Номер 2.188, страница 92 - гдз по алгебре 11 класс учебник Арефьева, Пирютко

Алгебра, 11 класс Учебник, авторы: Арефьева Ирина Глебовна, Пирютко Ольга Николаевна, издательство Народная асвета, Минск, 2020, бирюзового цвета

Авторы: Арефьева И. Г., Пирютко О. Н.

Тип: Учебник

Издательство: Народная асвета

Год издания: 2020 - 2026

Цвет обложки: бирюзовый, зелёный с графиком

ISBN: 978-985-03-3165-6

Популярные ГДЗ в 11 классе

Глава 2. Показательная функция. Параграф 6. Показательные неравенства - номер 2.188, страница 92.

№2.188 (с. 92)
Условие. №2.188 (с. 92)
скриншот условия
Алгебра, 11 класс Учебник, авторы: Арефьева Ирина Глебовна, Пирютко Ольга Николаевна, издательство Народная асвета, Минск, 2020, бирюзового цвета, страница 92, номер 2.188, Условие

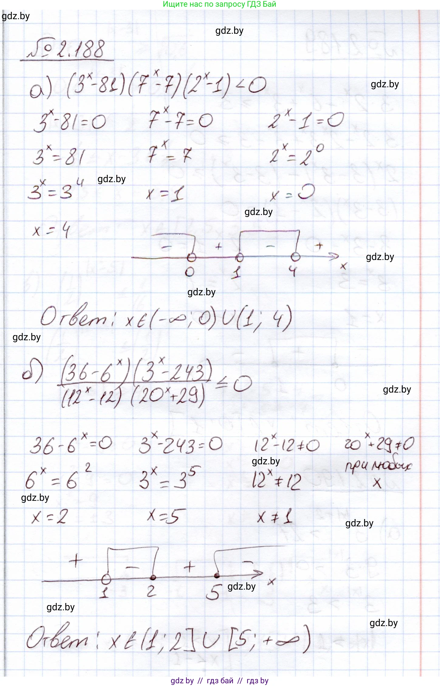
2.188. Решите неравенство:

a) $(3^x - 81)(7^x - 7)(2^x - 1) < 0;$

б) $\frac{(36 - 6^x)(3^x - 243)}{(12^x - 12)(20^x + 29)} \le 0.$

Решение. №2.188 (с. 92)
Алгебра, 11 класс Учебник, авторы: Арефьева Ирина Глебовна, Пирютко Ольга Николаевна, издательство Народная асвета, Минск, 2020, бирюзового цвета, страница 92, номер 2.188, Решение
Решение 2. №2.188 (с. 92)

а) $(3^x - 81)(7^x - 7)(2^x - 1) < 0$

Решим данное неравенство методом интервалов. Для этого найдем нули каждого множителя.

1. $3^x - 81 = 0 \implies 3^x = 81 \implies 3^x = 3^4 \implies x = 4$.

2. $7^x - 7 = 0 \implies 7^x = 7^1 \implies x = 1$.

3. $2^x - 1 = 0 \implies 2^x = 1 \implies 2^x = 2^0 \implies x = 0$.

Полученные точки $x=0$, $x=1$, $x=4$ разбивают числовую прямую на четыре интервала: $(-\infty; 0)$, $(0; 1)$, $(1; 4)$ и $(4; +\infty)$.

Воспользуемся обобщенным методом интервалов (методом рационализации). Поскольку показательные функции с основанием больше 1 ( $y=3^x$, $y=7^x$, $y=2^x$) являются возрастающими, знак выражения вида $a^x - a^b$ совпадает со знаком выражения $x-b$.

Таким образом, исходное неравенство равносильно следующему:

$(x - 4)(x - 1)(x - 0) < 0$

Определим знаки этого выражения на интервалах.

  • При $x > 4$ (например, $x=5$): $(5-4)(5-1)(5) = 1 \cdot 4 \cdot 5 = 20 > 0$. Знак «+».
  • При $1 < x < 4$ (например, $x=2$): $(2-4)(2-1)(2) = (-2) \cdot 1 \cdot 2 = -4 < 0$. Знак «−».
  • При $0 < x < 1$ (например, $x=0.5$): $(0.5-4)(0.5-1)(0.5) = (-3.5) \cdot (-0.5) \cdot 0.5 > 0$. Знак «+».
  • При $x < 0$ (например, $x=-1$): $(-1-4)(-1-1)(-1) = (-5) \cdot (-2) \cdot (-1) = -10 < 0$. Знак «−».

Так как неравенство строгое ($< 0$), нас интересуют интервалы со знаком «−». Это $(-\infty; 0)$ и $(1; 4)$.

Ответ: $x \in (-\infty; 0) \cup (1; 4)$

б) $\frac{(36 - 6^x)(3^x - 243)}{(12^x - 12)(20^x + 29)} \le 0$

Рассмотрим каждый множитель в неравенстве.

Множитель в знаменателе $(20^x + 29)$ всегда положителен, так как $20^x > 0$ для любого $x$, и прибавление положительного числа 29 оставляет выражение положительным. Следовательно, мы можем разделить обе части неравенства на $(20^x + 29)$, не меняя знака неравенства.

Неравенство принимает вид:

$\frac{(36 - 6^x)(3^x - 243)}{12^x - 12} \le 0$

Представим числа в виде степеней с соответствующими основаниями:

$\frac{(6^2 - 6^x)(3^x - 3^5)}{12^x - 12^1} \le 0$

Применим метод рационализации. Знак каждого выражения вида $a^x - a^b$ (где $a>1$) совпадает со знаком выражения $x-b$. Знак выражения $a^b - a^x$ противоположен знаку $x-b$.

  • $6^2 - 6^x$ имеет знак, противоположный знаку $(x-2)$, то есть совпадает со знаком $(2-x)$.
  • $3^x - 3^5$ имеет тот же знак, что и $(x-5)$.
  • $12^x - 12^1$ имеет тот же знак, что и $(x-1)$.

Также необходимо учесть, что знаменатель не может быть равен нулю, то есть $12^x - 12 \neq 0$, что означает $x \neq 1$.

Исходное неравенство равносильно системе:

$\begin{cases} \frac{(2-x)(x-5)}{x-1} \le 0 \\ x \neq 1 \end{cases}$

Для удобства умножим дробь на -1 и изменим знак неравенства:

$\frac{-(x-2)(x-5)}{x-1} \le 0 \implies \frac{(x-2)(x-5)}{x-1} \ge 0$

Решим это неравенство методом интервалов. Нанесем на числовую прямую нули числителя ($x=2$, $x=5$) и нуль знаменателя ($x=1$). Нули числителя будут закрашенными точками (так как неравенство нестрогое), а нуль знаменателя — выколотой.

Точки $x=1, x=2, x=5$ разбивают числовую прямую на интервалы $(-\infty; 1)$, $(1; 2]$, $[2; 5]$ и $[5; +\infty)$.

  • При $x > 5$ (например, $x=6$): $\frac{(+)(+)}{(+)} > 0$. Знак «+».
  • При $2 < x < 5$ (например, $x=3$): $\frac{(+)(-)}{(+)} < 0$. Знак «−».
  • При $1 < x < 2$ (например, $x=1.5$): $\frac{(-)(-)}{(+)} > 0$. Знак «+».
  • При $x < 1$ (например, $x=0$): $\frac{(-)(-)}{(-)} < 0$. Знак «−».

Нас интересуют промежутки, где выражение не меньше нуля ($\ge 0$). Это $(1; 2]$ и $[5; +\infty)$.

Ответ: $x \in (1; 2] \cup [5; +\infty)$

Помогло решение? Оставьте отзыв в комментариях ниже.

Присоединяйтесь к Телеграм-группе @gdz_by_belarus

Присоединиться

Мы подготовили для вас ответ c подробным объяснением домашего задания по алгебре за 11 класс, для упражнения номер 2.188 расположенного на странице 92 к учебнику 2020 года издания для учащихся школ и гимназий.

Теперь на нашем сайте ГДЗ.ТОП вы всегда легко и бесплатно найдёте условие с правильным ответом на вопрос «Как решить ДЗ» и «Как сделать» задание по алгебре к упражнению №2.188 (с. 92), авторов: Арефьева (Ирина Глебовна), Пирютко (Ольга Николаевна), учебного пособия издательства Народная асвета.