Номер 171, страница 300 - гдз по алгебре 10-11 класс учебник Колмогоров, Абрамов

Алгебра, 10-11 класс Учебник, авторы: Колмогоров Андрей Николаевич, Абрамов Александр Михайлович, Дудницын Юрий Павлович, издательство Просвещение, Москва, 2008, зелёного цвета

Авторы: Колмогоров А. Н., Абрамов А. М., Дудницын Ю. П.

Тип: Учебник

Издательство: Просвещение

Год издания: 2008 - 2026

Цвет обложки: зелёный, чёрный

ISBN: 978-5-09-019513-3

Рекомендовано Министерством образования и науки Российской Федерации

Алгебра и начала математического анализа

Популярные ГДЗ в 10 классе

Глава 5. Задачи на повторение. Параграф 4. Уравнения, неравенства, системы уравнений и неравенств - номер 171, страница 300.

№171 (с. 300)
Условие. №171 (с. 300)
скриншот условия
Алгебра, 10-11 класс Учебник, авторы: Колмогоров Андрей Николаевич, Абрамов Александр Михайлович, Дудницын Юрий Павлович, издательство Просвещение, Москва, 2008, зелёного цвета, страница 300, номер 171, Условие

171. a) $\log_3^2 x = 4 - 3 \log_3 x;$

б) $\frac{1}{2} \lg (2x - 1) = 1 - \lg \sqrt{x - 9};$

в) $\log_3 \sqrt{x - 5} + \log_3 \sqrt{2x - 3} = 1;$

г) $3 \lg^2 (x - 1) - 10 \lg (x - 1) + 3 = 0.$

Решение 1. №171 (с. 300)
Алгебра, 10-11 класс Учебник, авторы: Колмогоров Андрей Николаевич, Абрамов Александр Михайлович, Дудницын Юрий Павлович, издательство Просвещение, Москва, 2008, зелёного цвета, страница 300, номер 171, Решение 1
Решение 2. №171 (с. 300)
Алгебра, 10-11 класс Учебник, авторы: Колмогоров Андрей Николаевич, Абрамов Александр Михайлович, Дудницын Юрий Павлович, издательство Просвещение, Москва, 2008, зелёного цвета, страница 300, номер 171, Решение 2
Алгебра, 10-11 класс Учебник, авторы: Колмогоров Андрей Николаевич, Абрамов Александр Михайлович, Дудницын Юрий Павлович, издательство Просвещение, Москва, 2008, зелёного цвета, страница 300, номер 171, Решение 2 (продолжение 2)
Решение 3. №171 (с. 300)
Алгебра, 10-11 класс Учебник, авторы: Колмогоров Андрей Николаевич, Абрамов Александр Михайлович, Дудницын Юрий Павлович, издательство Просвещение, Москва, 2008, зелёного цвета, страница 300, номер 171, Решение 3
Алгебра, 10-11 класс Учебник, авторы: Колмогоров Андрей Николаевич, Абрамов Александр Михайлович, Дудницын Юрий Павлович, издательство Просвещение, Москва, 2008, зелёного цвета, страница 300, номер 171, Решение 3 (продолжение 2)
Решение 5. №171 (с. 300)

а) $\log_3^2 x = 4 - 3 \log_3 x$

Данное уравнение является квадратным относительно $\log_3 x$.
Область допустимых значений (ОДЗ): $x > 0$.
Перенесем все члены в левую часть: $\log_3^2 x + 3 \log_3 x - 4 = 0$
Сделаем замену переменной. Пусть $t = \log_3 x$. Тогда уравнение примет вид: $t^2 + 3t - 4 = 0$
Решим это квадратное уравнение. По теореме Виета: $t_1 + t_2 = -3$
$t_1 \cdot t_2 = -4$
Отсюда находим корни: $t_1 = 1$ и $t_2 = -4$.
Вернемся к исходной переменной $x$.
1) $\log_3 x = 1 \implies x_1 = 3^1 = 3$.
2) $\log_3 x = -4 \implies x_2 = 3^{-4} = \frac{1}{3^4} = \frac{1}{81}$.
Оба корня удовлетворяют ОДЗ ($x > 0$).
Ответ: $x_1 = 3, x_2 = \frac{1}{81}$.

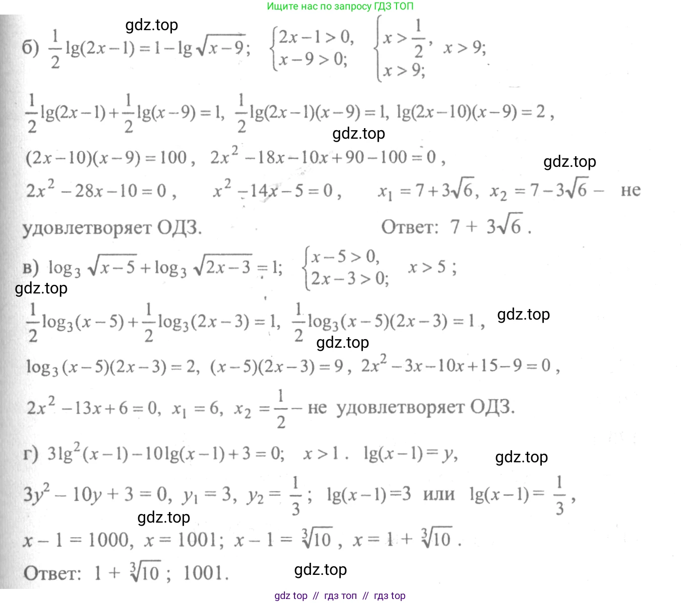
б) $\frac{1}{2}\lg(2x-1) = 1 - \lg\sqrt{x-9}$

Найдем область допустимых значений (ОДЗ): $\begin{cases} 2x-1 > 0 \\ x-9 > 0 \end{cases} \implies \begin{cases} x > \frac{1}{2} \\ x > 9 \end{cases} \implies x > 9$.
Преобразуем уравнение, используя свойства логарифмов $\lg\sqrt{a} = \lg a^{1/2} = \frac{1}{2}\lg a$: $\frac{1}{2}\lg(2x-1) = 1 - \frac{1}{2}\lg(x-9)$
Умножим обе части уравнения на 2: $\lg(2x-1) = 2 - \lg(x-9)$
Перенесем логарифм в левую часть: $\lg(2x-1) + \lg(x-9) = 2$
Используем свойство суммы логарифмов $\lg a + \lg b = \lg(ab)$: $\lg((2x-1)(x-9)) = 2$
По определению десятичного логарифма: $(2x-1)(x-9) = 10^2$
$2x^2 - 18x - x + 9 = 100$
$2x^2 - 19x - 91 = 0$
Решим квадратное уравнение через дискриминант: $D = b^2 - 4ac = (-19)^2 - 4 \cdot 2 \cdot (-91) = 361 + 728 = 1089 = 33^2$
$x_{1,2} = \frac{-b \pm \sqrt{D}}{2a} = \frac{19 \pm 33}{4}$
$x_1 = \frac{19+33}{4} = \frac{52}{4} = 13$
$x_2 = \frac{19-33}{4} = \frac{-14}{4} = -3.5$
Проверим корни по ОДЗ ($x > 9$).
$x_1 = 13$ удовлетворяет условию ($13 > 9$).
$x_2 = -3.5$ не удовлетворяет условию ($-3.5 \ngtr 9$), это посторонний корень.
Ответ: $x = 13$.

в) $\log_3\sqrt{x-5} + \log_3\sqrt{2x-3} = 1$

Найдем область допустимых значений (ОДЗ): $\begin{cases} x-5 > 0 \\ 2x-3 > 0 \end{cases} \implies \begin{cases} x > 5 \\ x > \frac{3}{2} \end{cases} \implies x > 5$.
Используем свойство суммы логарифмов $\log_a b + \log_a c = \log_a (bc)$: $\log_3(\sqrt{x-5} \cdot \sqrt{2x-3}) = 1$
$\log_3\sqrt{(x-5)(2x-3)} = 1$
По определению логарифма: $\sqrt{(x-5)(2x-3)} = 3^1$
$\sqrt{(x-5)(2x-3)} = 3$
Возведем обе части в квадрат: $(x-5)(2x-3) = 9$
$2x^2 - 3x - 10x + 15 = 9$
$2x^2 - 13x + 6 = 0$
Решим квадратное уравнение: $D = b^2 - 4ac = (-13)^2 - 4 \cdot 2 \cdot 6 = 169 - 48 = 121 = 11^2$
$x_{1,2} = \frac{-b \pm \sqrt{D}}{2a} = \frac{13 \pm 11}{4}$
$x_1 = \frac{13+11}{4} = \frac{24}{4} = 6$
$x_2 = \frac{13-11}{4} = \frac{2}{4} = 0.5$
Проверим корни по ОДЗ ($x > 5$).
$x_1 = 6$ удовлетворяет условию ($6 > 5$).
$x_2 = 0.5$ не удовлетворяет условию ($0.5 \ngtr 5$), это посторонний корень.
Ответ: $x = 6$.

г) $3\lg^2(x-1) - 10\lg(x-1) + 3 = 0$

Данное уравнение является квадратным относительно $\lg(x-1)$.
Область допустимых значений (ОДЗ): $x-1 > 0 \implies x > 1$.
Сделаем замену переменной. Пусть $t = \lg(x-1)$. Уравнение примет вид: $3t^2 - 10t + 3 = 0$
Решим это квадратное уравнение: $D = b^2 - 4ac = (-10)^2 - 4 \cdot 3 \cdot 3 = 100 - 36 = 64 = 8^2$
$t_{1,2} = \frac{-b \pm \sqrt{D}}{2a} = \frac{10 \pm 8}{6}$
$t_1 = \frac{10+8}{6} = \frac{18}{6} = 3$
$t_2 = \frac{10-8}{6} = \frac{2}{6} = \frac{1}{3}$
Вернемся к исходной переменной $x$.
1) $\lg(x-1) = 3 \implies x-1 = 10^3 \implies x-1 = 1000 \implies x_1 = 1001$.
2) $\lg(x-1) = \frac{1}{3} \implies x-1 = 10^{1/3} \implies x_2 = 1 + \sqrt[3]{10}$.
Оба корня удовлетворяют ОДЗ ($x > 1$), так как $1001 > 1$ и $1 + \sqrt[3]{10} > 1$.
Ответ: $x_1 = 1001, x_2 = 1 + \sqrt[3]{10}$.

Помогло решение? Оставьте отзыв в комментариях ниже.

Присоединяйтесь к Телеграм-группе @top_gdz

Присоединиться

Мы подготовили для вас ответ c подробным объяснением домашего задания по алгебре за 10-11 класс, для упражнения номер 171 расположенного на странице 300 к учебнику 2008 года издания для учащихся школ и гимназий.

Теперь на нашем сайте ГДЗ.ТОП вы всегда легко и бесплатно найдёте условие с правильным ответом на вопрос «Как решить ДЗ» и «Как сделать» задание по алгебре к упражнению №171 (с. 300), авторов: Колмогоров (Андрей Николаевич), Абрамов (Александр Михайлович), Дудницын (Юрий Павлович), учебного пособия издательства Просвещение.