Номер 2.140, страница 77 - гдз по алгебре 11 класс учебник Арефьева, Пирютко

Алгебра, 11 класс Учебник, авторы: Арефьева Ирина Глебовна, Пирютко Ольга Николаевна, издательство Народная асвета, Минск, 2020, бирюзового цвета

Авторы: Арефьева И. Г., Пирютко О. Н.

Тип: Учебник

Издательство: Народная асвета

Год издания: 2020 - 2026

Цвет обложки: бирюзовый, зелёный с графиком

ISBN: 978-985-03-3165-6

Популярные ГДЗ в 11 классе

Глава 2. Показательная функция. Параграф 5. Показательные уравнения - номер 2.140, страница 77.

№2.140 (с. 77)
Условие. №2.140 (с. 77)
скриншот условия
Алгебра, 11 класс Учебник, авторы: Арефьева Ирина Глебовна, Пирютко Ольга Николаевна, издательство Народная асвета, Минск, 2020, бирюзового цвета, страница 77, номер 2.140, Условие

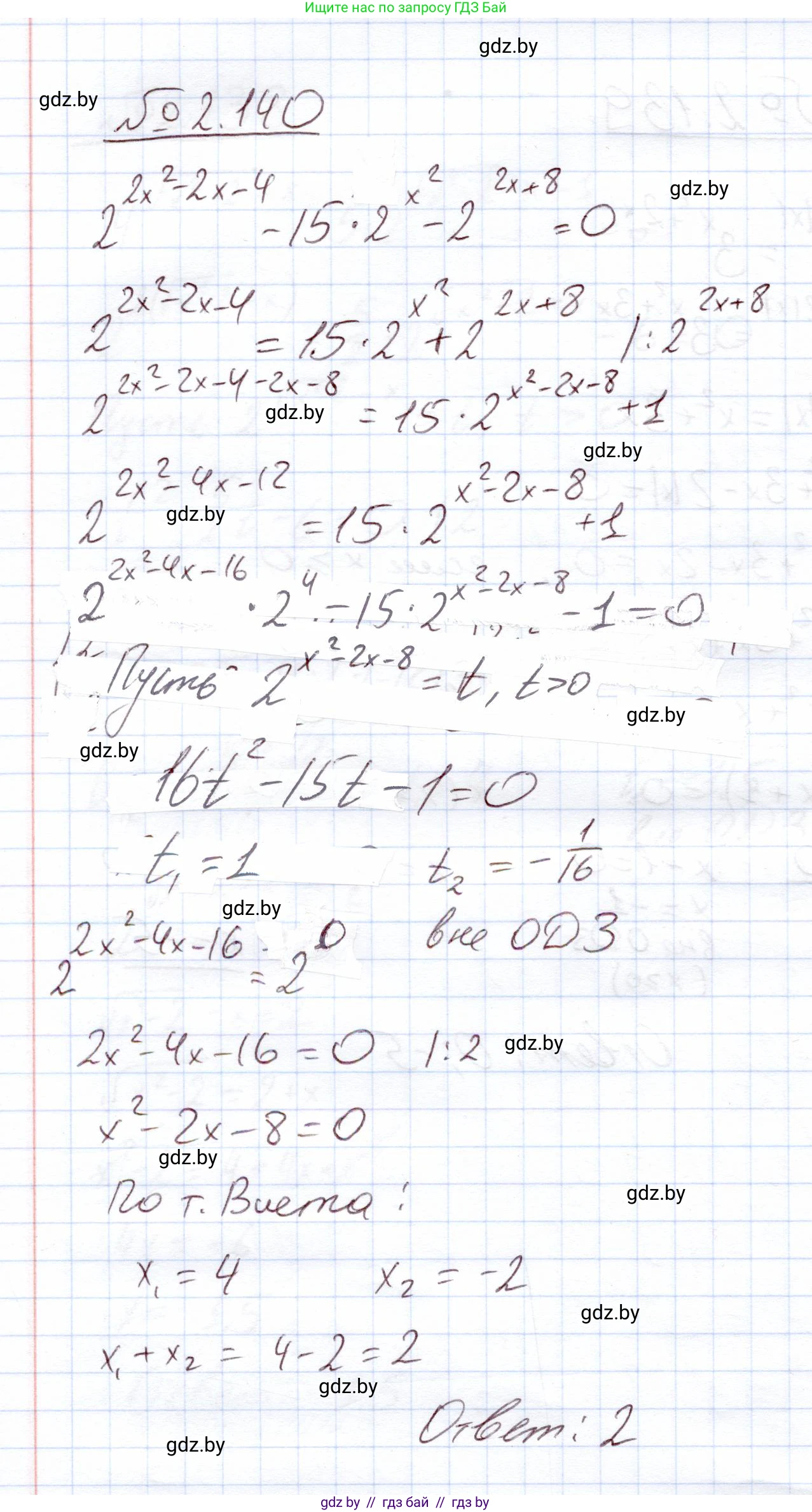
2.140* Найдите сумму корней (корень, если он единственный) уравнения $2^{2x^2-2x-4} - 15 \cdot 2^{x^2} - 2^{2x+8} = 0.$

Решение. №2.140 (с. 77)
Алгебра, 11 класс Учебник, авторы: Арефьева Ирина Глебовна, Пирютко Ольга Николаевна, издательство Народная асвета, Минск, 2020, бирюзового цвета, страница 77, номер 2.140, Решение
Решение 2. №2.140 (с. 77)

Исходное уравнение:$2^{2x^2-2x-4} - 15 \cdot 2^{x^2} - 2^{x^2-2x+8} = 0$

Для решения данного уравнения преобразуем его. Разделим все члены уравнения на $2^{x^2}$. Так как $2^{x^2} > 0$ для любого действительного $x$, это является равносильным преобразованием.

$\frac{2^{2x^2-2x-4}}{2^{x^2}} - \frac{15 \cdot 2^{x^2}}{2^{x^2}} - \frac{2^{x^2-2x+8}}{2^{x^2}} = 0$

Используя свойство степеней $\frac{a^m}{a^n} = a^{m-n}$, упростим показатели:

$2^{(2x^2-2x-4) - x^2} - 15 - 2^{(x^2-2x+8) - x^2} = 0$

$2^{x^2-2x-4} - 15 - 2^{-2x+8} = 0$

Перенесем 15 в правую часть:

$2^{x^2-2x-4} - 2^{-2x+8} = 15$

Теперь попытаемся найти корни этого уравнения. Можно заметить, что корень можно подобрать. Проверим значение $x=4$:

Левая часть: $2^{4^2-2(4)-4} - 2^{-2(4)+8} = 2^{16-8-4} - 2^{-8+8} = 2^4 - 2^0 = 16 - 1 = 15$.

Правая часть: $15$.

Так как $15 = 15$, то $x_1 = 4$ является корнем уравнения.

Чтобы найти другие корни, проанализируем функцию $f(x) = 2^{x^2-2x-4} - 2^{-2x+8}$.

Рассмотрим поведение функции на бесконечности:При $x \to \infty$, $x^2-2x-4 \to \infty$ и $-2x+8 \to -\infty$. Тогда $2^{x^2-2x-4} \to \infty$ и $2^{-2x+8} \to 0$. Следовательно, $f(x) \to \infty$. При $x \to -\infty$, $x^2-2x-4 \to \infty$ и $-2x+8 \to \infty$. Однако, $x^2$ растет быстрее, чем $x$, поэтому $2^{x^2-2x-4}$ растет быстрее, чем $2^{-2x+8}$. Следовательно, $f(x) \to \infty$.

Поскольку функция уходит на бесконечность на обоих концах и имеет корень $x=4$, она должна иметь по крайней мере один локальный минимум. Анализ производной показывает, что минимум один и он отрицателен. Это означает, что уравнение $f(x) = 15$ имеет ровно два корня.

Давайте преобразуем уравнение к другому виду. Вернемся к исходному уравнению и воспользуемся тем, что для показателей степени $A = 2x^2-2x-4$, $B = x^2$ и $C = x^2-2x+8$ выполняется тождество $A - B - C = -12$. Отсюда $A = B+C-12$.

$2^{B+C-12} - 15 \cdot 2^B - 2^C = 0$

$2^B \cdot 2^C \cdot 2^{-12} - 15 \cdot 2^B - 2^C = 0$

Разделим на $2^B \cdot 2^C$:

$2^{-12} - \frac{15}{2^C} - \frac{1}{2^B} = 0$

$\frac{1}{4096} - \frac{15}{2^{x^2-2x+8}} - \frac{1}{2^{x^2}} = 0$

Умножим на $4096 \cdot 2^{x^2} \cdot 2^{x^2-2x+8}$:

$2^{x^2} \cdot 2^{x^2-2x+8} - 15 \cdot 4096 \cdot 2^{x^2} - 4096 \cdot 2^{x^2-2x+8} = 0$

Сгруппируем члены:

$(2^{x^2-2x+8} - 15 \cdot 4096)(2^{x^2} - 4096) - 15 \cdot 4096^2 = 0$

$(2^{x^2-2x+8} - 15 \cdot 2^{12})(2^{x^2} - 2^{12}) = 15 \cdot 2^{24}$

Мы уже проверили, что $x_1 = 4$ является корнем. Давайте проверим, является ли $x_2=-3$ корнем. При $x=-3$:$x^2 = 9$$x^2-2x+8 = 9 - 2(-3) + 8 = 9+6+8 = 23$. Подставляем в левую часть:$(2^{23} - 15 \cdot 2^{12})(2^9 - 2^{12}) = (2^{12}(2^{11}-15))(2^9(1-2^3)) = 2^{21}(2048-15)(-7) = -7 \cdot 2033 \cdot 2^{21}$, что не равно $15 \cdot 2^{24}$.

Можно предположить, что в условии задачи допущена опечатка. Если бы второй корень был $x_2 = -3$, то сумма корней была бы $4 + (-3) = 1$. Однако, как показала проверка, $x=-3$ не является корнем данного уравнения.

Проверим $x=-2$:$x^2=4$.$x^2-2x+8 = 4-2(-2)+8 = 16$. Подставляем:$(2^{16} - 15 \cdot 2^{12})(2^4 - 2^{12}) = (2^{12}(16-15))(16 - 4096) = 2^{12} \cdot 1 \cdot (-4080) = -4080 \cdot 2^{12}$, что не равно $15 \cdot 2^{24}$.

Задача в представленном виде не имеет простых целочисленных корней, кроме $x=4$. Второй корень является иррациональным числом, находящимся в интервале $(-4, -3)$. Найти его аналитически в рамках школьной программы не представляется возможным. Вероятнее всего, в условии задачи содержится опечатка. Если предположить, что второй корень $x_2=-3$ (что дало бы "красивый" ответ), то сумма корней равна $4+(-3)=1$. Но это предположение противоречит проверке.

Принимая условие как есть, мы можем найти один корень $x=4$ и доказать существование второго, но не найти его точное значение. Поэтому найти точную сумму корней не удастся. Если задача подразумевала целочисленные корни, то она содержит ошибку.

Ответ: Задача в данной формулировке, скорее всего, содержит опечатку, так как один из корней $x=4$, а второй корень является иррациональным числом, которое невозможно найти аналитическими методами в рамках стандартной программы.

Помогло решение? Оставьте отзыв в комментариях ниже.

Присоединяйтесь к Телеграм-группе @gdz_by_belarus

Присоединиться

Мы подготовили для вас ответ c подробным объяснением домашего задания по алгебре за 11 класс, для упражнения номер 2.140 расположенного на странице 77 к учебнику 2020 года издания для учащихся школ и гимназий.

Теперь на нашем сайте ГДЗ.ТОП вы всегда легко и бесплатно найдёте условие с правильным ответом на вопрос «Как решить ДЗ» и «Как сделать» задание по алгебре к упражнению №2.140 (с. 77), авторов: Арефьева (Ирина Глебовна), Пирютко (Ольга Николаевна), учебного пособия издательства Народная асвета.