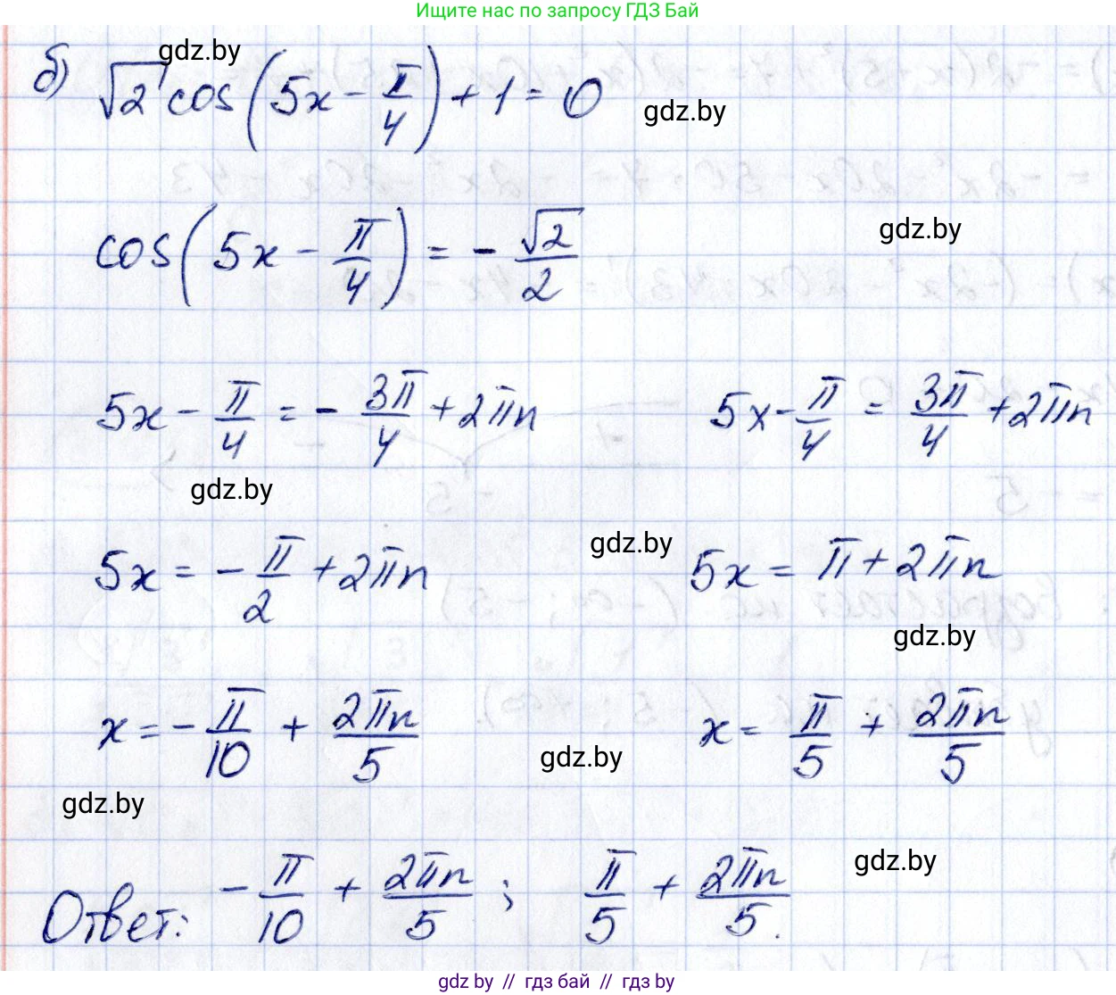
б) Решим уравнение:

$$ \sqrt{2}\cos\left(5x - \frac{\pi}{4}\right) + 1 = 0 $$

Сначала изолируем косинус. Перенесем 1 в правую часть и разделим на $\sqrt{2}$:

$$ \sqrt{2}\cos\left(5x - \frac{\pi}{4}\right) = -1 $$ $$ \cos\left(5x - \frac{\pi}{4}\right) = -\frac{1}{\sqrt{2}} = -\frac{\sqrt{2}}{2} $$

Это простейшее тригонометрическое уравнение. Общее решение для уравнения $\cos(t) = a$ имеет вид $t = \pm \arccos(a) + 2\pi k$, где $k \in \mathbb{Z}$.

В данном случае аргумент $t = 5x - \frac{\pi}{4}$, а значение $a = -\frac{\sqrt{2}}{2}$.

Найдем арккосинус:

$$ \arccos\left(-\frac{\sqrt{2}}{2}\right) = \frac{3\pi}{4} $$

Подставим это значение в общую формулу решения:

$$ 5x - \frac{\pi}{4} = \pm \frac{3\pi}{4} + 2\pi k $$

Это равенство распадается на два случая, которые мы решим по отдельности.

Случай 1: Используем знак «+».

$$ 5x - \frac{\pi}{4} = \frac{3\pi}{4} + 2\pi k $$

Перенесем $-\frac{\pi}{4}$ в правую часть:

$$ 5x = \frac{3\pi}{4} + \frac{\pi}{4} + 2\pi k $$ $$ 5x = \frac{4\pi}{4} + 2\pi k $$ $$ 5x = \pi + 2\pi k $$

Разделим на 5:

$$ x = \frac{\pi}{5} + \frac{2\pi k}{5} $$

Случай 2: Используем знак «-».

$$ 5x - \frac{\pi}{4} = -\frac{3\pi}{4} + 2\pi k $$

Перенесем $-\frac{\pi}{4}$ в правую часть:

$$ 5x = -\frac{3\pi}{4} + \frac{\pi}{4} + 2\pi k $$ $$ 5x = -\frac{2\pi}{4} + 2\pi k $$ $$ 5x = -\frac{\pi}{2} + 2\pi k $$

Разделим на 5:

$$ x = -\frac{\pi}{10} + \frac{2\pi k}{5} $$

В результате мы получили две серии решений.

Ответ: $ x = \frac{\pi}{5} + \frac{2\pi k}{5}; \quad x = -\frac{\pi}{10} + \frac{2\pi k}{5}, \quad k \in \mathbb{Z} $.

Помогло решение? Оставьте отзыв в комментариях ниже.

Присоединяйтесь к Телеграм-группе @gdz_by_belarus

Присоединиться

Мы подготовили для вас ответ c подробным объяснением домашего задания по алгебре за 10 класс, для упражнения номер 3.125 расположенного на странице 256 к учебнику 2019 года издания для учащихся школ и гимназий.

Теперь на нашем сайте ГДЗ.ТОП вы всегда легко и бесплатно найдёте условие с правильным ответом на вопрос «Как решить ДЗ» и «Как сделать» задание по алгебре к упражнению №3.125 (с. 256), авторов: Арефьева (Ирина Глебовна), Пирютко (Ольга Николаевна), учебного пособия издательства Народная асвета.