Номер 2.106, страница 74 - гдз по алгебре 11 класс учебник Арефьева, Пирютко

Алгебра, 11 класс Учебник, авторы: Арефьева Ирина Глебовна, Пирютко Ольга Николаевна, издательство Народная асвета, Минск, 2020, бирюзового цвета

Авторы: Арефьева И. Г., Пирютко О. Н.

Тип: Учебник

Издательство: Народная асвета

Год издания: 2020 - 2026

Цвет обложки: бирюзовый, зелёный с графиком

ISBN: 978-985-03-3165-6

Популярные ГДЗ в 11 классе

Глава 2. Показательная функция. Параграф 5. Показательные уравнения - номер 2.106, страница 74.

№2.106 (с. 74)
Условие. №2.106 (с. 74)
скриншот условия
Алгебра, 11 класс Учебник, авторы: Арефьева Ирина Глебовна, Пирютко Ольга Николаевна, издательство Народная асвета, Минск, 2020, бирюзового цвета, страница 74, номер 2.106, Условие

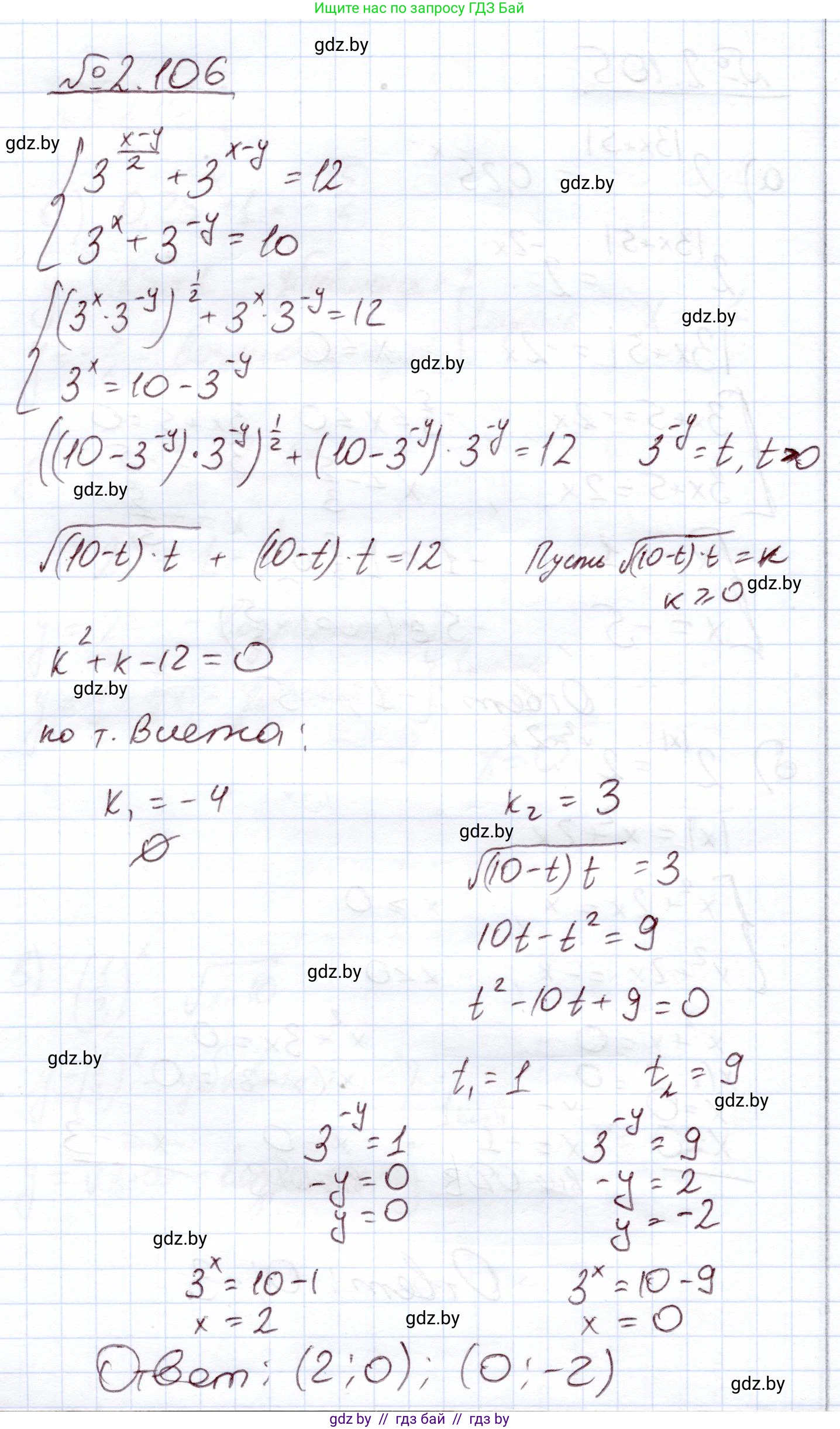
2.106*. Решите систему уравнений $\begin{cases} 3^{\frac{x-y}{2}} + 3^{x-y} = 12; \\ 3^x + 3^{-y} = 10. \end{cases}$

Решение. №2.106 (с. 74)
Алгебра, 11 класс Учебник, авторы: Арефьева Ирина Глебовна, Пирютко Ольга Николаевна, издательство Народная асвета, Минск, 2020, бирюзового цвета, страница 74, номер 2.106, Решение
Решение 2. №2.106 (с. 74)
2.106*.

Рассмотрим исходную систему уравнений:

$ \begin{cases} 3^{\frac{x-y}{2}} + 3^{x-y} = 12 \\ 3^x + 3^{-y} = 10 \end{cases} $

Преобразуем первое уравнение. Пусть $a = 3^{\frac{x-y}{2}}$. Так как показательная функция принимает только положительные значения, то $a > 0$. Тогда $3^{x-y} = (3^{\frac{x-y}{2}})^2 = a^2$. Первое уравнение принимает вид:

$a + a^2 = 12$

Перенесем все члены в одну сторону, чтобы получить квадратное уравнение:

$a^2 + a - 12 = 0$

Решим это уравнение. По теореме Виета, сумма корней равна $-1$, а произведение равно $-12$. Корни: $a_1 = 3$ и $a_2 = -4$.

Так как $a > 0$, корень $a_2 = -4$ является посторонним. Следовательно, $a = 3$.

Сделаем обратную замену:

$3^{\frac{x-y}{2}} = 3$

$3^{\frac{x-y}{2}} = 3^1$

Приравнивая показатели степени, получаем:

$\frac{x-y}{2} = 1$

$x - y = 2$

Отсюда выразим $x$: $x = y + 2$.

Теперь подставим это выражение для $x$ во второе уравнение системы $3^x + 3^{-y} = 10$:

$3^{y+2} + 3^{-y} = 10$

Используя свойства степеней, преобразуем уравнение:

$3^y \cdot 3^2 + \frac{1}{3^y} = 10$

$9 \cdot 3^y + \frac{1}{3^y} = 10$

Сделаем еще одну замену. Пусть $b = 3^y$. Так как $y$ — действительное число, $b > 0$. Уравнение принимает вид:

$9b + \frac{1}{b} = 10$

Умножим обе части уравнения на $b$ (это возможно, так как $b \neq 0$):

$9b^2 + 1 = 10b$

$9b^2 - 10b + 1 = 0$

Решим это квадратное уравнение относительно $b$, используя формулу для корней:

$D = (-10)^2 - 4 \cdot 9 \cdot 1 = 100 - 36 = 64 = 8^2$

$b_{1,2} = \frac{-(-10) \pm \sqrt{64}}{2 \cdot 9} = \frac{10 \pm 8}{18}$

Получаем два корня:

$b_1 = \frac{10 + 8}{18} = \frac{18}{18} = 1$

$b_2 = \frac{10 - 8}{18} = \frac{2}{18} = \frac{1}{9}$

Оба корня положительны, поэтому оба являются решениями.

Рассмотрим оба случая:

1. Если $b = 1$, то $3^y = 1$. Отсюда $3^y = 3^0$, следовательно, $y = 0$.
Найдем соответствующее значение $x$: $x = y + 2 = 0 + 2 = 2$.
Получили первую пару решений: $(2, 0)$.

2. Если $b = \frac{1}{9}$, то $3^y = \frac{1}{9}$. Отсюда $3^y = 3^{-2}$, следовательно, $y = -2$.
Найдем соответствующее значение $x$: $x = y + 2 = -2 + 2 = 0$.
Получили вторую пару решений: $(0, -2)$.

Таким образом, система имеет два решения.

Ответ: $(2, 0), (0, -2)$.

Помогло решение? Оставьте отзыв в комментариях ниже.

Присоединяйтесь к Телеграм-группе @gdz_by_belarus

Присоединиться

Мы подготовили для вас ответ c подробным объяснением домашего задания по алгебре за 11 класс, для упражнения номер 2.106 расположенного на странице 74 к учебнику 2020 года издания для учащихся школ и гимназий.

Теперь на нашем сайте ГДЗ.ТОП вы всегда легко и бесплатно найдёте условие с правильным ответом на вопрос «Как решить ДЗ» и «Как сделать» задание по алгебре к упражнению №2.106 (с. 74), авторов: Арефьева (Ирина Глебовна), Пирютко (Ольга Николаевна), учебного пособия издательства Народная асвета.