Номер 3.39, страница 236 - гдз по алгебре 10 класс учебник Арефьева, Пирютко

Алгебра, 10 класс Учебник, авторы: Арефьева Ирина Глебовна, Пирютко Ольга Николаевна, издательство Народная асвета, Минск, 2019, голубого цвета

Авторы: Арефьева И. Г., Пирютко О. Н.

Тип: Учебник

Издательство: Народная асвета

Год издания: 2019 - 2026

Цвет обложки: голубой с графиком

Допущено Министерством образования Республики Беларусь

Популярные ГДЗ в 10 классе

Глава 3. Производная. Параграф 19. Правила вычисления производных - номер 3.39, страница 236.

№3.39 (с. 236)
Условие. №3.39 (с. 236)
скриншот условия
Алгебра, 10 класс Учебник, авторы: Арефьева Ирина Глебовна, Пирютко Ольга Николаевна, издательство Народная асвета, Минск, 2019, голубого цвета, страница 236, номер 3.39, Условие

3.39. Производная функции $f(x)=\frac{1}{3}x^3$ в некоторой точке $x_0$ равна 0,25. Найдите $f(x_0)$.

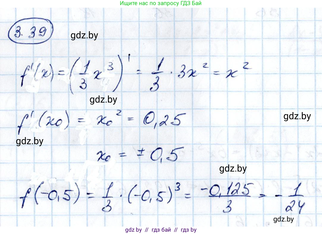
Решение. №3.39 (с. 236)
Алгебра, 10 класс Учебник, авторы: Арефьева Ирина Глебовна, Пирютко Ольга Николаевна, издательство Народная асвета, Минск, 2019, голубого цвета, страница 236, номер 3.39, Решение Алгебра, 10 класс Учебник, авторы: Арефьева Ирина Глебовна, Пирютко Ольга Николаевна, издательство Народная асвета, Минск, 2019, голубого цвета, страница 236, номер 3.39, Решение (продолжение 2)
Решение 2. №3.39 (с. 236)

Для решения задачи необходимо выполнить три шага: найти производную функции, определить точку $x_0$, а затем вычислить значение функции в этой точке.

1. Нахождение производной функции

Дана функция $f(x) = \frac{1}{3}x^3$.
Найдем её производную $f'(x)$, используя правило дифференцирования степенной функции $(x^n)' = nx^{n-1}$:

$f'(x) = \left(\frac{1}{3}x^3\right)' = \frac{1}{3} \cdot (3x^{3-1}) = x^2$.

2. Нахождение точки $x_0$

По условию, значение производной в точке $x_0$ равно 0,25. Составим уравнение:

$f'(x_0) = 0,25$

$x_0^2 = 0,25$

Данное квадратное уравнение имеет два корня. Для их нахождения можно представить 0,25 в виде дроби $\frac{1}{4}$:

$x_0^2 = \frac{1}{4}$

$x_0 = \pm\sqrt{\frac{1}{4}} = \pm\frac{1}{2}$

Таким образом, существуют две точки, удовлетворяющие условию: $x_0 = \frac{1}{2}$ и $x_0 = -\frac{1}{2}$.

3. Вычисление значения $f(x_0)$

Теперь подставим найденные значения $x_0$ в исходную функцию $f(x) = \frac{1}{3}x^3$, чтобы найти $f(x_0)$.

Случай 1: $x_0 = \frac{1}{2}$

$f\left(\frac{1}{2}\right) = \frac{1}{3} \cdot \left(\frac{1}{2}\right)^3 = \frac{1}{3} \cdot \frac{1}{8} = \frac{1}{24}$

Случай 2: $x_0 = -\frac{1}{2}$

$f\left(-\frac{1}{2}\right) = \frac{1}{3} \cdot \left(-\frac{1}{2}\right)^3 = \frac{1}{3} \cdot \left(-\frac{1}{8}\right) = -\frac{1}{24}$

Найдите $f(x_0)$: Ответ: $\frac{1}{24}$ или $-\frac{1}{24}$.

Помогло решение? Оставьте отзыв в комментариях ниже.

Присоединяйтесь к Телеграм-группе @gdz_by_belarus

Присоединиться

Мы подготовили для вас ответ c подробным объяснением домашего задания по алгебре за 10 класс, для упражнения номер 3.39 расположенного на странице 236 к учебнику 2019 года издания для учащихся школ и гимназий.

Теперь на нашем сайте ГДЗ.ТОП вы всегда легко и бесплатно найдёте условие с правильным ответом на вопрос «Как решить ДЗ» и «Как сделать» задание по алгебре к упражнению №3.39 (с. 236), авторов: Арефьева (Ирина Глебовна), Пирютко (Ольга Николаевна), учебного пособия издательства Народная асвета.