Номер 1.97, страница 29 - гдз по алгебре 11 класс учебник Арефьева, Пирютко

Алгебра, 11 класс Учебник, авторы: Арефьева Ирина Глебовна, Пирютко Ольга Николаевна, издательство Народная асвета, Минск, 2020, бирюзового цвета

Авторы: Арефьева И. Г., Пирютко О. Н.

Тип: Учебник

Издательство: Народная асвета

Год издания: 2020 - 2026

Цвет обложки: бирюзовый, зелёный с графиком

ISBN: 978-985-03-3165-6

Популярные ГДЗ в 11 классе

Глава 1. Обобщение понятия степени. Параграф 2. Степенная функция и ее свойства - номер 1.97, страница 29.

№1.97 (с. 29)
Условие. №1.97 (с. 29)
скриншот условия
Алгебра, 11 класс Учебник, авторы: Арефьева Ирина Глебовна, Пирютко Ольга Николаевна, издательство Народная асвета, Минск, 2020, бирюзового цвета, страница 29, номер 1.97, Условие

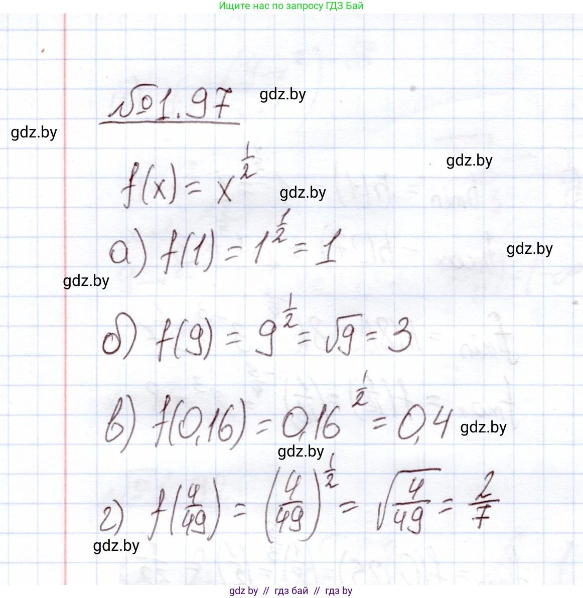
1.97. Степенная функция задана формулой $f(x) = x^{-\frac{1}{2}}$. Найдите:

а) $f(1)$;

б) $f(9)$;

в) $f(0,16)$;

г) $f\left(\frac{4}{49}\right)$.

Решение. №1.97 (с. 29)
Алгебра, 11 класс Учебник, авторы: Арефьева Ирина Глебовна, Пирютко Ольга Николаевна, издательство Народная асвета, Минск, 2020, бирюзового цвета, страница 29, номер 1.97, Решение
Решение 2. №1.97 (с. 29)

Дана степенная функция $f(x) = x^{\frac{1}{2}}$. Напомним, что возведение в степень $\frac{1}{2}$ эквивалентно извлечению арифметического квадратного корня, то есть $f(x) = \sqrt{x}$. Для нахождения значений функции необходимо подставить заданные значения аргумента $x$ в формулу.

а) Чтобы найти $f(1)$, подставим $x = 1$ в формулу функции:
$f(1) = 1^{\frac{1}{2}} = \sqrt{1} = 1$.
Ответ: 1.

б) Чтобы найти $f(9)$, подставим $x = 9$ в формулу функции:
$f(9) = 9^{\frac{1}{2}} = \sqrt{9} = 3$.
Ответ: 3.

в) Чтобы найти $f(0,16)$, подставим $x = 0,16$ в формулу функции:
$f(0,16) = (0,16)^{\frac{1}{2}} = \sqrt{0,16}$.
Так как $0,4^2 = 0,16$, то $\sqrt{0,16} = 0,4$.
Также можно представить десятичную дробь в виде обыкновенной: $0,16 = \frac{16}{100}$.
$f(0,16) = \left(\frac{16}{100}\right)^{\frac{1}{2}} = \frac{16^{\frac{1}{2}}}{100^{\frac{1}{2}}} = \frac{\sqrt{16}}{\sqrt{100}} = \frac{4}{10} = 0,4$.
Ответ: 0,4.

г) Чтобы найти $f\left(\frac{4}{49}\right)$, подставим $x = \frac{4}{49}$ в формулу функции:
$f\left(\frac{4}{49}\right) = \left(\frac{4}{49}\right)^{\frac{1}{2}}$.
Используя свойство степени $\left(\frac{a}{b}\right)^n = \frac{a^n}{b^n}$, получаем:
$\left(\frac{4}{49}\right)^{\frac{1}{2}} = \frac{4^{\frac{1}{2}}}{49^{\frac{1}{2}}} = \frac{\sqrt{4}}{\sqrt{49}} = \frac{2}{7}$.
Ответ: $\frac{2}{7}$.

Помогло решение? Оставьте отзыв в комментариях ниже.

Присоединяйтесь к Телеграм-группе @gdz_by_belarus

Присоединиться

Мы подготовили для вас ответ c подробным объяснением домашего задания по алгебре за 11 класс, для упражнения номер 1.97 расположенного на странице 29 к учебнику 2020 года издания для учащихся школ и гимназий.

Теперь на нашем сайте ГДЗ.ТОП вы всегда легко и бесплатно найдёте условие с правильным ответом на вопрос «Как решить ДЗ» и «Как сделать» задание по алгебре к упражнению №1.97 (с. 29), авторов: Арефьева (Ирина Глебовна), Пирютко (Ольга Николаевна), учебного пособия издательства Народная асвета.