Номер 2.103, страница 74 - гдз по алгебре 11 класс учебник Арефьева, Пирютко

Алгебра, 11 класс Учебник, авторы: Арефьева Ирина Глебовна, Пирютко Ольга Николаевна, издательство Народная асвета, Минск, 2020, бирюзового цвета

Авторы: Арефьева И. Г., Пирютко О. Н.

Тип: Учебник

Издательство: Народная асвета

Год издания: 2020 - 2026

Цвет обложки: бирюзовый, зелёный с графиком

ISBN: 978-985-03-3165-6

Популярные ГДЗ в 11 классе

Глава 2. Показательная функция. Параграф 5. Показательные уравнения - номер 2.103, страница 74.

№2.103 (с. 74)
Условие. №2.103 (с. 74)
скриншот условия
Алгебра, 11 класс Учебник, авторы: Арефьева Ирина Глебовна, Пирютко Ольга Николаевна, издательство Народная асвета, Минск, 2020, бирюзового цвета, страница 74, номер 2.103, Условие

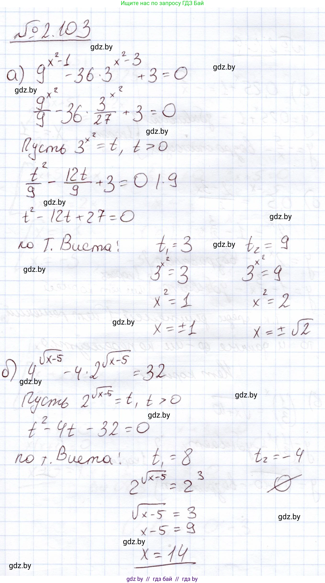
2.103. Выполните замену переменной и решите уравнение:

a) $9^{x^2-1} - 36 \cdot 3^{x^2-3} + 3 = 0;$

б) $4^{\sqrt{x-5}} - 4 \cdot 2^{\sqrt{x-5}} = 32.$

Решение. №2.103 (с. 74)
Алгебра, 11 класс Учебник, авторы: Арефьева Ирина Глебовна, Пирютко Ольга Николаевна, издательство Народная асвета, Минск, 2020, бирюзового цвета, страница 74, номер 2.103, Решение
Решение 2. №2.103 (с. 74)

а) $9^{x^2-1} - 36 \cdot 3^{x^2-3} + 3 = 0$

Преобразуем уравнение, чтобы привести его к одному основанию 3. Используем свойства степеней $a^{m-n} = a^m/a^n$ и $(a^m)^n = a^{mn}$.

$9^{x^2-1} = \frac{9^{x^2}}{9^1} = \frac{(3^2)^{x^2}}{9} = \frac{(3^{x^2})^2}{9}$
$3^{x^2-3} = \frac{3^{x^2}}{3^3} = \frac{3^{x^2}}{27}$

Подставим эти выражения в исходное уравнение:

$\frac{(3^{x^2})^2}{9} - 36 \cdot \frac{3^{x^2}}{27} + 3 = 0$

$\frac{1}{9}(3^{x^2})^2 - \frac{4}{3} \cdot 3^{x^2} + 3 = 0$

Выполним замену переменной. Пусть $t = 3^{x^2}$. Так как показатель степени $x^2 \ge 0$, то $t = 3^{x^2} \ge 3^0 = 1$.

Получаем квадратное уравнение относительно $t$:

$\frac{1}{9}t^2 - \frac{4}{3}t + 3 = 0$

Умножим обе части уравнения на 9, чтобы избавиться от дробей:

$t^2 - 12t + 27 = 0$

Решим это квадратное уравнение. По теореме Виета, сумма корней равна 12, а их произведение равно 27. Корни легко подбираются: $t_1=3$ и $t_2=9$.

Оба корня удовлетворяют условию $t \ge 1$.

Выполним обратную замену:

1) Если $t=3$, то $3^{x^2} = 3$.
$3^{x^2} = 3^1$
$x^2 = 1$
$x = \pm 1$.

2) Если $t=9$, то $3^{x^2} = 9$.
$3^{x^2} = 3^2$
$x^2 = 2$
$x = \pm \sqrt{2}$.

Ответ: $\pm 1; \pm \sqrt{2}$.

б) $4^{\sqrt{x-5}} - 4 \cdot 2^{\sqrt{x-5}} = 32$

Сначала определим область допустимых значений (ОДЗ). Выражение под корнем должно быть неотрицательным:

$x-5 \ge 0 \implies x \ge 5$.

Перенесем 32 в левую часть и преобразуем уравнение, представив 4 как $2^2$:

$(2^2)^{\sqrt{x-5}} - 4 \cdot 2^{\sqrt{x-5}} - 32 = 0$

$(2^{\sqrt{x-5}})^2 - 4 \cdot 2^{\sqrt{x-5}} - 32 = 0$

Выполним замену переменной. Пусть $t = 2^{\sqrt{x-5}}$. Так как $\sqrt{x-5} \ge 0$, то $t = 2^{\sqrt{x-5}} \ge 2^0 = 1$.

Получаем квадратное уравнение относительно $t$:

$t^2 - 4t - 32 = 0$

Решим это уравнение. По теореме Виета, сумма корней равна 4, а произведение равно -32. Корни: $t_1=8$ и $t_2=-4$.

Проверим корни на соответствие условию $t \ge 1$.

$t_1 = 8$ удовлетворяет условию $8 \ge 1$.
$t_2 = -4$ не удовлетворяет условию, так как показательная функция $t = 2^{\sqrt{x-5}}$ всегда положительна. Этот корень является посторонним.

Выполним обратную замену для $t=8$:

$2^{\sqrt{x-5}} = 8$

$2^{\sqrt{x-5}} = 2^3$

$\sqrt{x-5} = 3$

Возведем обе части уравнения в квадрат:

$(\sqrt{x-5})^2 = 3^2$

$x-5 = 9$

$x = 14$

Проверим, удовлетворяет ли найденный корень ОДЗ ($x \ge 5$).

$14 \ge 5$, следовательно, корень подходит.

Ответ: $14$.

Помогло решение? Оставьте отзыв в комментариях ниже.

Присоединяйтесь к Телеграм-группе @gdz_by_belarus

Присоединиться

Мы подготовили для вас ответ c подробным объяснением домашего задания по алгебре за 11 класс, для упражнения номер 2.103 расположенного на странице 74 к учебнику 2020 года издания для учащихся школ и гимназий.

Теперь на нашем сайте ГДЗ.ТОП вы всегда легко и бесплатно найдёте условие с правильным ответом на вопрос «Как решить ДЗ» и «Как сделать» задание по алгебре к упражнению №2.103 (с. 74), авторов: Арефьева (Ирина Глебовна), Пирютко (Ольга Николаевна), учебного пособия издательства Народная асвета.