Номер 2.197, страница 93 - гдз по алгебре 11 класс учебник Арефьева, Пирютко

Алгебра, 11 класс Учебник, авторы: Арефьева Ирина Глебовна, Пирютко Ольга Николаевна, издательство Народная асвета, Минск, 2020, бирюзового цвета

Авторы: Арефьева И. Г., Пирютко О. Н.

Тип: Учебник

Издательство: Народная асвета

Год издания: 2020 - 2026

Цвет обложки: бирюзовый, зелёный с графиком

ISBN: 978-985-03-3165-6

Популярные ГДЗ в 11 классе

Глава 2. Показательная функция. Параграф 6. Показательные неравенства - номер 2.197, страница 93.

№2.197 (с. 93)
Условие. №2.197 (с. 93)
скриншот условия
Алгебра, 11 класс Учебник, авторы: Арефьева Ирина Глебовна, Пирютко Ольга Николаевна, издательство Народная асвета, Минск, 2020, бирюзового цвета, страница 93, номер 2.197, Условие

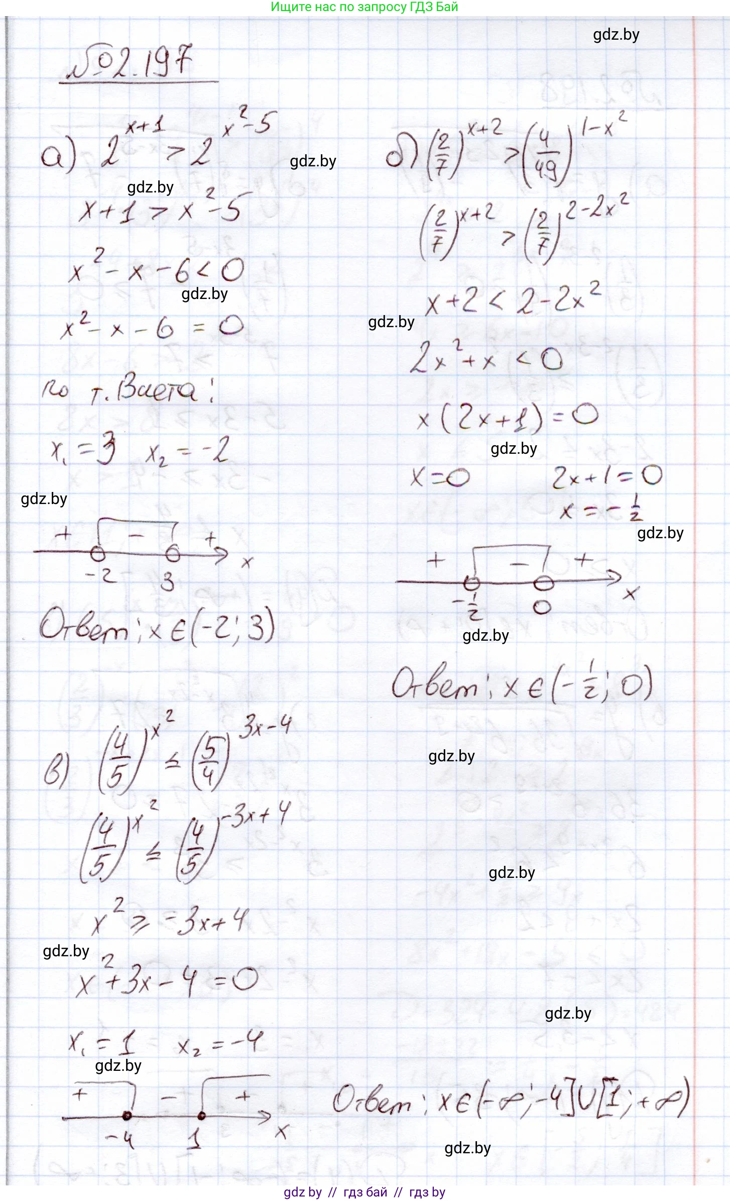
2.197. Решите неравенство:

a) $2^{x+1} > 2^{x^2-5}$;

б) $\left(\frac{2}{7}\right)^{x+2} > \left(\frac{4}{49}\right)^{1-x^2}$;

в) $\left(\frac{4}{5}\right)^{x^2} \le \left(\frac{5}{4}\right)^{3x-4}$.

Решение. №2.197 (с. 93)
Алгебра, 11 класс Учебник, авторы: Арефьева Ирина Глебовна, Пирютко Ольга Николаевна, издательство Народная асвета, Минск, 2020, бирюзового цвета, страница 93, номер 2.197, Решение
Решение 2. №2.197 (с. 93)

а) Исходное неравенство: $2^{x+1} > 2^{x^2-5}$.

Поскольку основание степени $a=2$ больше 1 ($2 > 1$), показательная функция $y=2^t$ является возрастающей. Следовательно, неравенство для степеней равносильно неравенству для их показателей с тем же знаком:

$x+1 > x^2-5$

Перенесем все члены в правую часть, чтобы получить стандартное квадратное неравенство:

$0 > x^2 - x - 5 - 1$

$x^2 - x - 6 < 0$

Для решения этого неравенства найдем корни квадратного уравнения $x^2 - x - 6 = 0$. Используя теорему Виета, находим корни: $x_1 = 3$ и $x_2 = -2$ (поскольку $3 + (-2) = 1$ и $3 \cdot (-2) = -6$).

Графиком функции $y = x^2 - x - 6$ является парабола с ветвями, направленными вверх (так как коэффициент при $x^2$ положителен). Значения функции меньше нуля между корнями.

Таким образом, решение неравенства: $-2 < x < 3$.

Ответ: $x \in (-2, 3)$.

б) Исходное неравенство: $(\frac{2}{7})^{x+2} > (\frac{4}{49})^{1-x^2}$.

Чтобы решить это неравенство, приведем обе части к одному основанию. Заметим, что $\frac{4}{49} = (\frac{2}{7})^2$.

Подставим это в правую часть неравенства:

$(\frac{2}{7})^{x+2} > ((\frac{2}{7})^2)^{1-x^2}$

Используя свойство степени $(a^m)^n = a^{mn}$, получаем:

$(\frac{2}{7})^{x+2} > (\frac{2}{7})^{2(1-x^2)}$

$(\frac{2}{7})^{x+2} > (\frac{2}{7})^{2-2x^2}$

Поскольку основание степени $a = \frac{2}{7}$ находится в интервале $(0, 1)$, показательная функция $y = (\frac{2}{7})^t$ является убывающей. Это означает, что при переходе к неравенству для показателей степеней знак неравенства меняется на противоположный:

$x+2 < 2-2x^2$

Теперь решим полученное квадратное неравенство. Перенесем все члены в левую часть:

$2x^2 + x + 2 - 2 < 0$

$2x^2 + x < 0$

Вынесем общий множитель $x$ за скобки:

$x(2x+1) < 0$

Корни соответствующего уравнения $x(2x+1)=0$ равны $x_1 = 0$ и $x_2 = -1/2$.

Графиком функции $y = 2x^2+x$ является парабола с ветвями вверх, поэтому она принимает отрицательные значения между корнями.

Следовательно, решение неравенства: $-1/2 < x < 0$.

Ответ: $x \in (-\frac{1}{2}, 0)$.

в) Исходное неравенство: $(\frac{4}{5})^{x^2} \le (\frac{5}{4})^{3x-4}$.

Приведем обе части неравенства к одному основанию. Заметим, что основания являются взаимно обратными числами: $\frac{5}{4} = (\frac{4}{5})^{-1}$.

Перепишем правую часть неравенства:

$(\frac{4}{5})^{x^2} \le ((\frac{4}{5})^{-1})^{3x-4}$

Используя свойство степени $(a^m)^n = a^{mn}$, получаем:

$(\frac{4}{5})^{x^2} \le (\frac{4}{5})^{-(3x-4)}$

$(\frac{4}{5})^{x^2} \le (\frac{4}{5})^{4-3x}$

Поскольку основание степени $a = \frac{4}{5}$ находится в интервале $(0, 1)$, показательная функция является убывающей. При переходе к неравенству для показателей степеней знак неравенства меняется на противоположный:

$x^2 \ge 4-3x$

Решим полученное квадратное неравенство. Перенесем все члены в левую часть:

$x^2 + 3x - 4 \ge 0$

Найдем корни уравнения $x^2 + 3x - 4 = 0$. По теореме Виета, корни равны $x_1 = 1$ и $x_2 = -4$ (поскольку $1 + (-4) = -3$ и $1 \cdot (-4) = -4$).

Графиком функции $y = x^2 + 3x - 4$ является парабола с ветвями вверх. Неравенство $\ge 0$ выполняется, когда $x$ находится левее меньшего корня или правее большего корня, включая сами корни.

Таким образом, решение неравенства: $x \le -4$ или $x \ge 1$.

Ответ: $x \in (-\infty, -4] \cup [1, +\infty)$.

Помогло решение? Оставьте отзыв в комментариях ниже.

Присоединяйтесь к Телеграм-группе @gdz_by_belarus

Присоединиться

Мы подготовили для вас ответ c подробным объяснением домашего задания по алгебре за 11 класс, для упражнения номер 2.197 расположенного на странице 93 к учебнику 2020 года издания для учащихся школ и гимназий.

Теперь на нашем сайте ГДЗ.ТОП вы всегда легко и бесплатно найдёте условие с правильным ответом на вопрос «Как решить ДЗ» и «Как сделать» задание по алгебре к упражнению №2.197 (с. 93), авторов: Арефьева (Ирина Глебовна), Пирютко (Ольга Николаевна), учебного пособия издательства Народная асвета.