Номер 2.173, страница 91 - гдз по алгебре 11 класс учебник Арефьева, Пирютко

Алгебра, 11 класс Учебник, авторы: Арефьева Ирина Глебовна, Пирютко Ольга Николаевна, издательство Народная асвета, Минск, 2020, бирюзового цвета

Авторы: Арефьева И. Г., Пирютко О. Н.

Тип: Учебник

Издательство: Народная асвета

Год издания: 2020 - 2026

Цвет обложки: бирюзовый, зелёный с графиком

ISBN: 978-985-03-3165-6

Популярные ГДЗ в 11 классе

Глава 2. Показательная функция. Параграф 6. Показательные неравенства - номер 2.173, страница 91.

№2.173 (с. 91)
Условие. №2.173 (с. 91)
скриншот условия
Алгебра, 11 класс Учебник, авторы: Арефьева Ирина Глебовна, Пирютко Ольга Николаевна, издательство Народная асвета, Минск, 2020, бирюзового цвета, страница 91, номер 2.173, Условие

2.173. Решите неравенство, выполнив преобразования степеней:

а) $\frac{1}{8} \cdot 4^{2x-1} > (\sqrt{2})^{10};$

б) $81^x - \frac{1}{3} \cdot 27^{2x+1} \leq 0;$

в) $\sqrt{5} : 5^{3x} \geq \frac{1}{5};$

г) $(1,4)^{3x} \cdot \left(\frac{5}{7}\right)^{2x+3} - \frac{49}{25} > 0;$

д) $2^{x^2+3x} > 8 \cdot 2^x;$

е) $\sqrt{27} : 3^{6x^2} \geq 9^{4x}.$

Решение. №2.173 (с. 91)
Алгебра, 11 класс Учебник, авторы: Арефьева Ирина Глебовна, Пирютко Ольга Николаевна, издательство Народная асвета, Минск, 2020, бирюзового цвета, страница 91, номер 2.173, Решение Алгебра, 11 класс Учебник, авторы: Арефьева Ирина Глебовна, Пирютко Ольга Николаевна, издательство Народная асвета, Минск, 2020, бирюзового цвета, страница 91, номер 2.173, Решение (продолжение 2)
Решение 2. №2.173 (с. 91)

а) $\frac{1}{8} \cdot 4^{2x-1} > (\sqrt{2})^{10}$

Приведем обе части неравенства к основанию 2. Для этого представим каждый множитель в виде степени с основанием 2:

$\frac{1}{8} = \frac{1}{2^3} = 2^{-3}$

$4^{2x-1} = (2^2)^{2x-1} = 2^{2(2x-1)} = 2^{4x-2}$

$(\sqrt{2})^{10} = (2^{1/2})^{10} = 2^{10/2} = 2^5$

Подставим эти выражения в исходное неравенство:

$2^{-3} \cdot 2^{4x-2} > 2^5$

Используя свойство степеней $a^m \cdot a^n = a^{m+n}$, упростим левую часть:

$2^{-3+4x-2} > 2^5$

$2^{4x-5} > 2^5$

Так как основание степени $2 > 1$, то при переходе к неравенству для показателей степеней знак неравенства сохраняется:

$4x-5 > 5$

$4x > 10$

$x > \frac{10}{4}$

$x > 2,5$

Ответ: $x \in (2,5; +\infty)$.

б) $81^x - \frac{1}{3} \cdot 27^{2x+1} \le 0$

Перенесем второе слагаемое в правую часть неравенства:

$81^x \le \frac{1}{3} \cdot 27^{2x+1}$

Приведем обе части неравенства к основанию 3:

$81 = 3^4$, $27=3^3$, $\frac{1}{3}=3^{-1}$

Подставим эти значения в неравенство:

$(3^4)^x \le 3^{-1} \cdot (3^3)^{2x+1}$

$3^{4x} \le 3^{-1} \cdot 3^{3(2x+1)}$

$3^{4x} \le 3^{-1} \cdot 3^{6x+3}$

$3^{4x} \le 3^{-1+6x+3}$

$3^{4x} \le 3^{6x+2}$

Так как основание степени $3 > 1$, знак неравенства сохраняется:

$4x \le 6x+2$

$4x - 6x \le 2$

$-2x \le 2$

При делении на отрицательное число (-2) знак неравенства меняется на противоположный:

$x \ge -1$

Ответ: $x \in [-1; +\infty)$.

в) $\sqrt{5} : 5^{3x} \ge \frac{1}{5}$

Знак ":" обозначает деление. Перепишем неравенство и приведем все его члены к основанию 5:

$\frac{\sqrt{5}}{5^{3x}} \ge \frac{1}{5}$

$\sqrt{5}=5^{1/2}$, $\frac{1}{5} = 5^{-1}$

$\frac{5^{1/2}}{5^{3x}} \ge 5^{-1}$

Используя свойство степеней $\frac{a^m}{a^n} = a^{m-n}$, упростим левую часть:

$5^{1/2 - 3x} \ge 5^{-1}$

Так как основание степени $5 > 1$, знак неравенства сохраняется:

$\frac{1}{2} - 3x \ge -1$

$-3x \ge -1 - \frac{1}{2}$

$-3x \ge -\frac{3}{2}$

Разделим обе части на -3, изменив знак неравенства:

$x \le \frac{-3/2}{-3}$

$x \le \frac{1}{2}$

Ответ: $x \in (-\infty; 0,5]$.

г) $(1,4)^{3x} \cdot (\frac{5}{7})^{2x+3} - \frac{49}{25} > 0$

Перенесем свободный член в правую часть и приведем все к общему основанию:

$(1,4)^{3x} \cdot (\frac{5}{7})^{2x+3} > \frac{49}{25}$

Заметим, что $1,4 = \frac{14}{10} = \frac{7}{5}$. Также $\frac{5}{7} = (\frac{7}{5})^{-1}$ и $\frac{49}{25} = (\frac{7}{5})^2$.

Подставим эти выражения в неравенство:

$(\frac{7}{5})^{3x} \cdot ((\frac{7}{5})^{-1})^{2x+3} > (\frac{7}{5})^2$

$(\frac{7}{5})^{3x} \cdot (\frac{7}{5})^{-(2x+3)} > (\frac{7}{5})^2$

$(\frac{7}{5})^{3x - (2x+3)} > (\frac{7}{5})^2$

$(\frac{7}{5})^{3x - 2x - 3} > (\frac{7}{5})^2$

$(\frac{7}{5})^{x-3} > (\frac{7}{5})^2$

Так как основание степени $\frac{7}{5} = 1,4 > 1$, знак неравенства сохраняется:

$x-3 > 2$

$x > 5$

Ответ: $x \in (5; +\infty)$.

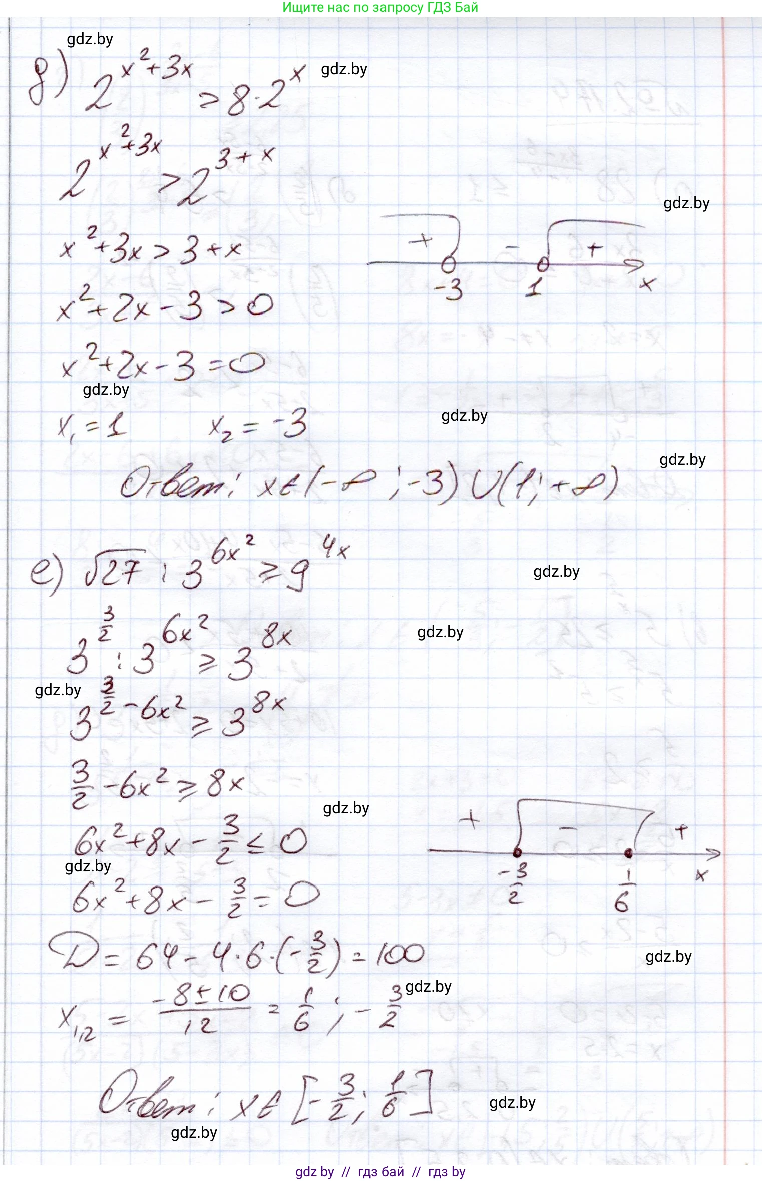
д) $2^{x^2+3x} > 8 \cdot 2^x$

Приведем правую часть к основанию 2:

$8 \cdot 2^x = 2^3 \cdot 2^x = 2^{x+3}$

Неравенство принимает вид:

$2^{x^2+3x} > 2^{x+3}$

Так как основание $2 > 1$, знак неравенства сохраняется:

$x^2+3x > x+3$

Переносим все члены влево и решаем квадратное неравенство:

$x^2+2x-3 > 0$

Найдем корни соответствующего уравнения $x^2+2x-3=0$. По теореме Виета, корни $x_1 = 1$ и $x_2 = -3$.

Графиком функции $y = x^2+2x-3$ является парабола, ветви которой направлены вверх. Значения функции положительны при $x$ левее меньшего корня и правее большего корня.

Следовательно, $x < -3$ или $x > 1$.

Ответ: $x \in (-\infty; -3) \cup (1; +\infty)$.

е) $\sqrt{27} : 3^{6x^2} \ge 9^{4x}$

Знак ":" означает деление. Приведем все члены неравенства к основанию 3:

$\sqrt{27} = \sqrt{3^3} = 3^{3/2}$

$9^{4x} = (3^2)^{4x} = 3^{8x}$

Неравенство принимает вид:

$\frac{3^{3/2}}{3^{6x^2}} \ge 3^{8x}$

$3^{3/2 - 6x^2} \ge 3^{8x}$

Так как основание $3 > 1$, знак неравенства сохраняется:

$\frac{3}{2} - 6x^2 \ge 8x$

Перенесем все члены в одну сторону, чтобы получить квадратное неравенство:

$0 \ge 6x^2 + 8x - \frac{3}{2}$

$12x^2 + 16x - 3 \le 0$ (умножили на 2 для удобства)

Найдем корни уравнения $12x^2 + 16x - 3 = 0$ с помощью дискриминанта:

$D = 16^2 - 4 \cdot 12 \cdot (-3) = 256 + 144 = 400 = 20^2$

$x_{1,2} = \frac{-16 \pm 20}{2 \cdot 12} = \frac{-16 \pm 20}{24}$

$x_1 = \frac{-16 - 20}{24} = \frac{-36}{24} = -\frac{3}{2}$

$x_2 = \frac{-16 + 20}{24} = \frac{4}{24} = \frac{1}{6}$

Графиком функции $y = 12x^2 + 16x - 3$ является парабола с ветвями вверх. Неравенство $y \le 0$ выполняется на отрезке между корнями.

$-\frac{3}{2} \le x \le \frac{1}{6}$

Ответ: $x \in [-\frac{3}{2}; \frac{1}{6}]$.

Помогло решение? Оставьте отзыв в комментариях ниже.

Присоединяйтесь к Телеграм-группе @gdz_by_belarus

Присоединиться

Мы подготовили для вас ответ c подробным объяснением домашего задания по алгебре за 11 класс, для упражнения номер 2.173 расположенного на странице 91 к учебнику 2020 года издания для учащихся школ и гимназий.

Теперь на нашем сайте ГДЗ.ТОП вы всегда легко и бесплатно найдёте условие с правильным ответом на вопрос «Как решить ДЗ» и «Как сделать» задание по алгебре к упражнению №2.173 (с. 91), авторов: Арефьева (Ирина Глебовна), Пирютко (Ольга Николаевна), учебного пособия издательства Народная асвета.