Номер 2.113, страница 74 - гдз по алгебре 11 класс учебник Арефьева, Пирютко

Алгебра, 11 класс Учебник, авторы: Арефьева Ирина Глебовна, Пирютко Ольга Николаевна, издательство Народная асвета, Минск, 2020, бирюзового цвета

Авторы: Арефьева И. Г., Пирютко О. Н.

Тип: Учебник

Издательство: Народная асвета

Год издания: 2020 - 2026

Цвет обложки: бирюзовый, зелёный с графиком

ISBN: 978-985-03-3165-6

Популярные ГДЗ в 11 классе

Глава 2. Показательная функция. Параграф 5. Показательные уравнения - номер 2.113, страница 74.

№2.113 (с. 74)
Условие. №2.113 (с. 74)
скриншот условия
Алгебра, 11 класс Учебник, авторы: Арефьева Ирина Глебовна, Пирютко Ольга Николаевна, издательство Народная асвета, Минск, 2020, бирюзового цвета, страница 74, номер 2.113, Условие

2.113*. Решите уравнение, используя метод замены переменной:

a) $\sqrt{5^x - 1} = 7 - 5^x$;

б) $2^{\sin^2 x} + 2^{\cos^2 x} = 3$;

В) $(\sqrt{3 + \sqrt{8}})^x + (\sqrt{3 - \sqrt{8}})^x = 34$.

Решение. №2.113 (с. 74)
Алгебра, 11 класс Учебник, авторы: Арефьева Ирина Глебовна, Пирютко Ольга Николаевна, издательство Народная асвета, Минск, 2020, бирюзового цвета, страница 74, номер 2.113, Решение Алгебра, 11 класс Учебник, авторы: Арефьева Ирина Глебовна, Пирютко Ольга Николаевна, издательство Народная асвета, Минск, 2020, бирюзового цвета, страница 74, номер 2.113, Решение (продолжение 2)
Решение 2. №2.113 (с. 74)

а) $\sqrt{5^x - 1} = 7 - 5^x$

Введем замену переменной. Пусть $y = 5^x$. Так как показательная функция $y=5^x$ принимает только положительные значения, то $y > 0$.

Подставив $y$ в исходное уравнение, получим: $\sqrt{y - 1} = 7 - y$.

Определим область допустимых значений (ОДЗ) для $y$. Во-первых, подкоренное выражение должно быть неотрицательным: $y - 1 \ge 0$, откуда $y \ge 1$. Во-вторых, правая часть уравнения, будучи равной арифметическому квадратному корню, также должна быть неотрицательной: $7 - y \ge 0$, откуда $y \le 7$. Объединив эти условия, получаем ОДЗ: $1 \le y \le 7$.

Возведем обе части уравнения $\sqrt{y - 1} = 7 - y$ в квадрат:

$y - 1 = (7 - y)^2$

$y - 1 = 49 - 14y + y^2$

$y^2 - 15y + 50 = 0$

Решим полученное квадратное уравнение. По теореме Виета, его корни: $y_1 = 5$ и $y_2 = 10$.

Проверим найденные корни на соответствие ОДЗ ($1 \le y \le 7$). Корень $y_1 = 5$ удовлетворяет условию. Корень $y_2 = 10$ не удовлетворяет условию ($10 > 7$), поэтому является посторонним.

Выполним обратную замену для $y = 5$:

$5^x = 5$

$5^x = 5^1$

$x = 1$

Ответ: $1$.

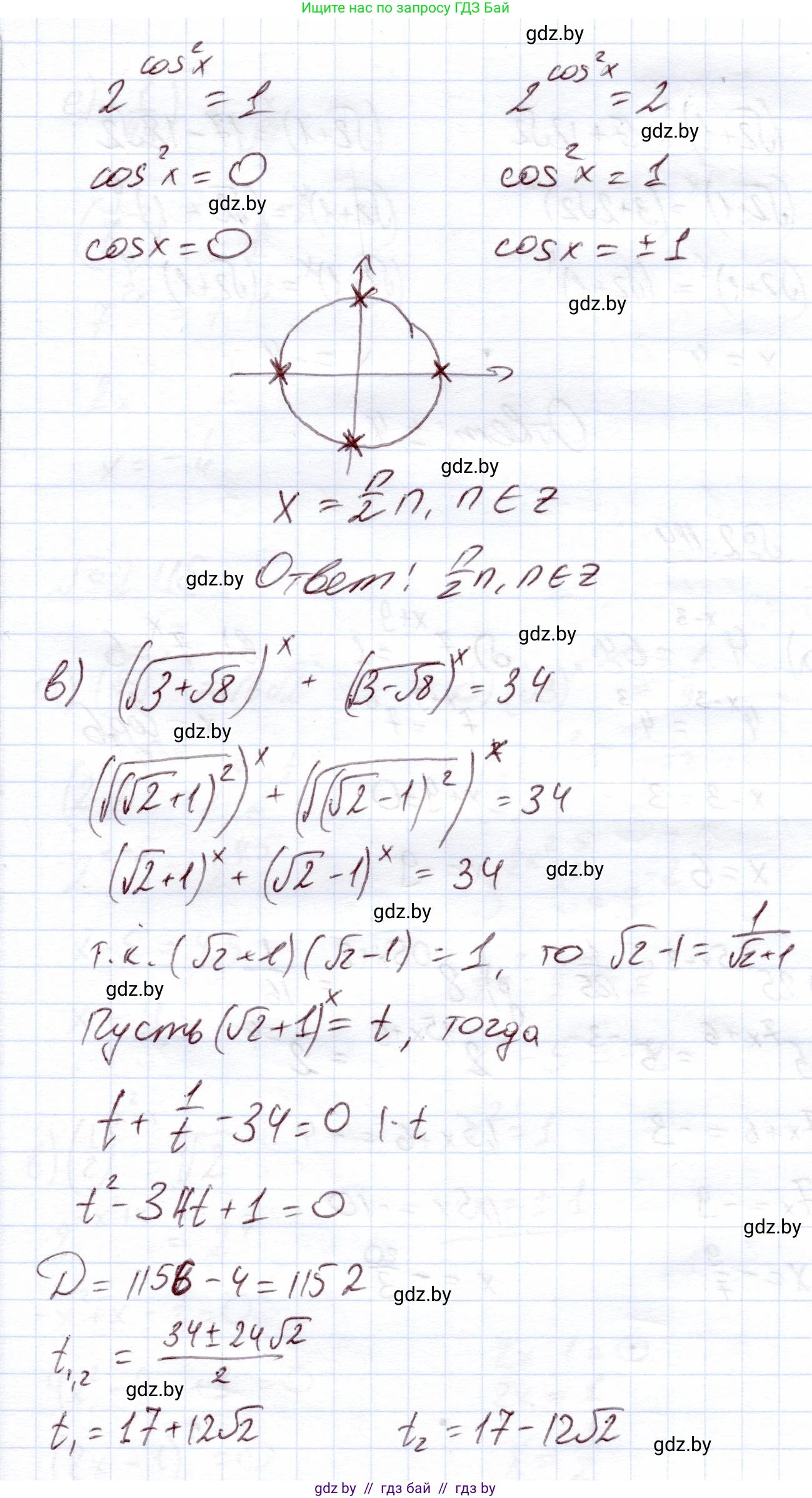
б) $2^{\sin^2 x} + 2^{\cos^2 x} = 3$

Воспользуемся основным тригонометрическим тождеством $\sin^2 x + \cos^2 x = 1$, выразив $\cos^2 x = 1 - \sin^2 x$.

Уравнение примет вид: $2^{\sin^2 x} + 2^{1 - \sin^2 x} = 3$.

Используя свойство степеней $a^{m-n} = a^m/a^n$, перепишем уравнение: $2^{\sin^2 x} + \frac{2}{2^{\sin^2 x}} = 3$.

Введем замену переменной. Пусть $y = 2^{\sin^2 x}$. Поскольку область значений функции $\sin^2 x$ есть отрезок $[0, 1]$, область значений для $y$ будет отрезок $[2^0, 2^1]$, то есть $1 \le y \le 2$.

Подставим $y$ в уравнение:

$y + \frac{2}{y} = 3$

Умножим обе части на $y$ (так как $y \ge 1$, то $y \neq 0$):

$y^2 + 2 = 3y$

$y^2 - 3y + 2 = 0$

Корнями этого квадратного уравнения являются $y_1 = 1$ и $y_2 = 2$. Оба корня принадлежат отрезку $[1, 2]$, значит, оба подходят.

Выполним обратную замену для каждого корня:

1. $y = 1 \implies 2^{\sin^2 x} = 1 \implies 2^{\sin^2 x} = 2^0 \implies \sin^2 x = 0 \implies \sin x = 0$. Решением является $x = \pi n, n \in \mathbb{Z}$.

2. $y = 2 \implies 2^{\sin^2 x} = 2 \implies 2^{\sin^2 x} = 2^1 \implies \sin^2 x = 1 \implies \sin x = \pm 1$. Решением является $x = \frac{\pi}{2} + \pi k, k \in \mathbb{Z}$.

Объединяя эти два множества решений, можно записать ответ в виде $x = \frac{\pi m}{2}, m \in \mathbb{Z}$.

Ответ: $\frac{\pi n}{2}, n \in \mathbb{Z}$.

в) $(\sqrt{3+\sqrt{8}})^x + (\sqrt{3-\sqrt{8}})^x = 34$

Обратим внимание на основания степеней. Они являются сопряженными иррациональными выражениями. Найдем их произведение:

$(\sqrt{3+\sqrt{8}})(\sqrt{3-\sqrt{8}}) = \sqrt{(3+\sqrt{8})(3-\sqrt{8})} = \sqrt{3^2 - (\sqrt{8})^2} = \sqrt{9-8} = \sqrt{1} = 1$.

Поскольку произведение оснований равно 1, они являются взаимообратными числами: $\sqrt{3-\sqrt{8}} = \frac{1}{\sqrt{3+\sqrt{8}}}$.

Введем замену переменной. Пусть $y = (\sqrt{3+\sqrt{8}})^x$. Тогда $(\sqrt{3-\sqrt{8}})^x = \frac{1}{y}$.

Уравнение принимает вид: $y + \frac{1}{y} = 34$.

Так как $y > 0$, умножим обе части на $y$:

$y^2 + 1 = 34y$

$y^2 - 34y + 1 = 0$

Решим квадратное уравнение. Дискриминант $D = (-34)^2 - 4(1)(1) = 1156 - 4 = 1152$.

$\sqrt{D} = \sqrt{1152} = \sqrt{576 \cdot 2} = 24\sqrt{2}$.

Корни уравнения: $y_{1,2} = \frac{34 \pm 24\sqrt{2}}{2} = 17 \pm 12\sqrt{2}$.

Выполним обратную замену. Для удобства упростим выражение $\sqrt{3+\sqrt{8}}$ по формуле сложного радикала или выделив полный квадрат: $\sqrt{3+\sqrt{8}} = \sqrt{3+2\sqrt{2}} = \sqrt{1^2+2\sqrt{2}+(\sqrt{2})^2} = \sqrt{(1+\sqrt{2})^2} = 1+\sqrt{2}$.

Итак, $y = (\sqrt{2}+1)^x$.

1. $(\sqrt{2}+1)^x = 17+12\sqrt{2}$. Заметим, что $(\sqrt{2}+1)^2 = 3+2\sqrt{2}$, а $(\sqrt{2}+1)^4 = (3+2\sqrt{2})^2 = 9+12\sqrt{2}+8=17+12\sqrt{2}$. Отсюда, $(\sqrt{2}+1)^x = (\sqrt{2}+1)^4$, значит $x=4$.

2. $(\sqrt{2}+1)^x = 17-12\sqrt{2}$. Так как $17-12\sqrt{2} = \frac{1}{17+12\sqrt{2}} = \frac{1}{(\sqrt{2}+1)^4} = (\sqrt{2}+1)^{-4}$. Отсюда, $(\sqrt{2}+1)^x = (\sqrt{2}+1)^{-4}$, значит $x=-4$.

Ответ: $\pm 4$.

Помогло решение? Оставьте отзыв в комментариях ниже.

Присоединяйтесь к Телеграм-группе @gdz_by_belarus

Присоединиться

Мы подготовили для вас ответ c подробным объяснением домашего задания по алгебре за 11 класс, для упражнения номер 2.113 расположенного на странице 74 к учебнику 2020 года издания для учащихся школ и гимназий.

Теперь на нашем сайте ГДЗ.ТОП вы всегда легко и бесплатно найдёте условие с правильным ответом на вопрос «Как решить ДЗ» и «Как сделать» задание по алгебре к упражнению №2.113 (с. 74), авторов: Арефьева (Ирина Глебовна), Пирютко (Ольга Николаевна), учебного пособия издательства Народная асвета.