Номер 2.202, страница 94 - гдз по алгебре 11 класс учебник Арефьева, Пирютко

Алгебра, 11 класс Учебник, авторы: Арефьева Ирина Глебовна, Пирютко Ольга Николаевна, издательство Народная асвета, Минск, 2020, бирюзового цвета

Авторы: Арефьева И. Г., Пирютко О. Н.

Тип: Учебник

Издательство: Народная асвета

Год издания: 2020 - 2026

Цвет обложки: бирюзовый, зелёный с графиком

ISBN: 978-985-03-3165-6

Популярные ГДЗ в 11 классе

Глава 2. Показательная функция. Параграф 6. Показательные неравенства - номер 2.202, страница 94.

№2.202 (с. 94)
Условие. №2.202 (с. 94)
скриншот условия
Алгебра, 11 класс Учебник, авторы: Арефьева Ирина Глебовна, Пирютко Ольга Николаевна, издательство Народная асвета, Минск, 2020, бирюзового цвета, страница 94, номер 2.202, Условие

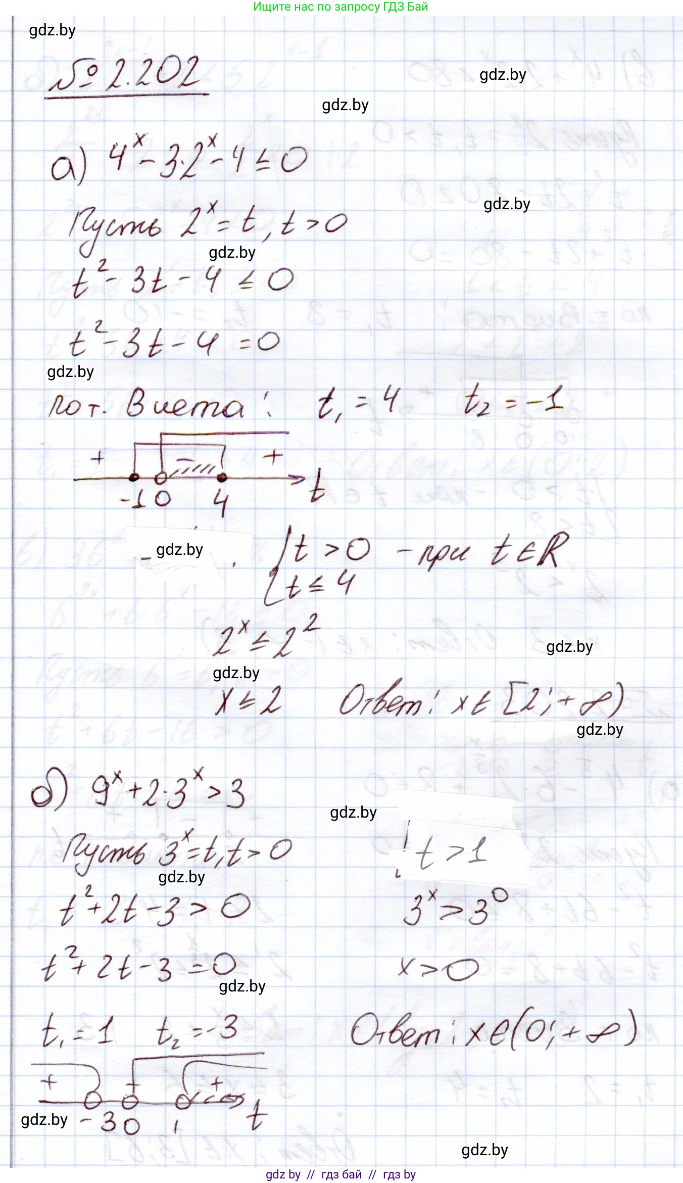
2.202. Решите неравенство, используя метод замены переменной:

a) $4^x - 3 \cdot 2^x - 4 \le 0;$

б) $9^x + 2 \cdot 3^x > 3;$

в) $4^x + 2 \cdot 2^x < 80.$

Решение. №2.202 (с. 94)
Алгебра, 11 класс Учебник, авторы: Арефьева Ирина Глебовна, Пирютко Ольга Николаевна, издательство Народная асвета, Минск, 2020, бирюзового цвета, страница 94, номер 2.202, Решение Алгебра, 11 класс Учебник, авторы: Арефьева Ирина Глебовна, Пирютко Ольга Николаевна, издательство Народная асвета, Минск, 2020, бирюзового цвета, страница 94, номер 2.202, Решение (продолжение 2)
Решение 2. №2.202 (с. 94)

а) $4^x - 3 \cdot 2^x - 4 \le 0$

Представим $4^x$ как $(2^2)^x = (2^x)^2$. Неравенство примет вид:

$(2^x)^2 - 3 \cdot 2^x - 4 \le 0$

Сделаем замену переменной. Пусть $t = 2^x$. Так как показательная функция $y=2^x$ принимает только положительные значения, то есть $2^x > 0$ для любого действительного $x$, то для новой переменной $t$ должно выполняться условие $t > 0$.

После замены получим квадратное неравенство относительно переменной $t$:

$t^2 - 3t - 4 \le 0$

Для решения найдем корни квадратного трехчлена $t^2 - 3t - 4$. Решим уравнение $t^2 - 3t - 4 = 0$.

Дискриминант $D = b^2 - 4ac = (-3)^2 - 4 \cdot 1 \cdot (-4) = 9 + 16 = 25$.

Корни уравнения: $t_1 = \frac{-b - \sqrt{D}}{2a} = \frac{3 - \sqrt{25}}{2} = \frac{3-5}{2} = -1$, $t_2 = \frac{-b + \sqrt{D}}{2a} = \frac{3 + \sqrt{25}}{2} = \frac{3+5}{2} = 4$.

Графиком функции $y = t^2 - 3t - 4$ является парабола с ветвями, направленными вверх. Неравенство $t^2 - 3t - 4 \le 0$ выполняется для значений $t$, находящихся между корнями (включая сами корни).

Следовательно, решением неравенства является промежуток $-1 \le t \le 4$.

Теперь учтем ограничение $t > 0$. Решением системы неравенств $\begin{cases} -1 \le t \le 4, \\ t > 0 \end{cases}$ будет $0 < t \le 4$.

Выполним обратную замену, подставив $2^x$ вместо $t$:

$0 < 2^x \le 4$

Неравенство $2^x > 0$ верно для всех действительных значений $x$. Решим вторую часть двойного неравенства:

$2^x \le 4$

Представим число 4 как степень с основанием 2: $4=2^2$.

$2^x \le 2^2$

Так как основание степени $2 > 1$, показательная функция является возрастающей. Поэтому, при переходе от степеней к их показателям, знак неравенства сохраняется:

$x \le 2$

Ответ: $x \in (-\infty, 2]$.

б) $9^x + 2 \cdot 3^x > 3$

Перенесем все слагаемые в левую часть неравенства:

$9^x + 2 \cdot 3^x - 3 > 0$

Представим $9^x$ как $(3^2)^x = (3^x)^2$. Неравенство примет вид:

$(3^x)^2 + 2 \cdot 3^x - 3 > 0$

Сделаем замену переменной. Пусть $t = 3^x$. Так как $3^x > 0$ для любого $x$, то $t > 0$.

Получим квадратное неравенство относительно $t$:

$t^2 + 2t - 3 > 0$

Найдем корни соответствующего квадратного уравнения $t^2 + 2t - 3 = 0$.

Дискриминант $D = b^2 - 4ac = 2^2 - 4 \cdot 1 \cdot (-3) = 4 + 12 = 16$.

Корни уравнения: $t_1 = \frac{-2 - \sqrt{16}}{2} = \frac{-2-4}{2} = -3$, $t_2 = \frac{-2 + \sqrt{16}}{2} = \frac{-2+4}{2} = 1$.

Графиком функции $y = t^2 + 2t - 3$ является парабола с ветвями, направленными вверх. Неравенство $t^2 + 2t - 3 > 0$ выполняется для $t$, находящихся вне промежутка между корнями.

Следовательно, решением неравенства является совокупность $t < -3$ или $t > 1$.

Учтем ограничение $t > 0$. Из двух полученных промежутков условию $t>0$ удовлетворяет только $t > 1$.

Выполним обратную замену:

$3^x > 1$

Представим $1$ в виде степени с основанием 3: $1 = 3^0$.

$3^x > 3^0$

Так как основание $3 > 1$, показательная функция является возрастающей. Поэтому, при переходе к показателям, знак неравенства сохраняется:

$x > 0$

Ответ: $x \in (0, +\infty)$.

в) $4^x + 2 \cdot 2^x < 80$

Перенесем все слагаемые в левую часть неравенства:

$4^x + 2 \cdot 2^x - 80 < 0$

Представим $4^x$ как $(2^x)^2$. Неравенство примет вид:

$(2^x)^2 + 2 \cdot 2^x - 80 < 0$

Сделаем замену переменной. Пусть $t = 2^x$. Так как $2^x > 0$ для любого $x$, то $t > 0$.

Получим квадратное неравенство относительно $t$:

$t^2 + 2t - 80 < 0$

Найдем корни соответствующего квадратного уравнения $t^2 + 2t - 80 = 0$.

Дискриминант $D = b^2 - 4ac = 2^2 - 4 \cdot 1 \cdot (-80) = 4 + 320 = 324 = 18^2$.

Корни уравнения: $t_1 = \frac{-2 - \sqrt{324}}{2} = \frac{-2-18}{2} = -10$, $t_2 = \frac{-2 + \sqrt{324}}{2} = \frac{-2+18}{2} = 8$.

Графиком функции $y = t^2 + 2t - 80$ является парабола с ветвями, направленными вверх. Неравенство $t^2 + 2t - 80 < 0$ выполняется для $t$, находящихся между корнями.

Следовательно, решением неравенства является промежуток $-10 < t < 8$.

Теперь учтем ограничение $t > 0$. Решением системы неравенств $\begin{cases} -10 < t < 8, \\ t > 0 \end{cases}$ будет $0 < t < 8$.

Выполним обратную замену:

$0 < 2^x < 8$

Неравенство $2^x > 0$ верно для всех действительных значений $x$. Решим вторую часть двойного неравенства:

$2^x < 8$

Представим 8 как степень с основанием 2: $8 = 2^3$.

$2^x < 2^3$

Так как основание $2 > 1$, показательная функция является возрастающей. Поэтому, при переходе к показателям, знак неравенства сохраняется:

$x < 3$

Ответ: $x \in (-\infty, 3)$.

Помогло решение? Оставьте отзыв в комментариях ниже.

Присоединяйтесь к Телеграм-группе @gdz_by_belarus

Присоединиться

Мы подготовили для вас ответ c подробным объяснением домашего задания по алгебре за 11 класс, для упражнения номер 2.202 расположенного на странице 94 к учебнику 2020 года издания для учащихся школ и гимназий.

Теперь на нашем сайте ГДЗ.ТОП вы всегда легко и бесплатно найдёте условие с правильным ответом на вопрос «Как решить ДЗ» и «Как сделать» задание по алгебре к упражнению №2.202 (с. 94), авторов: Арефьева (Ирина Глебовна), Пирютко (Ольга Николаевна), учебного пособия издательства Народная асвета.