Номер 2.194, страница 93 - гдз по алгебре 11 класс учебник Арефьева, Пирютко

Алгебра, 11 класс Учебник, авторы: Арефьева Ирина Глебовна, Пирютко Ольга Николаевна, издательство Народная асвета, Минск, 2020, бирюзового цвета

Авторы: Арефьева И. Г., Пирютко О. Н.

Тип: Учебник

Издательство: Народная асвета

Год издания: 2020 - 2026

Цвет обложки: бирюзовый, зелёный с графиком

ISBN: 978-985-03-3165-6

Популярные ГДЗ в 11 классе

Глава 2. Показательная функция. Параграф 6. Показательные неравенства - номер 2.194, страница 93.

№2.194 (с. 93)
Условие. №2.194 (с. 93)
скриншот условия
Алгебра, 11 класс Учебник, авторы: Арефьева Ирина Глебовна, Пирютко Ольга Николаевна, издательство Народная асвета, Минск, 2020, бирюзового цвета, страница 93, номер 2.194, Условие

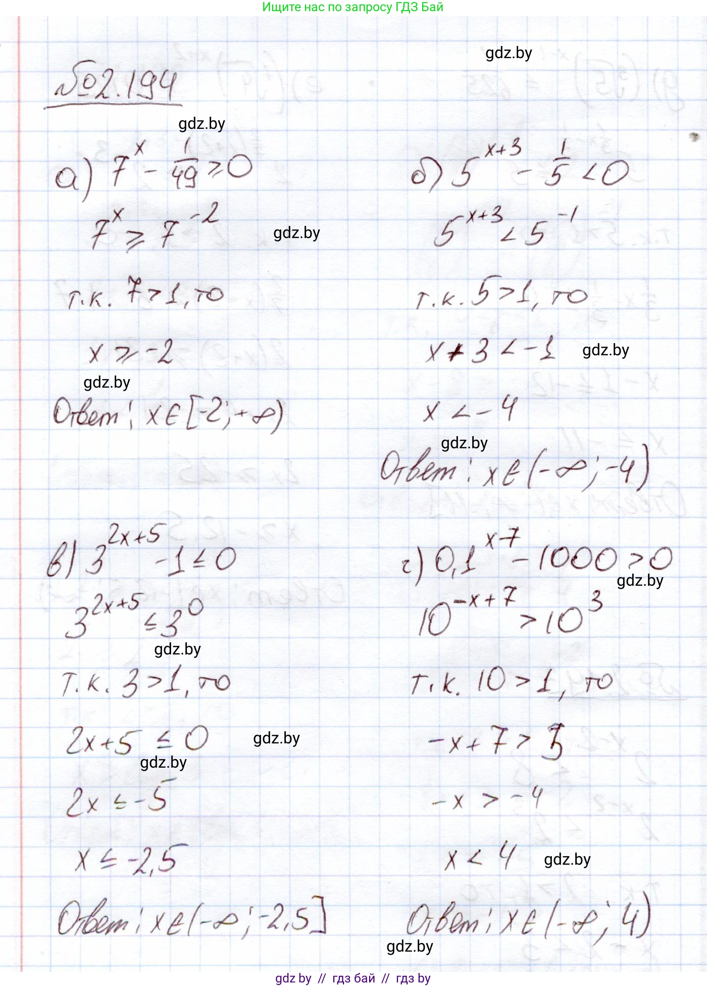
2.194. Решите неравенство:

а) $7^x - \frac{1}{49} \geq 0;$

б) $5^{x+3} - \frac{1}{5} < 0;$

в) $3^{2x+5} - 1 \leq 0;$

г) $0,1^{x-7} - 1000 > 0.$

Решение. №2.194 (с. 93)
Алгебра, 11 класс Учебник, авторы: Арефьева Ирина Глебовна, Пирютко Ольга Николаевна, издательство Народная асвета, Минск, 2020, бирюзового цвета, страница 93, номер 2.194, Решение
Решение 2. №2.194 (с. 93)

а) $7^x - \frac{1}{49} \ge 0$

Перенесем свободный член в правую часть неравенства:

$7^x \ge \frac{1}{49}$

Представим правую часть в виде степени с основанием 7:

$\frac{1}{49} = \frac{1}{7^2} = 7^{-2}$

Получим неравенство:

$7^x \ge 7^{-2}$

Так как основание степени $7 > 1$, показательная функция является возрастающей. Это означает, что большему значению функции соответствует большее значение аргумента (показателя степени). Поэтому при переходе к неравенству для показателей знак неравенства сохраняется:

$x \ge -2$

Решением неравенства является промежуток $[-2; +\infty)$.

Ответ: $x \in [-2; +\infty)$.

б) $5^{x+3} - \frac{1}{5} < 0$

Перенесем свободный член в правую часть:

$5^{x+3} < \frac{1}{5}$

Представим правую часть как степень с основанием 5:

$\frac{1}{5} = 5^{-1}$

Неравенство принимает вид:

$5^{x+3} < 5^{-1}$

Основание степени $5 > 1$, поэтому показательная функция является возрастающей. Знак неравенства для показателей сохраняется:

$x+3 < -1$

$x < -1 - 3$

$x < -4$

Решением является промежуток $(-\infty; -4)$.

Ответ: $x \in (-\infty; -4)$.

в) $3^{2x+5} - 1 \le 0$

Перенесем 1 в правую часть:

$3^{2x+5} \le 1$

Представим 1 как степень с основанием 3:

$1 = 3^0$

Получаем неравенство:

$3^{2x+5} \le 3^0$

Так как основание $3 > 1$, показательная функция возрастает. Знак неравенства для показателей сохраняется:

$2x+5 \le 0$

$2x \le -5$

$x \le -\frac{5}{2}$

$x \le -2.5$

Решением является промежуток $(-\infty; -2.5]$.

Ответ: $x \in (-\infty; -2.5]$.

г) $0.1^{x-7} - 1000 > 0$

Перенесем 1000 в правую часть:

$0.1^{x-7} > 1000$

Приведем обе части неравенства к одному основанию, например, 0.1.

$0.1 = \frac{1}{10}$

$1000 = 10^3 = (\frac{1}{10})^{-3} = 0.1^{-3}$

Неравенство примет вид:

$0.1^{x-7} > 0.1^{-3}$

Так как основание степени $0.1 < 1$, показательная функция является убывающей. Это означает, что большему значению функции соответствует меньшее значение аргумента (показателя степени). Поэтому при переходе к неравенству для показателей знак неравенства меняется на противоположный:

$x-7 < -3$

$x < -3 + 7$

$x < 4$

Решением является промежуток $(-\infty; 4)$.

Ответ: $x \in (-\infty; 4)$.

Помогло решение? Оставьте отзыв в комментариях ниже.

Присоединяйтесь к Телеграм-группе @gdz_by_belarus

Присоединиться

Мы подготовили для вас ответ c подробным объяснением домашего задания по алгебре за 11 класс, для упражнения номер 2.194 расположенного на странице 93 к учебнику 2020 года издания для учащихся школ и гимназий.

Теперь на нашем сайте ГДЗ.ТОП вы всегда легко и бесплатно найдёте условие с правильным ответом на вопрос «Как решить ДЗ» и «Как сделать» задание по алгебре к упражнению №2.194 (с. 93), авторов: Арефьева (Ирина Глебовна), Пирютко (Ольга Николаевна), учебного пособия издательства Народная асвета.