Номер 3.130, страница 263 - гдз по алгебре 10 класс учебник Арефьева, Пирютко

Алгебра, 10 класс Учебник, авторы: Арефьева Ирина Глебовна, Пирютко Ольга Николаевна, издательство Народная асвета, Минск, 2019, голубого цвета

Авторы: Арефьева И. Г., Пирютко О. Н.

Тип: Учебник

Издательство: Народная асвета

Год издания: 2019 - 2026

Цвет обложки: голубой с графиком

Допущено Министерством образования Республики Беларусь

Популярные ГДЗ в 10 классе

Глава 3. Производная. Параграф 21. Применение производной к исследованию функций - номер 3.130, страница 263.

№3.130 (с. 263)
Условие. №3.130 (с. 263)
скриншот условия
Алгебра, 10 класс Учебник, авторы: Арефьева Ирина Глебовна, Пирютко Ольга Николаевна, издательство Народная асвета, Минск, 2019, голубого цвета, страница 263, номер 3.130, Условие

3.130. Используйте алгоритм исследования графика функции с помощью производной и постройте график функции:

a) $f(x) = x^3 - 3x$;

б) $f(x) = x^3 - 3x^2$;

в) $f(x) = \frac{x^3}{3} + x^2$;

г) $f(x) = 2x^2 - x^3$.

Решение. №3.130 (с. 263)
Алгебра, 10 класс Учебник, авторы: Арефьева Ирина Глебовна, Пирютко Ольга Николаевна, издательство Народная асвета, Минск, 2019, голубого цвета, страница 263, номер 3.130, Решение Алгебра, 10 класс Учебник, авторы: Арефьева Ирина Глебовна, Пирютко Ольга Николаевна, издательство Народная асвета, Минск, 2019, голубого цвета, страница 263, номер 3.130, Решение (продолжение 2)
Решение 2. №3.130 (с. 263)

а) Исследование функции $f(x) = x^3 - 3x$

  1. Область определения.
    Функция является многочленом, поэтому ее область определения — все действительные числа: $D(f) = (-\infty, +\infty)$.
  2. Четность/нечетность.
    Проверим функцию на четность: $f(-x) = (-x)^3 - 3(-x) = -x^3 + 3x = -(x^3 - 3x) = -f(x)$.
    Так как $f(-x) = -f(x)$, функция является нечетной. Ее график симметричен относительно начала координат.
  3. Точки пересечения с осями координат.
    • С осью Oy (при $x=0$): $f(0) = 0^3 - 3 \cdot 0 = 0$. Точка пересечения: $(0, 0)$.
    • С осью Ox (при $y=0$): $x^3 - 3x = 0 \Rightarrow x(x^2 - 3) = 0 \Rightarrow x=0, x=\sqrt{3}, x=-\sqrt{3}$. Точки пересечения: $(0, 0)$, $(-\sqrt{3}, 0)$, $(\sqrt{3}, 0)$.
  4. Асимптоты.
    Так как функция является многочленом, вертикальные и наклонные асимптоты отсутствуют.
  5. Возрастание, убывание и экстремумы.
    Найдем первую производную: $f'(x) = (x^3 - 3x)' = 3x^2 - 3$.
    Найдем критические точки, приравняв производную к нулю: $3x^2 - 3 = 0 \Rightarrow 3(x^2 - 1) = 0 \Rightarrow x = 1$ и $x = -1$.
    Определим знаки производной на интервалах:
    • На $(-\infty, -1)$: $f'(-2) = 3(-2)^2 - 3 = 9 > 0$, функция возрастает.
    • На $(-1, 1)$: $f'(0) = 3(0)^2 - 3 = -3 < 0$, функция убывает.
    • На $(1, +\infty)$: $f'(2) = 3(2)^2 - 3 = 9 > 0$, функция возрастает.
    В точке $x=-1$ производная меняет знак с «+» на «-», это точка локального максимума. $y_{max} = f(-1) = (-1)^3 - 3(-1) = 2$.
    В точке $x=1$ производная меняет знак с «-» на «+», это точка локального минимума. $y_{min} = f(1) = 1^3 - 3(1) = -2$.
    Точка максимума: $(-1, 2)$. Точка минимума: $(1, -2)$.
  6. Выпуклость, вогнутость и точки перегиба.
    Найдем вторую производную: $f''(x) = (3x^2 - 3)' = 6x$.
    Найдем точки, где $f''(x)=0$: $6x = 0 \Rightarrow x = 0$.
    Определим знаки второй производной:
    • На $(-\infty, 0)$: $f''(x) < 0$, график функции выпуклый вверх (вогнутый).
    • На $(0, +\infty)$: $f''(x) > 0$, график функции выпуклый вниз (выпуклый).
    В точке $x=0$ вторая производная меняет знак, значит, это точка перегиба. $y = f(0) = 0$.
    Точка перегиба: $(0, 0)$.

На основе полученных данных можно построить график функции.

Ответ: Координаты точек экстремума и перегиба являются целыми числами.


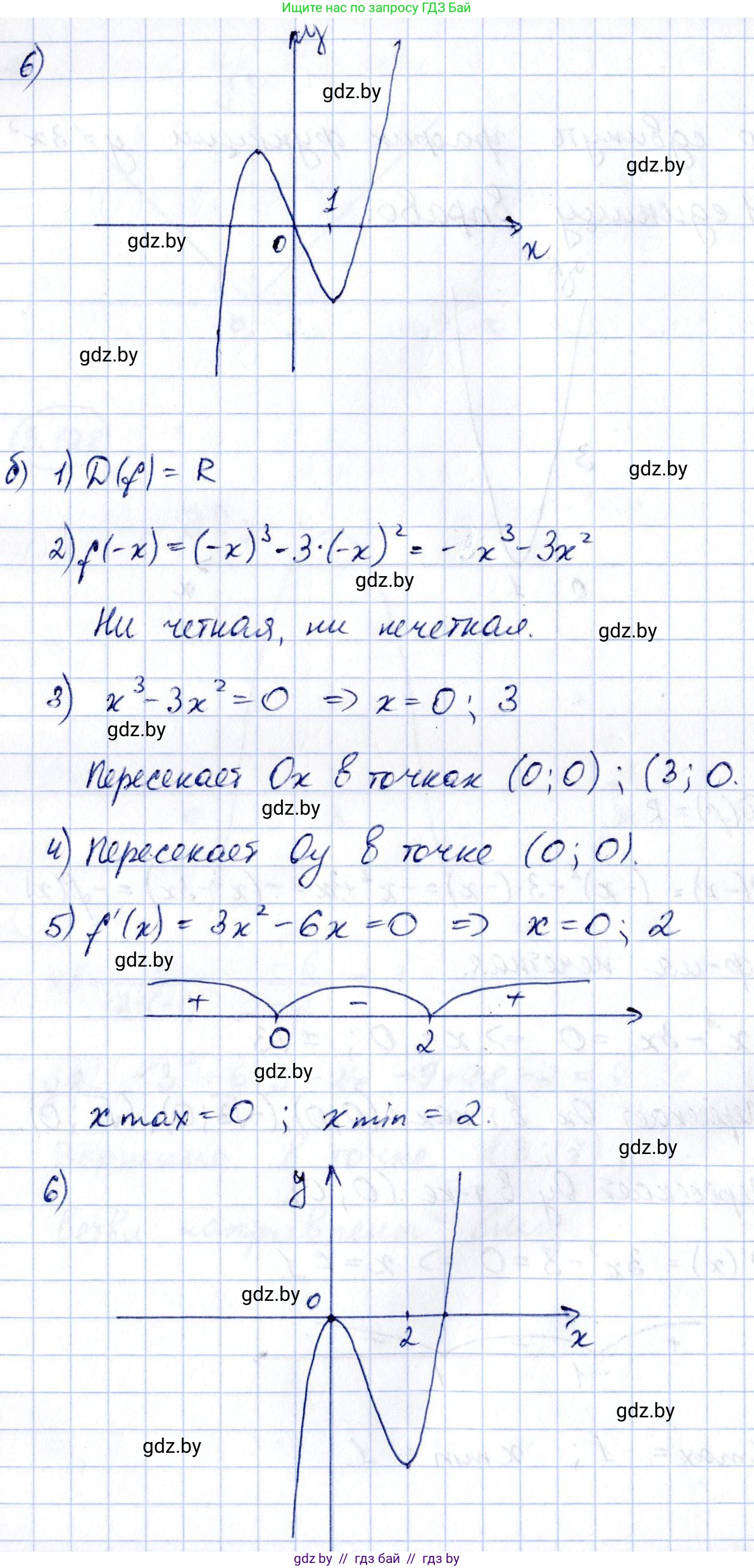
б) Исследование функции $f(x) = x^3 - 3x^2$

  1. Область определения.
    $D(f) = (-\infty, +\infty)$, так как функция является многочленом.
  2. Четность/нечетность.
    $f(-x) = (-x)^3 - 3(-x)^2 = -x^3 - 3x^2$.
    $f(-x) \neq f(x)$ и $f(-x) \neq -f(x)$. Функция общего вида.
  3. Точки пересечения с осями координат.
    • С осью Oy (при $x=0$): $f(0) = 0$. Точка: $(0, 0)$.
    • С осью Ox (при $y=0$): $x^3 - 3x^2 = 0 \Rightarrow x^2(x - 3) = 0 \Rightarrow x=0, x=3$. Точки: $(0, 0)$ и $(3, 0)$.
  4. Асимптоты.
    Асимптоты отсутствуют.
  5. Возрастание, убывание и экстремумы.
    $f'(x) = 3x^2 - 6x = 3x(x - 2)$.
    Критические точки: $f'(x) = 0 \Rightarrow x = 0, x = 2$.
    • На $(-\infty, 0)$: $f'(x) > 0$, функция возрастает.
    • На $(0, 2)$: $f'(x) < 0$, функция убывает.
    • На $(2, +\infty)$: $f'(x) > 0$, функция возрастает.
    $x=0$ — точка максимума, $y_{max} = f(0) = 0$.
    $x=2$ — точка минимума, $y_{min} = f(2) = 2^3 - 3(2^2) = 8 - 12 = -4$.
    Точка максимума: $(0, 0)$. Точка минимума: $(2, -4)$.
  6. Выпуклость, вогнутость и точки перегиба.
    $f''(x) = (3x^2 - 6x)' = 6x - 6$.
    $f''(x) = 0 \Rightarrow 6x - 6 = 0 \Rightarrow x = 1$.
    • На $(-\infty, 1)$: $f''(x) < 0$, график выпуклый вверх (вогнутый).
    • На $(1, +\infty)$: $f''(x) > 0$, график выпуклый вниз (выпуклый).
    $x=1$ — точка перегиба. $y = f(1) = 1^3 - 3(1^2) = -2$.
    Точка перегиба: $(1, -2)$.

На основе полученных данных можно построить график функции.

Ответ: Координаты точек экстремума и перегиба являются целыми числами.


в) Исследование функции $f(x) = \frac{x^3}{3} + x^2$

  1. Область определения.
    $D(f) = (-\infty, +\infty)$.
  2. Четность/нечетность.
    $f(-x) = \frac{(-x)^3}{3} + (-x)^2 = -\frac{x^3}{3} + x^2$. Функция общего вида.
  3. Точки пересечения с осями координат.
    • С осью Oy (при $x=0$): $f(0) = 0$. Точка: $(0, 0)$.
    • С осью Ox (при $y=0$): $\frac{x^3}{3} + x^2 = 0 \Rightarrow x^2(\frac{x}{3} + 1) = 0 \Rightarrow x=0, x=-3$. Точки: $(0, 0)$ и $(-3, 0)$.
  4. Асимптоты.
    Асимптоты отсутствуют.
  5. Возрастание, убывание и экстремумы.
    $f'(x) = (\frac{x^3}{3} + x^2)' = x^2 + 2x = x(x+2)$.
    Критические точки: $f'(x) = 0 \Rightarrow x=0, x=-2$.
    • На $(-\infty, -2)$: $f'(x) > 0$, функция возрастает.
    • На $(-2, 0)$: $f'(x) < 0$, функция убывает.
    • На $(0, +\infty)$: $f'(x) > 0$, функция возрастает.
    $x=-2$ — точка максимума, $y_{max} = f(-2) = \frac{(-2)^3}{3} + (-2)^2 = -\frac{8}{3} + 4 = \frac{4}{3}$.
    $x=0$ — точка минимума, $y_{min} = f(0) = 0$.
    Точка максимума: $(-2, \frac{4}{3})$. Точка минимума: $(0, 0)$.
  6. Выпуклость, вогнутость и точки перегиба.
    $f''(x) = (x^2 + 2x)' = 2x + 2$.
    $f''(x) = 0 \Rightarrow 2x + 2 = 0 \Rightarrow x = -1$.
    • На $(-\infty, -1)$: $f''(x) < 0$, график выпуклый вверх (вогнутый).
    • На $(-1, +\infty)$: $f''(x) > 0$, график выпуклый вниз (выпуклый).
    $x=-1$ — точка перегиба. $y = f(-1) = \frac{(-1)^3}{3} + (-1)^2 = -\frac{1}{3} + 1 = \frac{2}{3}$.
    Точка перегиба: $(-1, \frac{2}{3})$.

На основе полученных данных можно построить график функции.

Ответ: Точка максимума $(-2, 1\frac{1}{3})$.


г) Исследование функции $f(x) = 2x^2 - x^3$

  1. Область определения.
    $D(f) = (-\infty, +\infty)$.
  2. Четность/нечетность.
    $f(-x) = 2(-x)^2 - (-x)^3 = 2x^2 + x^3$. Функция общего вида.
  3. Точки пересечения с осями координат.
    • С осью Oy (при $x=0$): $f(0) = 0$. Точка: $(0, 0)$.
    • С осью Ox (при $y=0$): $2x^2 - x^3 = 0 \Rightarrow x^2(2 - x) = 0 \Rightarrow x=0, x=2$. Точки: $(0, 0)$ и $(2, 0)$.
  4. Асимптоты.
    Асимптоты отсутствуют.
  5. Возрастание, убывание и экстремумы.
    $f'(x) = (2x^2 - x^3)' = 4x - 3x^2 = x(4 - 3x)$.
    Критические точки: $f'(x) = 0 \Rightarrow x=0, x=\frac{4}{3}$.
    • На $(-\infty, 0)$: $f'(x) < 0$, функция убывает.
    • На $(0, \frac{4}{3})$: $f'(x) > 0$, функция возрастает.
    • На $(\frac{4}{3}, +\infty)$: $f'(x) < 0$, функция убывает.
    $x=0$ — точка минимума, $y_{min} = f(0) = 0$.
    $x=\frac{4}{3}$ — точка максимума, $y_{max} = f(\frac{4}{3}) = 2(\frac{4}{3})^2 - (\frac{4}{3})^3 = 2 \cdot \frac{16}{9} - \frac{64}{27} = \frac{32}{9} - \frac{64}{27} = \frac{96 - 64}{27} = \frac{32}{27}$.
    Точка минимума: $(0, 0)$. Точка максимума: $(\frac{4}{3}, \frac{32}{27})$.
  6. Выпуклость, вогнутость и точки перегиба.
    $f''(x) = (4x - 3x^2)' = 4 - 6x$.
    $f''(x) = 0 \Rightarrow 4 - 6x = 0 \Rightarrow x = \frac{4}{6} = \frac{2}{3}$.
    • На $(-\infty, \frac{2}{3})$: $f''(x) > 0$, график выпуклый вниз (выпуклый).
    • На $(\frac{2}{3}, +\infty)$: $f''(x) < 0$, график выпуклый вверх (вогнутый).
    $x=\frac{2}{3}$ — точка перегиба. $y = f(\frac{2}{3}) = 2(\frac{2}{3})^2 - (\frac{2}{3})^3 = 2 \cdot \frac{4}{9} - \frac{8}{27} = \frac{8}{9} - \frac{8}{27} = \frac{24 - 8}{27} = \frac{16}{27}$.
    Точка перегиба: $(\frac{2}{3}, \frac{16}{27})$.

На основе полученных данных можно построить график функции.

Ответ: Точка максимума $(1\frac{1}{3}, 1\frac{5}{27})$.

Помогло решение? Оставьте отзыв в комментариях ниже.

Присоединяйтесь к Телеграм-группе @gdz_by_belarus

Присоединиться

Мы подготовили для вас ответ c подробным объяснением домашего задания по алгебре за 10 класс, для упражнения номер 3.130 расположенного на странице 263 к учебнику 2019 года издания для учащихся школ и гимназий.

Теперь на нашем сайте ГДЗ.ТОП вы всегда легко и бесплатно найдёте условие с правильным ответом на вопрос «Как решить ДЗ» и «Как сделать» задание по алгебре к упражнению №3.130 (с. 263), авторов: Арефьева (Ирина Глебовна), Пирютко (Ольга Николаевна), учебного пособия издательства Народная асвета.