Номер 2.206, страница 94 - гдз по алгебре 11 класс учебник Арефьева, Пирютко

Алгебра, 11 класс Учебник, авторы: Арефьева Ирина Глебовна, Пирютко Ольга Николаевна, издательство Народная асвета, Минск, 2020, бирюзового цвета

Авторы: Арефьева И. Г., Пирютко О. Н.

Тип: Учебник

Издательство: Народная асвета

Год издания: 2020 - 2026

Цвет обложки: бирюзовый, зелёный с графиком

ISBN: 978-985-03-3165-6

Популярные ГДЗ в 11 классе

Глава 2. Показательная функция. Параграф 6. Показательные неравенства - номер 2.206, страница 94.

№2.206 (с. 94)
Условие. №2.206 (с. 94)
скриншот условия
Алгебра, 11 класс Учебник, авторы: Арефьева Ирина Глебовна, Пирютко Ольга Николаевна, издательство Народная асвета, Минск, 2020, бирюзового цвета, страница 94, номер 2.206, Условие

2.206. Решите неравенство, используя прием решения однородных неравенств:

a) $5 \cdot 25^x + 3 \cdot 10^x - 2 \cdot 4^x < 0;$

б) $9 \cdot 4^x + 8 \cdot 12^x \ge 36^x.$

Решение. №2.206 (с. 94)
Алгебра, 11 класс Учебник, авторы: Арефьева Ирина Глебовна, Пирютко Ольга Николаевна, издательство Народная асвета, Минск, 2020, бирюзового цвета, страница 94, номер 2.206, Решение Алгебра, 11 класс Учебник, авторы: Арефьева Ирина Глебовна, Пирютко Ольга Николаевна, издательство Народная асвета, Минск, 2020, бирюзового цвета, страница 94, номер 2.206, Решение (продолжение 2)
Решение 2. №2.206 (с. 94)

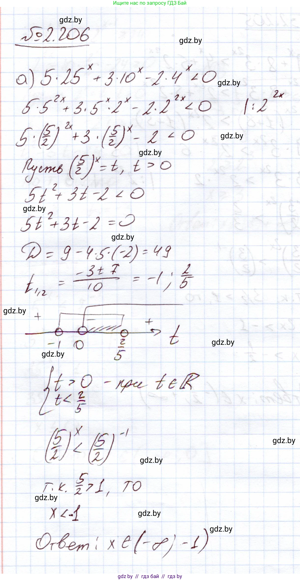
a) $5 \cdot 25^x + 3 \cdot 10^x - 2 \cdot 4^x < 0$

Данное неравенство является однородным показательным неравенством второй степени. Представим его члены через степени с основаниями 5 и 2:
$25^x = (5^2)^x = (5^x)^2$
$4^x = (2^2)^x = (2^x)^2$
$10^x = (5 \cdot 2)^x = 5^x \cdot 2^x$
Подставим эти выражения в исходное неравенство:
$5 \cdot (5^x)^2 + 3 \cdot 5^x \cdot 2^x - 2 \cdot (2^x)^2 < 0$
Разделим обе части неравенства на $(2^x)^2 = 4^x$. Так как $4^x > 0$ для любого действительного $x$, знак неравенства не изменится:
$5 \cdot \frac{(5^x)^2}{(2^x)^2} + 3 \cdot \frac{5^x \cdot 2^x}{(2^x)^2} - 2 \cdot \frac{(2^x)^2}{(2^x)^2} < 0$
$5 \cdot \left(\frac{5}{2}\right)^{2x} + 3 \cdot \left(\frac{5}{2}\right)^x - 2 < 0$
Сделаем замену переменной. Пусть $t = \left(\frac{5}{2}\right)^x$. Так как показательная функция всегда положительна, то $t > 0$.
Получаем квадратное неравенство относительно $t$:
$5t^2 + 3t - 2 < 0$
Найдем корни соответствующего квадратного уравнения $5t^2 + 3t - 2 = 0$.
Дискриминант $D = b^2 - 4ac = 3^2 - 4 \cdot 5 \cdot (-2) = 9 + 40 = 49 = 7^2$.
Корни уравнения:
$t_1 = \frac{-3 - \sqrt{49}}{2 \cdot 5} = \frac{-3 - 7}{10} = -1$
$t_2 = \frac{-3 + \sqrt{49}}{2 \cdot 5} = \frac{-3 + 7}{10} = \frac{4}{10} = \frac{2}{5}$
Так как ветви параболы $y = 5t^2 + 3t - 2$ направлены вверх, неравенство $5t^2 + 3t - 2 < 0$ выполняется, когда $t$ находится между корнями: $-1 < t < \frac{2}{5}$.
Учитывая условие $t > 0$, получаем итоговое неравенство для $t$: $0 < t < \frac{2}{5}$.
Вернемся к исходной переменной $x$, выполнив обратную замену:
$0 < \left(\frac{5}{2}\right)^x < \frac{2}{5}$
Неравенство $\left(\frac{5}{2}\right)^x > 0$ выполняется для всех $x$. Решим оставшуюся часть:
$\left(\frac{5}{2}\right)^x < \frac{2}{5}$
Представим правую часть в виде степени с основанием $\frac{5}{2}$: $\frac{2}{5} = \left(\frac{5}{2}\right)^{-1}$.
$\left(\frac{5}{2}\right)^x < \left(\frac{5}{2}\right)^{-1}$
Так как основание степени $\frac{5}{2} > 1$, показательная функция является возрастающей. Следовательно, при переходе к неравенству для показателей знак неравенства сохраняется:
$x < -1$

Ответ: $(-\infty; -1)$

б) $9 \cdot 4^x + 8 \cdot 12^x \ge 36^x$

Перенесем все члены неравенства в одну сторону:
$36^x - 8 \cdot 12^x - 9 \cdot 4^x \le 0$
Данное неравенство является однородным. Представим его члены через степени с основаниями 6 и 2:
$36^x = (6^2)^x = (6^x)^2$
$4^x = (2^2)^x = (2^x)^2$
$12^x = (6 \cdot 2)^x = 6^x \cdot 2^x$
Подставим эти выражения в неравенство:
$(6^x)^2 - 8 \cdot 6^x \cdot 2^x - 9 \cdot (2^x)^2 \le 0$
Разделим обе части неравенства на $(2^x)^2 = 4^x$. Так как $4^x > 0$ для любого $x$, знак неравенства не изменится:
$\frac{(6^x)^2}{(2^x)^2} - 8 \cdot \frac{6^x \cdot 2^x}{(2^x)^2} - 9 \cdot \frac{(2^x)^2}{(2^x)^2} \le 0$
$\left(\frac{6}{2}\right)^{2x} - 8 \cdot \left(\frac{6}{2}\right)^x - 9 \le 0$
$(3^x)^2 - 8 \cdot 3^x - 9 \le 0$
Сделаем замену переменной. Пусть $t = 3^x$. Учитывая, что показательная функция всегда положительна, имеем $t > 0$.
Получаем квадратное неравенство:
$t^2 - 8t - 9 \le 0$
Найдем корни уравнения $t^2 - 8t - 9 = 0$. По теореме Виета:
$t_1 + t_2 = 8$
$t_1 \cdot t_2 = -9$
Отсюда корни $t_1 = -1$ и $t_2 = 9$.
Ветви параболы $y = t^2 - 8t - 9$ направлены вверх, поэтому неравенство $t^2 - 8t - 9 \le 0$ выполняется на отрезке между корнями: $-1 \le t \le 9$.
С учетом ограничения $t > 0$, получаем $0 < t \le 9$.
Вернемся к переменной $x$:
$0 < 3^x \le 9$
Неравенство $3^x > 0$ верно для всех $x$. Решим оставшееся неравенство:
$3^x \le 9$
$3^x \le 3^2$
Так как основание степени $3 > 1$, показательная функция возрастает, поэтому знак неравенства для показателей сохраняется:
$x \le 2$

Ответ: $(-\infty; 2]$

Помогло решение? Оставьте отзыв в комментариях ниже.

Присоединяйтесь к Телеграм-группе @gdz_by_belarus

Присоединиться

Мы подготовили для вас ответ c подробным объяснением домашего задания по алгебре за 11 класс, для упражнения номер 2.206 расположенного на странице 94 к учебнику 2020 года издания для учащихся школ и гимназий.

Теперь на нашем сайте ГДЗ.ТОП вы всегда легко и бесплатно найдёте условие с правильным ответом на вопрос «Как решить ДЗ» и «Как сделать» задание по алгебре к упражнению №2.206 (с. 94), авторов: Арефьева (Ирина Глебовна), Пирютко (Ольга Николаевна), учебного пособия издательства Народная асвета.