Номер 166, страница 299 - гдз по алгебре 10-11 класс учебник Колмогоров, Абрамов

Алгебра, 10-11 класс Учебник, авторы: Колмогоров Андрей Николаевич, Абрамов Александр Михайлович, Дудницын Юрий Павлович, издательство Просвещение, Москва, 2008, зелёного цвета

Авторы: Колмогоров А. Н., Абрамов А. М., Дудницын Ю. П.

Тип: Учебник

Издательство: Просвещение

Год издания: 2008 - 2026

Цвет обложки: зелёный, чёрный

ISBN: 978-5-09-019513-3

Рекомендовано Министерством образования и науки Российской Федерации

Алгебра и начала математического анализа

Популярные ГДЗ в 10 классе

Глава 5. Задачи на повторение. Параграф 4. Уравнения, неравенства, системы уравнений и неравенств - номер 166, страница 299.

№166 (с. 299)
Условие. №166 (с. 299)
скриншот условия
Алгебра, 10-11 класс Учебник, авторы: Колмогоров Андрей Николаевич, Абрамов Александр Михайлович, Дудницын Юрий Павлович, издательство Просвещение, Москва, 2008, зелёного цвета, страница 299, номер 166, Условие

166. a) $3 \cdot 4^x + 2 \cdot 9^x = 5 \cdot 6^x;$

B) $2 \cdot 25^x - 5 \cdot 10^x + 2 \cdot 4^x = 0;$

Г) $3 \cdot 16^x + 2 \cdot 81^x = 5 \cdot 36^x.$

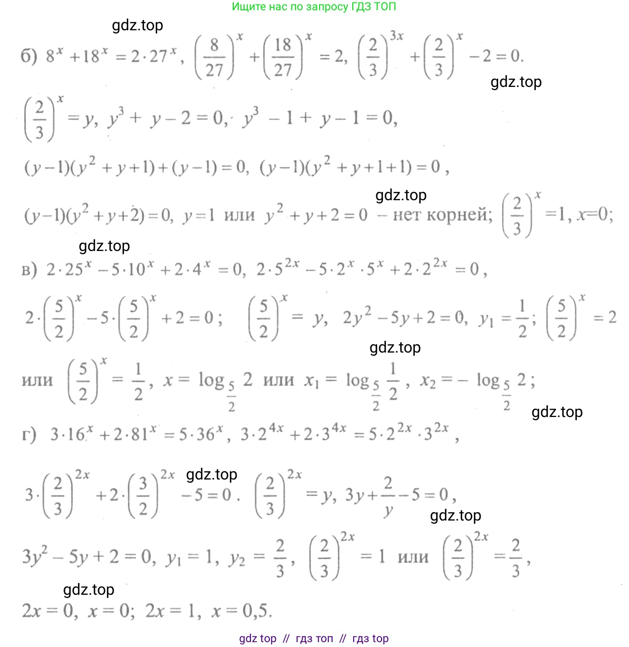
б) $8^x + 18^x = 2 \cdot 27^x;$

Решение 1. №166 (с. 299)
Алгебра, 10-11 класс Учебник, авторы: Колмогоров Андрей Николаевич, Абрамов Александр Михайлович, Дудницын Юрий Павлович, издательство Просвещение, Москва, 2008, зелёного цвета, страница 299, номер 166, Решение 1
Решение 2. №166 (с. 299)
Алгебра, 10-11 класс Учебник, авторы: Колмогоров Андрей Николаевич, Абрамов Александр Михайлович, Дудницын Юрий Павлович, издательство Просвещение, Москва, 2008, зелёного цвета, страница 299, номер 166, Решение 2
Алгебра, 10-11 класс Учебник, авторы: Колмогоров Андрей Николаевич, Абрамов Александр Михайлович, Дудницын Юрий Павлович, издательство Просвещение, Москва, 2008, зелёного цвета, страница 299, номер 166, Решение 2 (продолжение 2)
Решение 3. №166 (с. 299)
Алгебра, 10-11 класс Учебник, авторы: Колмогоров Андрей Николаевич, Абрамов Александр Михайлович, Дудницын Юрий Павлович, издательство Просвещение, Москва, 2008, зелёного цвета, страница 299, номер 166, Решение 3
Решение 5. №166 (с. 299)

а) $3 \cdot 4^x + 2 \cdot 9^x = 5 \cdot 6^x$

Данное уравнение является однородным показательным уравнением. Для его решения преобразуем основания степеней:

$4^x = (2^2)^x = (2^x)^2$

$9^x = (3^2)^x = (3^x)^2$

$6^x = (2 \cdot 3)^x = 2^x \cdot 3^x$

Подставим эти выражения в исходное уравнение:

$3 \cdot (2^x)^2 + 2 \cdot (3^x)^2 = 5 \cdot 2^x \cdot 3^x$

Разделим обе части уравнения на $9^x = (3^x)^2$. Так как $9^x > 0$ при любом действительном $x$, это преобразование является равносильным.

$3 \cdot \frac{(2^x)^2}{(3^x)^2} + 2 \cdot \frac{(3^x)^2}{(3^x)^2} = 5 \cdot \frac{2^x \cdot 3^x}{(3^x)^2}$

$3 \cdot \left(\frac{2}{3}\right)^{2x} + 2 = 5 \cdot \left(\frac{2}{3}\right)^x$

Введем новую переменную. Пусть $t = \left(\frac{2}{3}\right)^x$. Учитывая, что значение показательной функции всегда положительно, имеем $t > 0$.

Уравнение принимает вид квадратного уравнения относительно $t$:

$3t^2 - 5t + 2 = 0$

Найдем корни этого уравнения. Дискриминант $D = b^2 - 4ac = (-5)^2 - 4 \cdot 3 \cdot 2 = 25 - 24 = 1$.

$t_1 = \frac{-b - \sqrt{D}}{2a} = \frac{5 - 1}{2 \cdot 3} = \frac{4}{6} = \frac{2}{3}$

$t_2 = \frac{-b + \sqrt{D}}{2a} = \frac{5 + 1}{2 \cdot 3} = \frac{6}{6} = 1$

Оба корня положительны, следовательно, оба подходят. Выполним обратную замену:

1) При $t = \frac{2}{3}$:

$\left(\frac{2}{3}\right)^x = \frac{2}{3} \implies x = 1$.

2) При $t = 1$:

$\left(\frac{2}{3}\right)^x = 1 \implies \left(\frac{2}{3}\right)^x = \left(\frac{2}{3}\right)^0 \implies x = 0$.

Ответ: $x=0, x=1$.

б) $8^x + 18^x = 2 \cdot 27^x$

Преобразуем основания степеней, представив их через степени простых чисел:

$8^x = (2^3)^x = (2^x)^3$

$27^x = (3^3)^x = (3^x)^3$

$18^x = (2 \cdot 3^2)^x = 2^x \cdot (3^2)^x = 2^x \cdot (3^x)^2$

Подставим в уравнение:

$(2^x)^3 + 2^x \cdot (3^x)^2 = 2 \cdot (3^x)^3$

Разделим обе части на $(3^x)^3 \neq 0$:

$\frac{(2^x)^3}{(3^x)^3} + \frac{2^x \cdot (3^x)^2}{(3^x)^3} = 2 \cdot \frac{(3^x)^3}{(3^x)^3}$

$\left(\frac{2}{3}\right)^{3x} + \left(\frac{2}{3}\right)^x = 2$

Сделаем замену переменной. Пусть $t = \left(\frac{2}{3}\right)^x$, где $t > 0$.

Получаем кубическое уравнение: $t^3 + t - 2 = 0$.

Подбором находим, что $t=1$ является корнем уравнения: $1^3 + 1 - 2 = 0$.

Разделим многочлен $t^3 + t - 2$ на $(t-1)$, например, по схеме Горнера или "уголком", и получим:

$(t-1)(t^2 + t + 2) = 0$

Отсюда либо $t-1=0$, либо $t^2 + t + 2 = 0$.

Первое уравнение дает корень $t=1$.

Для второго уравнения $t^2 + t + 2 = 0$ найдем дискриминант: $D = 1^2 - 4 \cdot 1 \cdot 2 = 1 - 8 = -7$.

Поскольку $D < 0$, квадратное уравнение не имеет действительных корней.

Таким образом, единственным действительным решением для $t$ является $t=1$.

Выполняем обратную замену:

$\left(\frac{2}{3}\right)^x = 1 \implies \left(\frac{2}{3}\right)^x = \left(\frac{2}{3}\right)^0 \implies x = 0$.

Ответ: $x=0$.

в) $2 \cdot 25^x - 5 \cdot 10^x + 2 \cdot 4^x = 0$

Преобразуем основания степеней:

$25^x = (5^2)^x = (5^x)^2$

$4^x = (2^2)^x = (2^x)^2$

$10^x = (2 \cdot 5)^x = 2^x \cdot 5^x$

Подставим в уравнение:

$2 \cdot (5^x)^2 - 5 \cdot 2^x \cdot 5^x + 2 \cdot (2^x)^2 = 0$

Разделим обе части уравнения на $4^x = (2^x)^2 \neq 0$:

$2 \cdot \frac{(5^x)^2}{(2^x)^2} - 5 \cdot \frac{2^x \cdot 5^x}{(2^x)^2} + 2 \cdot \frac{(2^x)^2}{(2^x)^2} = 0$

$2 \cdot \left(\frac{5}{2}\right)^{2x} - 5 \cdot \left(\frac{5}{2}\right)^x + 2 = 0$

Введем замену $t = \left(\frac{5}{2}\right)^x$, где $t > 0$.

Получаем квадратное уравнение: $2t^2 - 5t + 2 = 0$.

Дискриминант $D = (-5)^2 - 4 \cdot 2 \cdot 2 = 25 - 16 = 9$.

$t_1 = \frac{5 - \sqrt{9}}{2 \cdot 2} = \frac{2}{4} = \frac{1}{2}$

$t_2 = \frac{5 + \sqrt{9}}{2 \cdot 2} = \frac{8}{4} = 2$

Оба корня положительны. Выполним обратную замену:

1) $\left(\frac{5}{2}\right)^x = \frac{1}{2}$. Прологарифмируем обе части по основанию $\frac{5}{2}$:

$x = \log_{5/2}\left(\frac{1}{2}\right) = \log_{5/2}(2^{-1}) = -\log_{5/2}(2)$.

2) $\left(\frac{5}{2}\right)^x = 2$. Прологарифмируем обе части по основанию $\frac{5}{2}$:

$x = \log_{5/2}(2)$.

Ответ: $x = \pm \log_{5/2}(2)$.

г) $3 \cdot 16^x + 2 \cdot 81^x = 5 \cdot 36^x$

Преобразуем основания степеней:

$16^x = (4^2)^x$

$81^x = (9^2)^x$

$36^x = (4 \cdot 9)^x = 4^x \cdot 9^x$

Подставим в уравнение:

$3 \cdot (4^x)^2 + 2 \cdot (9^x)^2 = 5 \cdot 4^x \cdot 9^x$

Разделим обе части на $81^x = (9^x)^2 \neq 0$:

$3 \cdot \frac{(4^x)^2}{(9^x)^2} + 2 \cdot \frac{(9^x)^2}{(9^x)^2} = 5 \cdot \frac{4^x \cdot 9^x}{(9^x)^2}$

$3 \cdot \left(\frac{4}{9}\right)^{2x} + 2 = 5 \cdot \left(\frac{4}{9}\right)^x$

Введем замену $t = \left(\frac{4}{9}\right)^x$, где $t > 0$.

Получаем квадратное уравнение: $3t^2 - 5t + 2 = 0$.

Корни этого уравнения (как в пункте а): $t_1 = \frac{2}{3}$ и $t_2 = 1$.

Выполним обратную замену:

1) $\left(\frac{4}{9}\right)^x = \frac{2}{3}$. Так как $\frac{4}{9} = \left(\frac{2}{3}\right)^2$, то уравнение принимает вид:

$\left(\left(\frac{2}{3}\right)^2\right)^x = \left(\frac{2}{3}\right)^1 \implies \left(\frac{2}{3}\right)^{2x} = \left(\frac{2}{3}\right)^1$

Отсюда $2x = 1 \implies x = \frac{1}{2}$.

2) $\left(\frac{4}{9}\right)^x = 1$.

$\left(\frac{4}{9}\right)^x = \left(\frac{4}{9}\right)^0 \implies x = 0$.

Ответ: $x=0, x=1/2$.

Помогло решение? Оставьте отзыв в комментариях ниже.

Присоединяйтесь к Телеграм-группе @top_gdz

Присоединиться

Мы подготовили для вас ответ c подробным объяснением домашего задания по алгебре за 10-11 класс, для упражнения номер 166 расположенного на странице 299 к учебнику 2008 года издания для учащихся школ и гимназий.

Теперь на нашем сайте ГДЗ.ТОП вы всегда легко и бесплатно найдёте условие с правильным ответом на вопрос «Как решить ДЗ» и «Как сделать» задание по алгебре к упражнению №166 (с. 299), авторов: Колмогоров (Андрей Николаевич), Абрамов (Александр Михайлович), Дудницын (Юрий Павлович), учебного пособия издательства Просвещение.