Номер 2.145, страница 78 - гдз по алгебре 11 класс учебник Арефьева, Пирютко

Алгебра, 11 класс Учебник, авторы: Арефьева Ирина Глебовна, Пирютко Ольга Николаевна, издательство Народная асвета, Минск, 2020, бирюзового цвета

Авторы: Арефьева И. Г., Пирютко О. Н.

Тип: Учебник

Издательство: Народная асвета

Год издания: 2020 - 2026

Цвет обложки: бирюзовый, зелёный с графиком

ISBN: 978-985-03-3165-6

Популярные ГДЗ в 11 классе

Глава 2. Показательная функция. Параграф 5. Показательные уравнения - номер 2.145, страница 78.

№2.145 (с. 78)
Условие. №2.145 (с. 78)
скриншот условия
Алгебра, 11 класс Учебник, авторы: Арефьева Ирина Глебовна, Пирютко Ольга Николаевна, издательство Народная асвета, Минск, 2020, бирюзового цвета, страница 78, номер 2.145, Условие

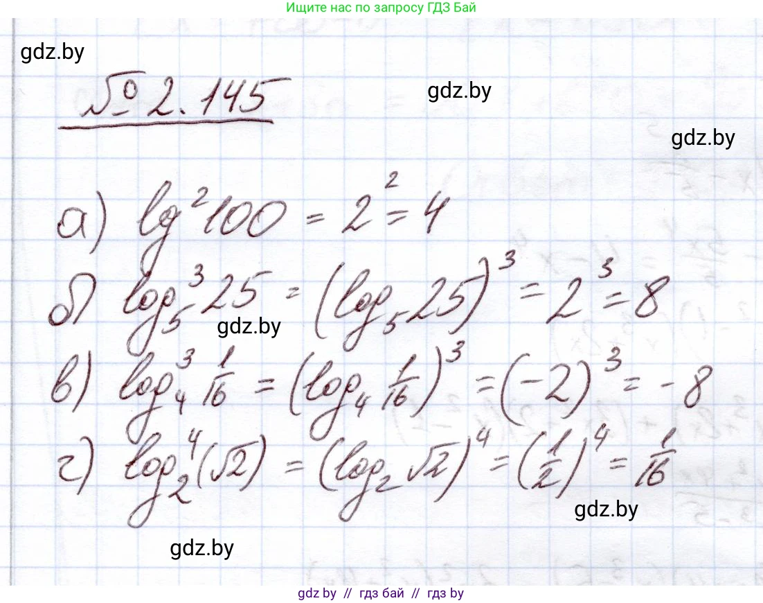
2.145. Вычислите:

а) $ \lg^2 100 $;

б) $ (\log_5 25)^3 $;

в) $ (\log_4 \frac{1}{16})^3 $;

г) $ (\log_2 \sqrt{2})^4 $.

Решение. №2.145 (с. 78)
Алгебра, 11 класс Учебник, авторы: Арефьева Ирина Глебовна, Пирютко Ольга Николаевна, издательство Народная асвета, Минск, 2020, бирюзового цвета, страница 78, номер 2.145, Решение
Решение 2. №2.145 (с. 78)

а) $\lg^2 100$

Выражение $\lg^2 100$ является сокращенной записью для $(\lg 100)^2$. Сначала вычислим значение десятичного логарифма (логарифма по основанию 10).

Десятичный логарифм $\lg 100$ — это степень, в которую нужно возвести число 10, чтобы получить 100. Так как $10^2 = 100$, то:

$\lg 100 = \log_{10} 100 = 2$

Теперь возведем полученный результат в квадрат:

$(\lg 100)^2 = 2^2 = 4$

Ответ: 4

б) $\log_5^3 25$

Данное выражение означает $(\log_5 25)^3$. Сначала вычислим значение логарифма по основанию 5.

Логарифм $\log_5 25$ — это степень, в которую нужно возвести число 5, чтобы получить 25. Так как $5^2 = 25$, то:

$\log_5 25 = 2$

Теперь возведем полученный результат в куб:

$(\log_5 25)^3 = 2^3 = 8$

Ответ: 8

в) $\log_4^3 \frac{1}{16}$

Данное выражение означает $(\log_4 \frac{1}{16})^3$. Сначала вычислим значение логарифма по основанию 4.

Логарифм $\log_4 \frac{1}{16}$ — это степень, в которую нужно возвести число 4, чтобы получить $\frac{1}{16}$. Представим $\frac{1}{16}$ как степень числа 4:

$\frac{1}{16} = \frac{1}{4^2} = 4^{-2}$

Следовательно:

$\log_4 \frac{1}{16} = \log_4 4^{-2} = -2$

Теперь возведем полученный результат в куб:

$(\log_4 \frac{1}{16})^3 = (-2)^3 = -8$

Ответ: -8

г) $\log_2^4 \sqrt[4]{2}$

Данное выражение означает $(\log_2 \sqrt[4]{2})^4$. Сначала вычислим значение логарифма по основанию 2.

Логарифм $\log_2 \sqrt[4]{2}$ — это степень, в которую нужно возвести число 2, чтобы получить $\sqrt[4]{2}$. Представим $\sqrt[4]{2}$ как степень числа 2, используя свойство корня $ \sqrt[n]{a} = a^{\frac{1}{n}} $:

$\sqrt[4]{2} = 2^{\frac{1}{4}}$

Следовательно:

$\log_2 \sqrt[4]{2} = \log_2 2^{\frac{1}{4}} = \frac{1}{4}$

Теперь возведем полученный результат в четвертую степень:

$(\log_2 \sqrt[4]{2})^4 = (\frac{1}{4})^4 = \frac{1^4}{4^4} = \frac{1}{256}$

Ответ: $\frac{1}{256}$

Помогло решение? Оставьте отзыв в комментариях ниже.

Присоединяйтесь к Телеграм-группе @gdz_by_belarus

Присоединиться

Мы подготовили для вас ответ c подробным объяснением домашего задания по алгебре за 11 класс, для упражнения номер 2.145 расположенного на странице 78 к учебнику 2020 года издания для учащихся школ и гимназий.

Теперь на нашем сайте ГДЗ.ТОП вы всегда легко и бесплатно найдёте условие с правильным ответом на вопрос «Как решить ДЗ» и «Как сделать» задание по алгебре к упражнению №2.145 (с. 78), авторов: Арефьева (Ирина Глебовна), Пирютко (Ольга Николаевна), учебного пособия издательства Народная асвета.