Номер 1.101, страница 30 - гдз по алгебре 11 класс учебник Арефьева, Пирютко
Авторы: Арефьева И. Г., Пирютко О. Н.
Тип: Учебник
Издательство: Народная асвета
Год издания: 2020 - 2026
Цвет обложки: бирюзовый, зелёный с графиком
ISBN: 978-985-03-3165-6
Популярные ГДЗ в 11 классе
Глава 1. Обобщение понятия степени. Параграф 2. Степенная функция и ее свойства - номер 1.101, страница 30.
№1.101 (с. 30)
Условие. №1.101 (с. 30)
скриншот условия
1.101. Найдите область определения функции:
а) $y = (x + 4)^{0.2};$
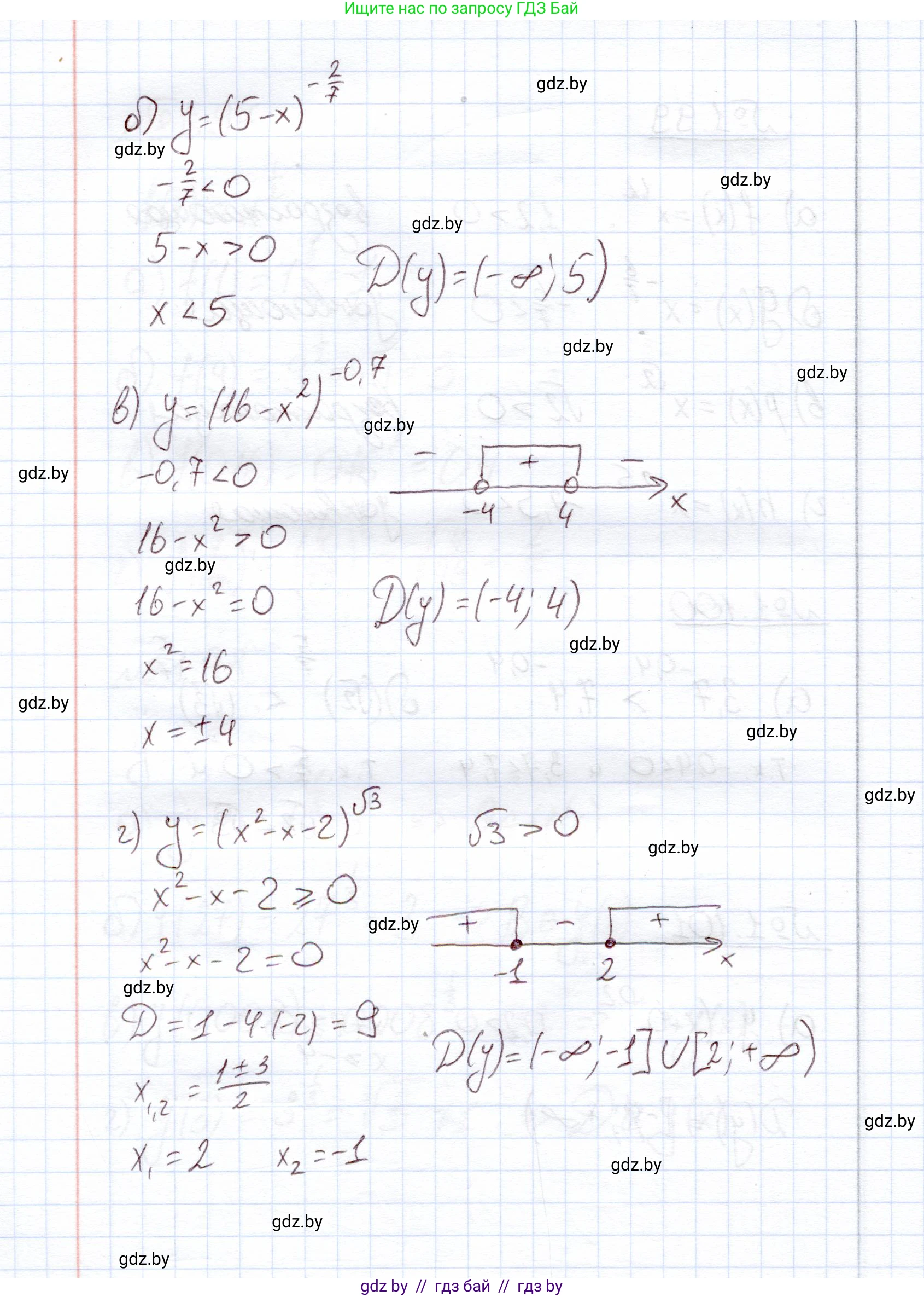
б) $y = (5 - x)^{-\frac{2}{7}};$
в) $y = (16 - x^2)^{-0.7};$
г) $y = (x^2 - x - 2)^{\sqrt{3}};$
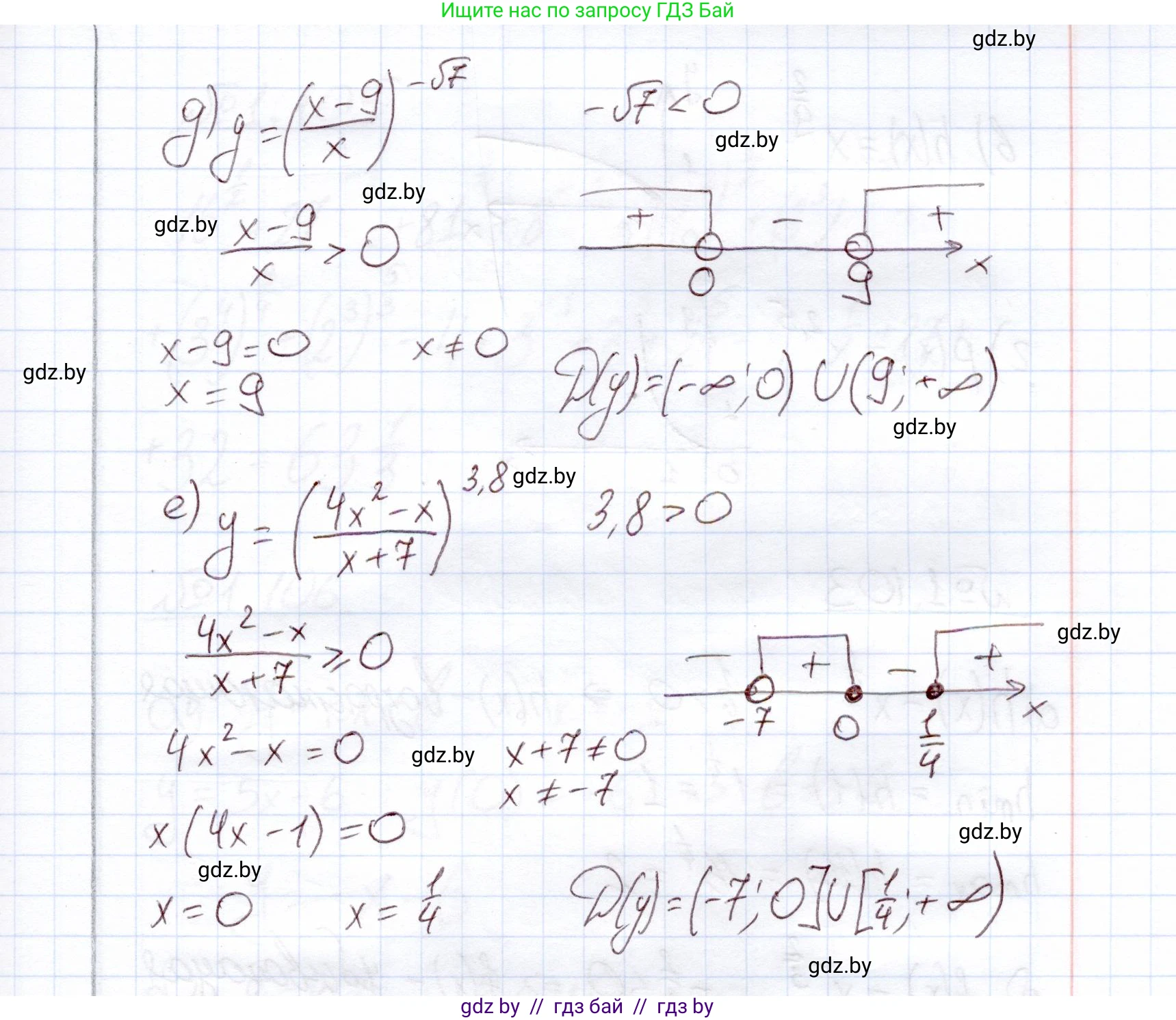
д) $y = \left(\frac{x - 9}{x}\right)^{-\sqrt{7}};$
е) $y = \left(\frac{4x^2 - x}{x + 7}\right)^{3.8}.$
Решение. №1.101 (с. 30)
Решение 2. №1.101 (с. 30)
а) Дана функция $y = (x+4)^{0,2}$. Показатель степени $a = 0,2 = \frac{1}{5}$ является положительным рациональным числом, не являющимся целым. Область определения степенной функции с таким показателем определяется условием, что ее основание должно быть неотрицательным. Таким образом, получаем неравенство:
$x + 4 \ge 0$.
Решая его, находим:
$x \ge -4$.
Следовательно, область определения функции — это промежуток $[-4; +\infty)$.
Ответ: $x \in [-4; +\infty)$.
б) Дана функция $y = (5-x)^{-\frac{2}{7}}$. Показатель степени $a = -\frac{2}{7}$ является отрицательным рациональным числом. Область определения степенной функции с отрицательным нецелым показателем определяется условием, что ее основание должно быть строго положительным. Таким образом, получаем неравенство:
$5 - x > 0$.
Решая его, находим:
$x < 5$.
Следовательно, область определения функции — это промежуток $(-\infty; 5)$.
Ответ: $x \in (-\infty; 5)$.
в) Дана функция $y = (16-x^2)^{-0,7}$. Показатель степени $a = -0,7 = -\frac{7}{10}$ является отрицательным рациональным числом. Область определения определяется условием, что основание степени должно быть строго положительным:
$16 - x^2 > 0$.
Разложим на множители:
$(4 - x)(4 + x) > 0$.
Это квадратное неравенство. Корни соответствующего уравнения $16-x^2=0$ равны $x_1 = -4$ и $x_2 = 4$. Ветви параболы $y = 16-x^2$ направлены вниз, поэтому неравенство выполняется между корнями.
$-4 < x < 4$.
Следовательно, область определения функции — это интервал $(-4; 4)$.
Ответ: $x \in (-4; 4)$.
г) Дана функция $y = (x^2 - x - 2)^{\sqrt{3}}$. Показатель степени $a = \sqrt{3}$ является положительным иррациональным числом. Область определения для такого показателя — это множество значений, при которых основание степени неотрицательно:
$x^2 - x - 2 \ge 0$.
Найдем корни квадратного трехчлена $x^2 - x - 2 = 0$. По теореме Виета, корни равны $x_1 = 2$ и $x_2 = -1$.
Ветви параболы $y = x^2 - x - 2$ направлены вверх, поэтому неравенство выполняется на промежутках левее меньшего корня и правее большего корня.
$x \le -1$ или $x \ge 2$.
Следовательно, область определения функции — это объединение промежутков $(-\infty; -1] \cup [2; +\infty)$.
Ответ: $x \in (-\infty; -1] \cup [2; +\infty)$.
д) Дана функция $y = \left(\frac{x-9}{x}\right)^{-\sqrt{7}}$. Показатель степени $a = -\sqrt{7}$ является отрицательным иррациональным числом. Область определения определяется условием, что основание степени должно быть строго положительным:
$\frac{x-9}{x} > 0$.
Решим это неравенство методом интервалов. Нули числителя: $x=9$. Нули знаменателя: $x=0$.
Отметим точки $0$ и $9$ на числовой прямой и определим знаки дроби в полученных интервалах:
- при $x \in (-\infty; 0)$: $\frac{-}{-} = +$
- при $x \in (0; 9)$: $\frac{-}{+} = -$
- при $x \in (9; +\infty)$: $\frac{+}{+} = +$
Неравенство выполняется, когда дробь положительна.
Следовательно, область определения функции — это объединение промежутков $(-\infty; 0) \cup (9; +\infty)$.
Ответ: $x \in (-\infty; 0) \cup (9; +\infty)$.
е) Дана функция $y = \left(\frac{4x^2 - x}{x+7}\right)^{3,8}$. Показатель степени $a = 3,8 = \frac{19}{5}$ является положительным рациональным числом, не являющимся целым. Область определения определяется условием, что основание степени должно быть неотрицательным:
$\frac{4x^2 - x}{x+7} \ge 0$.
Разложим числитель на множители:
$\frac{x(4x-1)}{x+7} \ge 0$.
Решим неравенство методом интервалов. Точки, в которых числитель или знаменатель обращаются в ноль: $x=-7, x=0, x=1/4$.
Точка $x=-7$ является точкой разрыва, поэтому она не входит в решение. Точки $x=0$ и $x=1/4$ входят, так как неравенство нестрогое.
Определим знаки выражения в интервалах $(-\infty; -7)$, $(-7; 0]$, $(0; 1/4]$, $[1/4; +\infty)$:
- при $x \in (-\infty; -7)$: знак $(-)$
- при $x \in (-7; 0]$: знак $(+)$
- при $x \in (0; 1/4]$: знак $(-)$
- при $x \in [1/4; +\infty)$: знак $(+)$
Неравенство выполняется, когда выражение неотрицательно.
Следовательно, область определения функции — это объединение промежутков $(-7; 0] \cup [1/4; +\infty)$.
Ответ: $x \in (-7; 0] \cup [1/4; +\infty)$.
Другие задания:
Помогло решение? Оставьте отзыв в комментариях ниже.
Присоединяйтесь к Телеграм-группе @gdz_by_belarus
ПрисоединитьсяМы подготовили для вас ответ c подробным объяснением домашего задания по алгебре за 11 класс, для упражнения номер 1.101 расположенного на странице 30 к учебнику 2020 года издания для учащихся школ и гимназий.
Теперь на нашем сайте ГДЗ.ТОП вы всегда легко и бесплатно найдёте условие с правильным ответом на вопрос «Как решить ДЗ» и «Как сделать» задание по алгебре к упражнению №1.101 (с. 30), авторов: Арефьева (Ирина Глебовна), Пирютко (Ольга Николаевна), учебного пособия издательства Народная асвета.