Номер 3.44, страница 237 - гдз по алгебре 10 класс учебник Арефьева, Пирютко
Авторы: Арефьева И. Г., Пирютко О. Н.
Тип: Учебник
Издательство: Народная асвета
Год издания: 2019 - 2026
Цвет обложки: голубой с графиком
Допущено Министерством образования Республики Беларусь
Популярные ГДЗ в 10 классе
Глава 3. Производная. Параграф 19. Правила вычисления производных - номер 3.44, страница 237.
№3.44 (с. 237)
Условие. №3.44 (с. 237)
скриншот условия
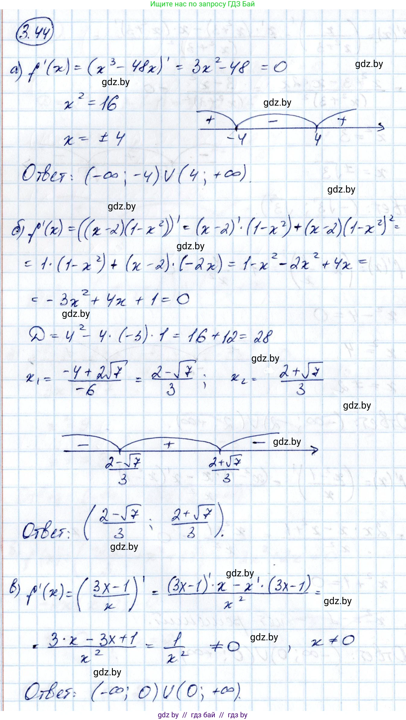
3.44. Найдите, при каких значениях переменной производная функции принимает положительные значения:
а) $f(x) = x^3 - 48x$;
б) $f(x) = (x-2)(1-x^2)$;
в) $f(x) = \frac{3x-1}{x}$.
Решение. №3.44 (с. 237)
Решение 2. №3.44 (с. 237)
Чтобы найти значения переменной, при которых производная функции принимает положительные значения, необходимо для каждой функции выполнить следующие шаги:
1. Найти производную функции $f'(x)$.
2. Решить неравенство $f'(x) > 0$.
а) Для функции $f(x) = x^3 - 48x$:
1. Находим производную, используя правило степенной функции $(x^n)' = nx^{n-1}$:
$f'(x) = (x^3 - 48x)' = (x^3)' - (48x)' = 3x^2 - 48$.
2. Теперь решаем неравенство $f'(x) > 0$:
$3x^2 - 48 > 0$
Переносим 48 в правую часть и делим обе части на 3:
$3x^2 > 48$
$x^2 > \frac{48}{3}$
$x^2 > 16$
Это неравенство выполняется, когда модуль $x$ больше 4, то есть $|x| > 4$.
Это эквивалентно двум интервалам: $x < -4$ или $x > 4$.
Таким образом, производная функции положительна при $x \in (-\infty; -4) \cup (4; \infty)$.
Ответ: $(-\infty; -4) \cup (4; \infty)$.
б) Для функции $f(x) = (x-2)(1-x^2)$:
1. Сначала упростим выражение функции, раскрыв скобки:
$f(x) = x \cdot 1 + x \cdot (-x^2) - 2 \cdot 1 - 2 \cdot (-x^2) = x - x^3 - 2 + 2x^2$.
Запишем в стандартном виде многочлена:
$f(x) = -x^3 + 2x^2 + x - 2$.
2. Находим производную функции:
$f'(x) = (-x^3 + 2x^2 + x - 2)' = -3x^2 + 4x + 1$.
3. Решаем неравенство $f'(x) > 0$:
$-3x^2 + 4x + 1 > 0$.
Для удобства умножим обе части на -1, изменив знак неравенства на противоположный:
$3x^2 - 4x - 1 < 0$.
4. Чтобы решить это квадратное неравенство, найдем корни соответствующего уравнения $3x^2 - 4x - 1 = 0$ с помощью дискриминанта.
$D = b^2 - 4ac = (-4)^2 - 4 \cdot 3 \cdot (-1) = 16 + 12 = 28$.
Корни уравнения:
$x_{1,2} = \frac{-b \pm \sqrt{D}}{2a} = \frac{4 \pm \sqrt{28}}{2 \cdot 3} = \frac{4 \pm 2\sqrt{7}}{6} = \frac{2(2 \pm \sqrt{7})}{6} = \frac{2 \pm \sqrt{7}}{3}$.
Итак, корни $x_1 = \frac{2 - \sqrt{7}}{3}$ и $x_2 = \frac{2 + \sqrt{7}}{3}$.
5. Графиком функции $y = 3x^2 - 4x - 1$ является парабола с ветвями, направленными вверх (так как коэффициент при $x^2$ положителен). Следовательно, неравенство $3x^2 - 4x - 1 < 0$ выполняется на интервале между корнями.
Таким образом, решение неравенства: $\frac{2 - \sqrt{7}}{3} < x < \frac{2 + \sqrt{7}}{3}$.
Ответ: $(\frac{2 - \sqrt{7}}{3}; \frac{2 + \sqrt{7}}{3})$.
в) Для функции $f(x) = \frac{3x-1}{x}$:
1. Область определения функции: $x \neq 0$.
2. Находим производную, используя правило дифференцирования частного $(\frac{u}{v})' = \frac{u'v - uv'}{v^2}$:
$f'(x) = \frac{(3x-1)' \cdot x - (3x-1) \cdot (x)'}{x^2} = \frac{3 \cdot x - (3x-1) \cdot 1}{x^2} = \frac{3x - 3x + 1}{x^2} = \frac{1}{x^2}$.
3. Решаем неравенство $f'(x) > 0$:
$\frac{1}{x^2} > 0$.
4. Числитель дроби равен 1 (положительное число). Знаменатель $x^2$ является квадратом переменной, поэтому он положителен для любого действительного числа $x$, кроме $x=0$.
Следовательно, неравенство $\frac{1}{x^2} > 0$ выполняется для всех значений $x$ из области определения функции.
Таким образом, производная положительна при $x \in (-\infty; 0) \cup (0; \infty)$.
Ответ: $(-\infty; 0) \cup (0; \infty)$.
Другие задания:
Помогло решение? Оставьте отзыв в комментариях ниже.
Присоединяйтесь к Телеграм-группе @gdz_by_belarus
ПрисоединитьсяМы подготовили для вас ответ c подробным объяснением домашего задания по алгебре за 10 класс, для упражнения номер 3.44 расположенного на странице 237 к учебнику 2019 года издания для учащихся школ и гимназий.
Теперь на нашем сайте ГДЗ.ТОП вы всегда легко и бесплатно найдёте условие с правильным ответом на вопрос «Как решить ДЗ» и «Как сделать» задание по алгебре к упражнению №3.44 (с. 237), авторов: Арефьева (Ирина Глебовна), Пирютко (Ольга Николаевна), учебного пособия издательства Народная асвета.