Номер 1.131, страница 39 - гдз по алгебре 11 класс учебник Арефьева, Пирютко

Алгебра, 11 класс Учебник, авторы: Арефьева Ирина Глебовна, Пирютко Ольга Николаевна, издательство Народная асвета, Минск, 2020, бирюзового цвета

Авторы: Арефьева И. Г., Пирютко О. Н.

Тип: Учебник

Издательство: Народная асвета

Год издания: 2020 - 2026

Цвет обложки: бирюзовый, зелёный с графиком

ISBN: 978-985-03-3165-6

Популярные ГДЗ в 11 классе

Глава 1. Обобщение понятия степени. Параграф 3. Определение логарифма числа. Основное логарифмическое тождество - номер 1.131, страница 39.

№1.131 (с. 39)
Условие. №1.131 (с. 39)
скриншот условия
Алгебра, 11 класс Учебник, авторы: Арефьева Ирина Глебовна, Пирютко Ольга Николаевна, издательство Народная асвета, Минск, 2020, бирюзового цвета, страница 39, номер 1.131, Условие

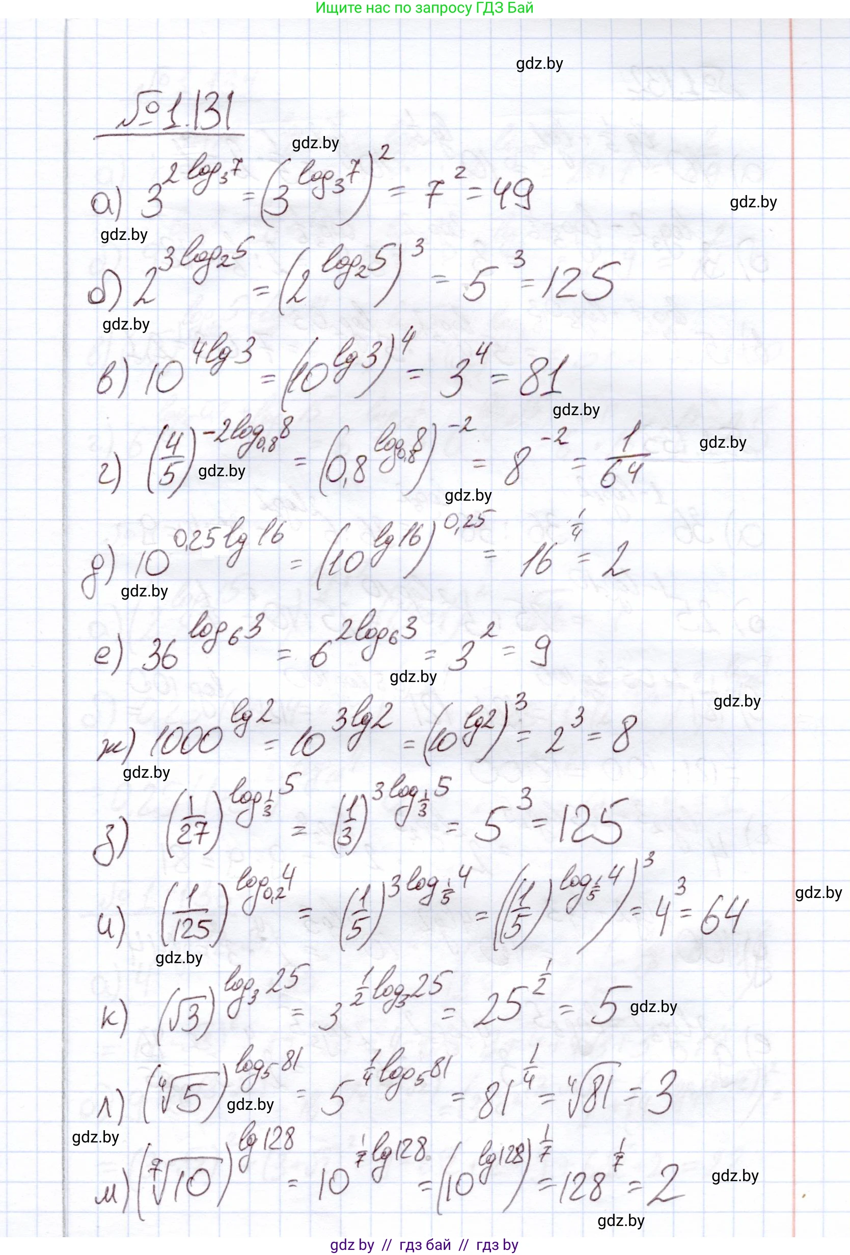
1.131. Пользуясь основным логарифмическим тождеством, вычислите:

а) $3^{2\log_3 7};$

б) $2^{3\log_2 5};$

в) $10^{4\lg 3};$

г) $(\frac{4}{5})^{-2\log_{0.8} 8};$

д) $10^{0.25\lg 16};$

е) $36^{\log_6 3};$

ж) $1000^{\lg 2};$

з) $(\frac{1}{27})^{\log_{\frac{1}{3}} 5};$

и) $(\frac{1}{125})^{\log_{0.2} 4};$

к) $(\sqrt{3})^{\log_3 25};$

л) $(\sqrt[4]{5})^{\log_5 81};$

м) $(\sqrt[7]{10})^{\lg 128}.$

Решение. №1.131 (с. 39)
Алгебра, 11 класс Учебник, авторы: Арефьева Ирина Глебовна, Пирютко Ольга Николаевна, издательство Народная асвета, Минск, 2020, бирюзового цвета, страница 39, номер 1.131, Решение
Решение 2. №1.131 (с. 39)

а) Для вычисления $3^{2\log_3 7}$ сначала преобразуем показатель степени, используя свойство $n \log_a b = \log_a b^n$. Получаем $2\log_3 7 = \log_3 7^2 = \log_3 49$. Теперь исходное выражение принимает вид $3^{\log_3 49}$. Применяя основное логарифмическое тождество $a^{\log_a b} = b$, находим, что $3^{\log_3 49} = 49$.
Ответ: 49

б) В выражении $2^{3\log_2 5}$ преобразуем показатель степени по свойству $n \log_a b = \log_a b^n$: $3\log_2 5 = \log_2 5^3 = \log_2 125$. Тогда выражение равно $2^{\log_2 125}$. По основному логарифмическому тождеству $a^{\log_a b} = b$, получаем $2^{\log_2 125} = 125$.
Ответ: 125

в) В выражении $10^{4\lg 3}$ учтем, что $\lg 3 = \log_{10} 3$. Преобразуем показатель степени по свойству $n \log_a b = \log_a b^n$: $4\log_{10} 3 = \log_{10} 3^4 = \log_{10} 81$. Тогда выражение равно $10^{\log_{10} 81}$. По основному логарифмическому тождеству $a^{\log_a b} = b$, получаем $10^{\log_{10} 81} = 81$.
Ответ: 81

г) В выражении $(\frac{4}{5})^{-2\log_{0.8} 8}$ заметим, что основание степени $\frac{4}{5}$ равно основанию логарифма $0.8$. Преобразуем показатель степени по свойству $n \log_a b = \log_a b^n$: $-2\log_{0.8} 8 = \log_{0.8} 8^{-2} = \log_{0.8} \frac{1}{64}$. Тогда выражение равно $0.8^{\log_{0.8} \frac{1}{64}}$. По основному логарифмическому тождеству $a^{\log_a b} = b$, получаем $0.8^{\log_{0.8} \frac{1}{64}} = \frac{1}{64}$.
Ответ: $\frac{1}{64}$

д) В выражении $10^{0.25\lg 16}$ преобразуем показатель степени по свойству $n \log_a b = \log_a b^n$: $0.25\lg 16 = \lg 16^{0.25}$. Так как $0.25 = \frac{1}{4}$, то $16^{0.25} = \sqrt[4]{16} = 2$. Показатель степени равен $\lg 2$. Тогда выражение равно $10^{\lg 2}$. По основному логарифмическому тождеству, $10^{\log_{10} 2} = 2$.
Ответ: 2

е) Для вычисления $36^{\log_6 3}$ приведем основание степени 36 к основанию логарифма 6, то есть $36 = 6^2$. Выражение принимает вид $(6^2)^{\log_6 3}$. По свойству степени $(a^m)^n=a^{mn}$ получаем $6^{2\log_6 3}$. Далее, по свойству $n \log_a b = \log_a b^n$, имеем $6^{\log_6 3^2} = 6^{\log_6 9}$. Применяя основное логарифмическое тождество, получаем $6^{\log_6 9} = 9$.
Ответ: 9

ж) Для вычисления $1000^{\lg 2}$ приведем основание степени 1000 к основанию десятичного логарифма 10: $1000 = 10^3$. Выражение принимает вид $(10^3)^{\lg 2}$. По свойству степени $(a^m)^n=a^{mn}$ получаем $10^{3\lg 2}$. Далее, по свойству $n \lg b = \lg b^n$, имеем $10^{\lg 2^3} = 10^{\lg 8}$. По основному логарифмическому тождеству, $10^{\log_{10} 8} = 8$.
Ответ: 8

з) В выражении $(\frac{1}{27})^{\log_{\frac{1}{3}} 5}$ приведем основание степени $\frac{1}{27}$ к основанию логарифма $\frac{1}{3}$: $\frac{1}{27} = (\frac{1}{3})^3$. Выражение принимает вид $((\frac{1}{3})^3)^{\log_{\frac{1}{3}} 5}$. По свойству степени $(a^m)^n=a^{mn}$ получаем $(\frac{1}{3})^{3\log_{\frac{1}{3}} 5}$. Далее, по свойству $n \log_a b = \log_a b^n$, имеем $(\frac{1}{3})^{\log_{\frac{1}{3}} 5^3} = (\frac{1}{3})^{\log_{\frac{1}{3}} 125}$. По основному логарифмическому тождеству, получаем $125$.
Ответ: 125

и) В выражении $(\frac{1}{125})^{\log_{0.2} 4}$ представим $0.2 = \frac{1}{5}$. Приведем основание степени $\frac{1}{125}$ к основанию логарифма $\frac{1}{5}$: $\frac{1}{125} = (\frac{1}{5})^3$. Выражение принимает вид $((\frac{1}{5})^3)^{\log_{\frac{1}{5}} 4}$. По свойству степени $(a^m)^n=a^{mn}$ получаем $(\frac{1}{5})^{3\log_{\frac{1}{5}} 4}$. Далее, по свойству $n \log_a b = \log_a b^n$, имеем $(\frac{1}{5})^{\log_{\frac{1}{5}} 4^3} = (\frac{1}{5})^{\log_{\frac{1}{5}} 64}$. По основному логарифмическому тождеству, получаем $64$.
Ответ: 64

к) Для вычисления $(\sqrt{3})^{\log_3 25}$ приведем основание степени $\sqrt{3}$ к основанию логарифма 3: $\sqrt{3} = 3^{1/2}$. Выражение принимает вид $(3^{1/2})^{\log_3 25}$. По свойству степени $(a^m)^n=a^{mn}$ получаем $3^{\frac{1}{2}\log_3 25}$. Далее, по свойству $n \log_a b = \log_a b^n$, имеем $3^{\log_3 25^{1/2}} = 3^{\log_3 \sqrt{25}} = 3^{\log_3 5}$. По основному логарифмическому тождеству, получаем $5$.
Ответ: 5

л) Для вычисления $(\sqrt[4]{5})^{\log_5 81}$ приведем основание степени $\sqrt[4]{5}$ к основанию логарифма 5: $\sqrt[4]{5} = 5^{1/4}$. Выражение принимает вид $(5^{1/4})^{\log_5 81}$. По свойству степени $(a^m)^n=a^{mn}$ получаем $5^{\frac{1}{4}\log_5 81}$. Далее, по свойству $n \log_a b = \log_a b^n$, имеем $5^{\log_5 81^{1/4}} = 5^{\log_5 \sqrt[4]{81}} = 5^{\log_5 3}$. По основному логарифмическому тождеству, получаем $3$.
Ответ: 3

м) Для вычисления $(\sqrt[7]{10})^{\lg 128}$ приведем основание степени $\sqrt[7]{10}$ к основанию логарифма 10: $\sqrt[7]{10} = 10^{1/7}$. Выражение принимает вид $(10^{1/7})^{\lg 128}$. По свойству степени $(a^m)^n=a^{mn}$ получаем $10^{\frac{1}{7}\lg 128}$. Далее, по свойству $n \lg b = \lg b^n$, имеем $10^{\lg 128^{1/7}} = 10^{\lg \sqrt[7]{128}}$. Так как $2^7=128$, то $\sqrt[7]{128}=2$. Выражение равно $10^{\lg 2}$. По основному логарифмическому тождеству, получаем $2$.
Ответ: 2

Помогло решение? Оставьте отзыв в комментариях ниже.

Присоединяйтесь к Телеграм-группе @gdz_by_belarus

Присоединиться

Мы подготовили для вас ответ c подробным объяснением домашего задания по алгебре за 11 класс, для упражнения номер 1.131 расположенного на странице 39 к учебнику 2020 года издания для учащихся школ и гимназий.

Теперь на нашем сайте ГДЗ.ТОП вы всегда легко и бесплатно найдёте условие с правильным ответом на вопрос «Как решить ДЗ» и «Как сделать» задание по алгебре к упражнению №1.131 (с. 39), авторов: Арефьева (Ирина Глебовна), Пирютко (Ольга Николаевна), учебного пособия издательства Народная асвета.