Номер 2.171, страница 90 - гдз по алгебре 11 класс учебник Арефьева, Пирютко

Алгебра, 11 класс Учебник, авторы: Арефьева Ирина Глебовна, Пирютко Ольга Николаевна, издательство Народная асвета, Минск, 2020, бирюзового цвета

Авторы: Арефьева И. Г., Пирютко О. Н.

Тип: Учебник

Издательство: Народная асвета

Год издания: 2020 - 2026

Цвет обложки: бирюзовый, зелёный с графиком

ISBN: 978-985-03-3165-6

Популярные ГДЗ в 11 классе

Глава 2. Показательная функция. Параграф 6. Показательные неравенства - номер 2.171, страница 90.

№2.171 (с. 90)
Условие. №2.171 (с. 90)
скриншот условия
Алгебра, 11 класс Учебник, авторы: Арефьева Ирина Глебовна, Пирютко Ольга Николаевна, издательство Народная асвета, Минск, 2020, бирюзового цвета, страница 90, номер 2.171, Условие

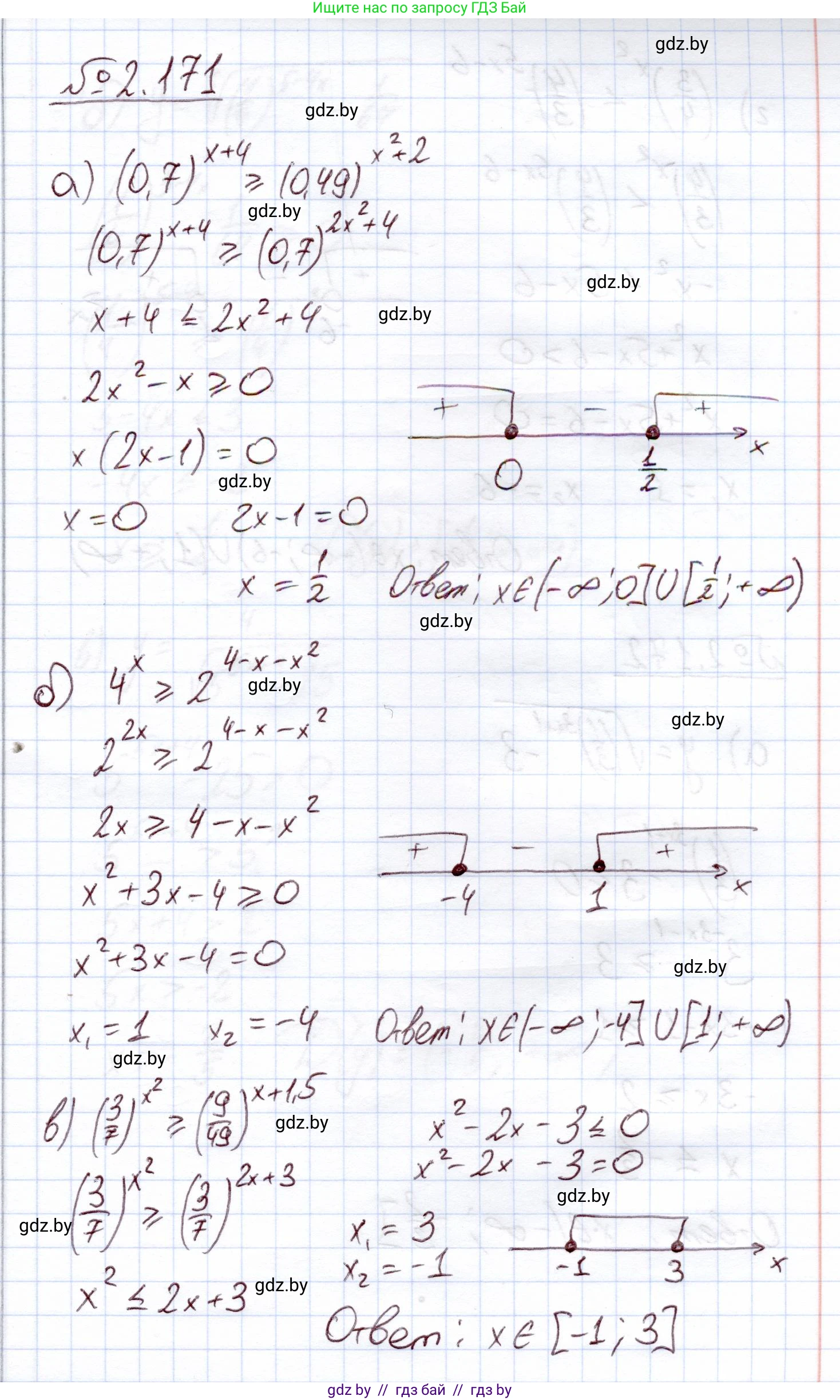
2.171. Решите неравенство:

а) $(0,7)^{x+4} \ge (0,49)^{x^2+2};$

б) $4^x \ge 2^{4-x-x^2};$

в) $(\frac{3}{7})^{x^2} \ge (\frac{9}{49})^{x+1,5};$

г) $(\frac{3}{4})^{x^2} < (\frac{4}{3})^{5x-6}.$

Решение. №2.171 (с. 90)
Алгебра, 11 класс Учебник, авторы: Арефьева Ирина Глебовна, Пирютко Ольга Николаевна, издательство Народная асвета, Минск, 2020, бирюзового цвета, страница 90, номер 2.171, Решение Алгебра, 11 класс Учебник, авторы: Арефьева Ирина Глебовна, Пирютко Ольга Николаевна, издательство Народная асвета, Минск, 2020, бирюзового цвета, страница 90, номер 2.171, Решение (продолжение 2)
Решение 2. №2.171 (с. 90)

а)Приведем обе части неравенства $(0,7)^{x+4} \ge (0,49)^{x^2+2}$ к одному основанию. Так как $0,49 = (0,7)^2$, неравенство принимает вид:$(0,7)^{x+4} \ge ((0,7)^2)^{x^2+2}$$(0,7)^{x+4} \ge (0,7)^{2x^2+4}$Поскольку основание степени $0,7$ меньше 1 ($0,7 < 1$), показательная функция является убывающей. Следовательно, при переходе к неравенству для показателей знак неравенства меняется на противоположный:$x+4 \le 2x^2+4$$0 \le 2x^2 - x$$x(2x-1) \ge 0$Решим это квадратное неравенство. Корни уравнения $x(2x-1) = 0$ равны $x_1 = 0$ и $x_2 = 0,5$. Графиком функции $y=2x^2-x$ является парабола, ветви которой направлены вверх. Неравенство $y \ge 0$ выполняется, когда $x$ находится вне интервала между корнями (включая концы). Таким образом, решением является $x \in (-\infty, 0] \cup [0,5; +\infty)$.
Ответ: $x \in (-\infty, 0] \cup [0,5; +\infty)$.

б)Приведем обе части неравенства $4^x \ge 2^{4-x-x^2}$ к основанию $2$. Так как $4 = 2^2$, получаем:$(2^2)^x \ge 2^{4-x-x^2}$$2^{2x} \ge 2^{4-x-x^2}$Так как основание $2$ больше 1 ($2 > 1$), показательная функция является возрастающей, и знак неравенства для показателей сохраняется:$2x \ge 4-x-x^2$Перенесем все члены в левую часть и приведем подобные:$x^2 + 2x + x - 4 \ge 0$$x^2 + 3x - 4 \ge 0$Найдем корни квадратного уравнения $x^2 + 3x - 4 = 0$. По теореме Виета, корни $x_1 = -4$ и $x_2 = 1$. Парабола $y = x^2 + 3x - 4$ имеет ветви, направленные вверх, поэтому неравенство $y \ge 0$ выполняется для значений $x$ вне интервала между корнями. Решение неравенства: $x \in (-\infty, -4] \cup [1; +\infty)$.
Ответ: $x \in (-\infty, -4] \cup [1; +\infty)$.

в)Приведем неравенство $(\frac{3}{7})^{x^2} \ge (\frac{9}{49})^{x+1,5}$ к общему основанию $\frac{3}{7}$. Так как $\frac{9}{49} = (\frac{3}{7})^2$, получаем:$(\frac{3}{7})^{x^2} \ge ((\frac{3}{7})^2)^{x+1,5}$$(\frac{3}{7})^{x^2} \ge (\frac{3}{7})^{2x+3}$Основание $\frac{3}{7}$ меньше 1, поэтому показательная функция убывающая. Знак неравенства для показателей меняется на противоположный:$x^2 \le 2x+3$$x^2 - 2x - 3 \le 0$Найдем корни уравнения $x^2 - 2x - 3 = 0$. По теореме Виета, $x_1 = -1$ и $x_2 = 3$. Парабола $y = x^2 - 2x - 3$ имеет ветви вверх, поэтому неравенство $y \le 0$ выполняется на отрезке между корнями. Решение: $x \in [-1, 3]$.
Ответ: $x \in [-1; 3]$.

г)Преобразуем неравенство $(\frac{3}{4})^{x^2} < (\frac{4}{3})^{5x-6}$, приведя обе части к основанию $\frac{3}{4}$. Так как $\frac{4}{3} = (\frac{3}{4})^{-1}$, имеем:$(\frac{3}{4})^{x^2} < ((\frac{3}{4})^{-1})^{5x-6}$$(\frac{3}{4})^{x^2} < (\frac{3}{4})^{-5x+6}$Основание $\frac{3}{4}$ меньше 1, поэтому при переходе к показателям знак неравенства меняется:$x^2 > -5x+6$$x^2 + 5x - 6 > 0$Найдем корни уравнения $x^2 + 5x - 6 = 0$. По теореме Виета, $x_1 = -6$ и $x_2 = 1$. Парабола $y = x^2 + 5x - 6$ имеет ветви вверх, поэтому неравенство $y > 0$ (строгое) выполняется для $x$ вне интервала между корнями. Решение: $x \in (-\infty, -6) \cup (1, +\infty)$.
Ответ: $x \in (-\infty, -6) \cup (1, +\infty)$.

Помогло решение? Оставьте отзыв в комментариях ниже.

Присоединяйтесь к Телеграм-группе @gdz_by_belarus

Присоединиться

Мы подготовили для вас ответ c подробным объяснением домашего задания по алгебре за 11 класс, для упражнения номер 2.171 расположенного на странице 90 к учебнику 2020 года издания для учащихся школ и гимназий.

Теперь на нашем сайте ГДЗ.ТОП вы всегда легко и бесплатно найдёте условие с правильным ответом на вопрос «Как решить ДЗ» и «Как сделать» задание по алгебре к упражнению №2.171 (с. 90), авторов: Арефьева (Ирина Глебовна), Пирютко (Ольга Николаевна), учебного пособия издательства Народная асвета.