Номер 1.125, страница 38 - гдз по алгебре 11 класс учебник Арефьева, Пирютко

Алгебра, 11 класс Учебник, авторы: Арефьева Ирина Глебовна, Пирютко Ольга Николаевна, издательство Народная асвета, Минск, 2020, бирюзового цвета

Авторы: Арефьева И. Г., Пирютко О. Н.

Тип: Учебник

Издательство: Народная асвета

Год издания: 2020 - 2026

Цвет обложки: бирюзовый, зелёный с графиком

ISBN: 978-985-03-3165-6

Популярные ГДЗ в 11 классе

Глава 1. Обобщение понятия степени. Параграф 3. Определение логарифма числа. Основное логарифмическое тождество - номер 1.125, страница 38.

№1.125 (с. 38)
Условие. №1.125 (с. 38)
скриншот условия
Алгебра, 11 класс Учебник, авторы: Арефьева Ирина Глебовна, Пирютко Ольга Николаевна, издательство Народная асвета, Минск, 2020, бирюзового цвета, страница 38, номер 1.125, Условие

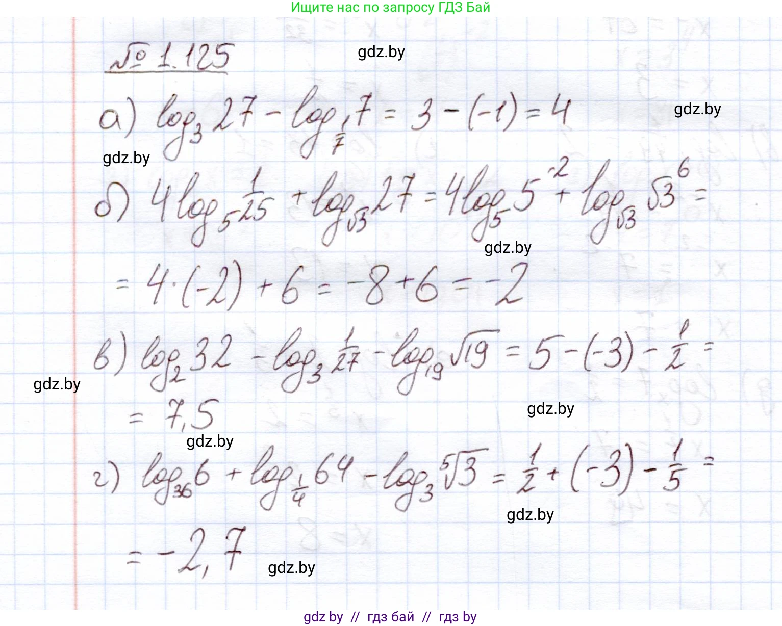
1.125. Найдите значение выражения:

а) $ \log_3 27 - \log_{\frac{1}{7}} 7$;

б) $ 4\log_5 \frac{1}{25} + \log_{\sqrt{3}} 27$;

в) $ \log_2 32 - \log_3 \frac{1}{27} - \log_{19} \sqrt{19}$;

г) $ \log_{36} 6 + \log_{\frac{1}{4}} 64 - \log_3 \sqrt[5]{3}$.

Решение. №1.125 (с. 38)
Алгебра, 11 класс Учебник, авторы: Арефьева Ирина Глебовна, Пирютко Ольга Николаевна, издательство Народная асвета, Минск, 2020, бирюзового цвета, страница 38, номер 1.125, Решение
Решение 2. №1.125 (с. 38)

а) $\log_3 27 - \log_{\frac{1}{7}} 7$

Для решения данного выражения вычислим каждый логарифм по отдельности, используя определение логарифма $\log_a b = c \Leftrightarrow a^c = b$ и его свойства.

1. Найдем значение $\log_3 27$. Поскольку $3^3 = 27$, то $\log_3 27 = 3$.

2. Найдем значение $\log_{\frac{1}{7}} 7$. Основание логарифма равно $\frac{1}{7} = 7^{-1}$. Используя свойство логарифма $\log_{a^k} b = \frac{1}{k} \log_a b$, получаем:

$\log_{\frac{1}{7}} 7 = \log_{7^{-1}} 7^1 = \frac{1}{-1} \log_7 7 = -1 \cdot 1 = -1$.

3. Подставим найденные значения в исходное выражение:

$\log_3 27 - \log_{\frac{1}{7}} 7 = 3 - (-1) = 3 + 1 = 4$.

Ответ: 4

б) $4\log_5 \frac{1}{25} + \log_{\sqrt{3}} 27$

Вычислим каждое слагаемое.

1. Для первого слагаемого $4\log_5 \frac{1}{25}$, представим $\frac{1}{25}$ как степень 5: $\frac{1}{25} = \frac{1}{5^2} = 5^{-2}$.

$\log_5 \frac{1}{25} = \log_5 5^{-2} = -2$.

Тогда все слагаемое равно $4 \cdot (-2) = -8$.

2. Для второго слагаемого $\log_{\sqrt{3}} 27$, представим основание и аргумент логарифма как степени числа 3: $\sqrt{3} = 3^{\frac{1}{2}}$ и $27 = 3^3$.

Используем свойство $\log_{a^k} b^m = \frac{m}{k} \log_a b$:

$\log_{\sqrt{3}} 27 = \log_{3^{\frac{1}{2}}} 3^3 = \frac{3}{\frac{1}{2}} \log_3 3 = (3 \cdot 2) \cdot 1 = 6$.

3. Сложим полученные значения:

$-8 + 6 = -2$.

Ответ: -2

в) $\log_2 32 - \log_3 \frac{1}{27} - \log_{19} \sqrt{19}$

Вычислим каждый член выражения по очереди.

1. $\log_2 32$. Поскольку $2^5 = 32$, то $\log_2 32 = 5$.

2. $\log_3 \frac{1}{27}$. Поскольку $\frac{1}{27} = \frac{1}{3^3} = 3^{-3}$, то $\log_3 \frac{1}{27} = \log_3 3^{-3} = -3$.

3. $\log_{19} \sqrt{19}$. Поскольку $\sqrt{19} = 19^{\frac{1}{2}}$, то $\log_{19} \sqrt{19} = \log_{19} 19^{\frac{1}{2}} = \frac{1}{2}$.

4. Подставим значения в исходное выражение:

$5 - (-3) - \frac{1}{2} = 5 + 3 - 0.5 = 8 - 0.5 = 7.5$.

Ответ: 7.5

г) $\log_{36} 6 + \log_{\frac{1}{4}} 64 - \log_3 \sqrt[5]{3}$

Вычислим каждое слагаемое отдельно.

1. Для $\log_{36} 6$ представим основание как степень аргумента: $36 = 6^2$.

$\log_{36} 6 = \log_{6^2} 6^1 = \frac{1}{2} \log_6 6 = \frac{1}{2}$.

2. Для $\log_{\frac{1}{4}} 64$ представим основание и аргумент как степени числа 4: $\frac{1}{4} = 4^{-1}$ и $64 = 4^3$.

$\log_{\frac{1}{4}} 64 = \log_{4^{-1}} 4^3 = \frac{3}{-1} \log_4 4 = -3 \cdot 1 = -3$.

3. Для $\log_3 \sqrt[5]{3}$ представим корень в виде степени: $\sqrt[5]{3} = 3^{\frac{1}{5}}$.

$\log_3 \sqrt[5]{3} = \log_3 3^{\frac{1}{5}} = \frac{1}{5}$.

4. Выполним сложение и вычитание полученных значений:

$\frac{1}{2} + (-3) - \frac{1}{5} = 0.5 - 3 - 0.2 = -2.5 - 0.2 = -2.7$.

Ответ: -2.7

Помогло решение? Оставьте отзыв в комментариях ниже.

Присоединяйтесь к Телеграм-группе @gdz_by_belarus

Присоединиться

Мы подготовили для вас ответ c подробным объяснением домашего задания по алгебре за 11 класс, для упражнения номер 1.125 расположенного на странице 38 к учебнику 2020 года издания для учащихся школ и гимназий.

Теперь на нашем сайте ГДЗ.ТОП вы всегда легко и бесплатно найдёте условие с правильным ответом на вопрос «Как решить ДЗ» и «Как сделать» задание по алгебре к упражнению №1.125 (с. 38), авторов: Арефьева (Ирина Глебовна), Пирютко (Ольга Николаевна), учебного пособия издательства Народная асвета.