Номер 2.203, страница 94 - гдз по алгебре 11 класс учебник Арефьева, Пирютко

Алгебра, 11 класс Учебник, авторы: Арефьева Ирина Глебовна, Пирютко Ольга Николаевна, издательство Народная асвета, Минск, 2020, бирюзового цвета

Авторы: Арефьева И. Г., Пирютко О. Н.

Тип: Учебник

Издательство: Народная асвета

Год издания: 2020 - 2026

Цвет обложки: бирюзовый, зелёный с графиком

ISBN: 978-985-03-3165-6

Популярные ГДЗ в 11 классе

Глава 2. Показательная функция. Параграф 6. Показательные неравенства - номер 2.203, страница 94.

№2.203 (с. 94)
Условие. №2.203 (с. 94)
скриншот условия
Алгебра, 11 класс Учебник, авторы: Арефьева Ирина Глебовна, Пирютко Ольга Николаевна, издательство Народная асвета, Минск, 2020, бирюзового цвета, страница 94, номер 2.203, Условие

2.203. Решите неравенство, используя метод замены переменной:

a) $4^{\frac{x}{3}} - 6 \cdot 2^{\frac{x}{3}} + 8 \le 0;$

б) $2^{2x-1} + 2 < 5 \cdot 2^{x-1};$

в) $36^x + 6^{x+1} > 16;$

г) $4^x - 10 \cdot 2^{x-1} \ge 24.$

Решение. №2.203 (с. 94)
Алгебра, 11 класс Учебник, авторы: Арефьева Ирина Глебовна, Пирютко Ольга Николаевна, издательство Народная асвета, Минск, 2020, бирюзового цвета, страница 94, номер 2.203, Решение Алгебра, 11 класс Учебник, авторы: Арефьева Ирина Глебовна, Пирютко Ольга Николаевна, издательство Народная асвета, Минск, 2020, бирюзового цвета, страница 94, номер 2.203, Решение (продолжение 2)
Решение 2. №2.203 (с. 94)

а) $4^{\frac{x}{3}} - 6 \cdot 2^{\frac{x}{3}} + 8 \le 0$

Преобразуем неравенство, заметив, что $4^{\frac{x}{3}} = (2^2)^{\frac{x}{3}} = (2^{\frac{x}{3}})^2$.

$(2^{\frac{x}{3}})^2 - 6 \cdot 2^{\frac{x}{3}} + 8 \le 0$

Сделаем замену переменной. Пусть $t = 2^{\frac{x}{3}}$. Так как показательная функция всегда положительна, то $t > 0$.

Получаем квадратное неравенство относительно $t$:

$t^2 - 6t + 8 \le 0$

Найдем корни соответствующего квадратного уравнения $t^2 - 6t + 8 = 0$.

По теореме Виета, корни $t_1 = 2$ и $t_2 = 4$.

Парабола $y = t^2 - 6t + 8$ ветвями вверх, поэтому неравенство $y \le 0$ выполняется между корнями (включая корни).

$2 \le t \le 4$

Это решение удовлетворяет условию $t > 0$.

Выполним обратную замену:

$2 \le 2^{\frac{x}{3}} \le 4$

Представим 2 и 4 как степени с основанием 2:

$2^1 \le 2^{\frac{x}{3}} \le 2^2$

Так как основание степени $2 > 1$, то при переходе к неравенству для показателей степени знак неравенства сохраняется:

$1 \le \frac{x}{3} \le 2$

Умножим все части неравенства на 3:

$3 \le x \le 6$

Ответ: $x \in [3; 6]$.

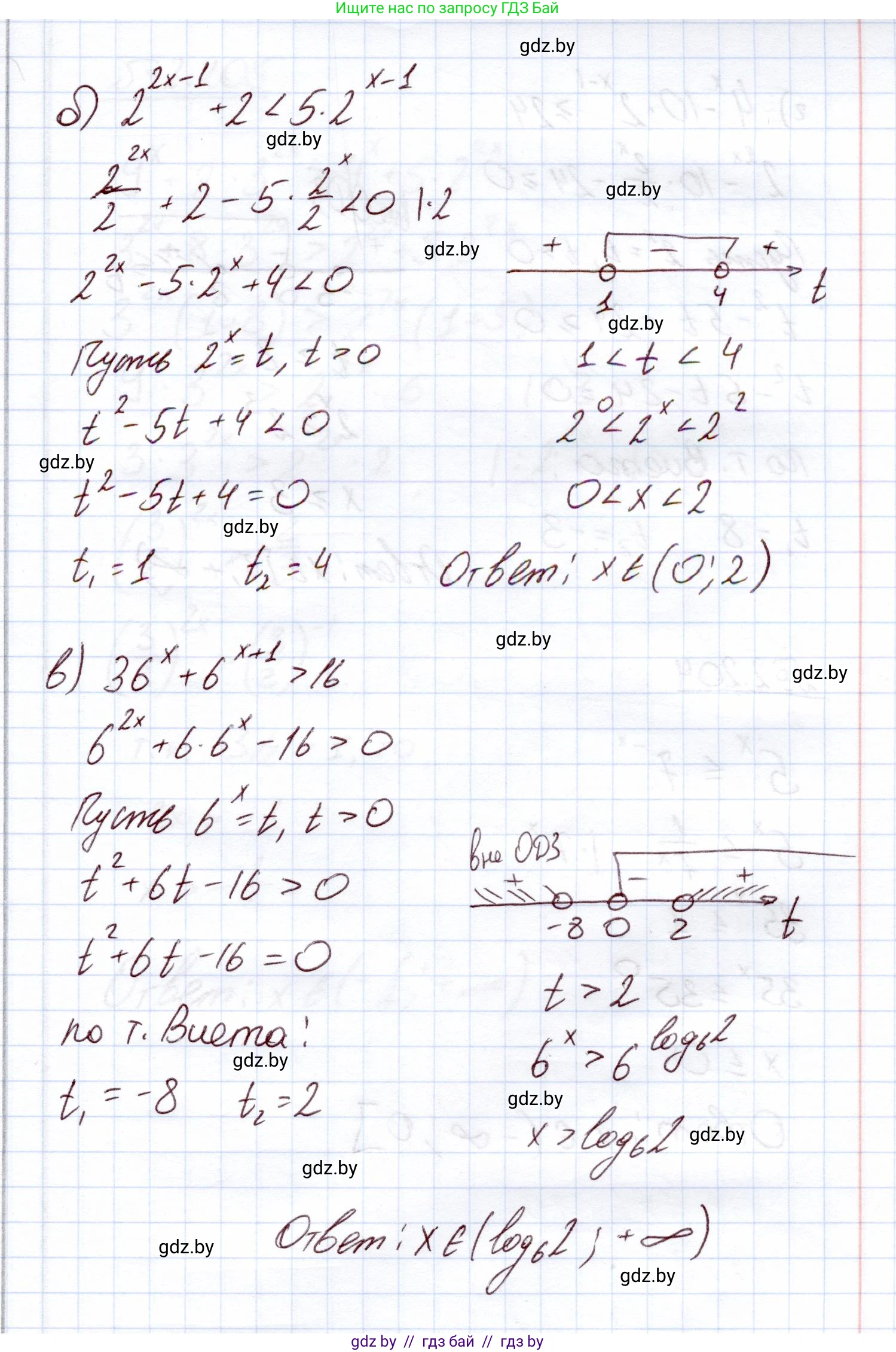
б) $2^{2x-1} + 2 < 5 \cdot 2^{x-1}$

Преобразуем степени, используя свойства $a^{m-n} = a^m \cdot a^{-n}$ и $a^{mn} = (a^m)^n$:

$2^{2x} \cdot 2^{-1} + 2 < 5 \cdot 2^x \cdot 2^{-1}$

$\frac{(2^x)^2}{2} + 2 < 5 \cdot \frac{2^x}{2}$

Сделаем замену переменной. Пусть $t = 2^x$, где $t > 0$.

$\frac{t^2}{2} + 2 < \frac{5t}{2}$

Умножим обе части неравенства на 2, чтобы избавиться от знаменателей:

$t^2 + 4 < 5t$

$t^2 - 5t + 4 < 0$

Найдем корни уравнения $t^2 - 5t + 4 = 0$.

По теореме Виета, корни $t_1 = 1$ и $t_2 = 4$.

Парабола $y = t^2 - 5t + 4$ ветвями вверх, поэтому неравенство $y < 0$ выполняется между корнями.

$1 < t < 4$

Это решение удовлетворяет условию $t > 0$.

Выполним обратную замену:

$1 < 2^x < 4$

$2^0 < 2^x < 2^2$

Так как основание $2 > 1$, то для показателей степени получаем:

$0 < x < 2$

Ответ: $x \in (0; 2)$.

в) $36^x + 6^{x+1} > 16$

Преобразуем неравенство: $36^x = (6^2)^x = (6^x)^2$ и $6^{x+1} = 6 \cdot 6^x$.

$(6^x)^2 + 6 \cdot 6^x > 16$

$(6^x)^2 + 6 \cdot 6^x - 16 > 0$

Сделаем замену переменной. Пусть $t = 6^x$, где $t > 0$.

$t^2 + 6t - 16 > 0$

Найдем корни уравнения $t^2 + 6t - 16 = 0$.

Используя формулу для корней квадратного уравнения:

$t = \frac{-6 \pm \sqrt{6^2 - 4(1)(-16)}}{2} = \frac{-6 \pm \sqrt{36+64}}{2} = \frac{-6 \pm \sqrt{100}}{2} = \frac{-6 \pm 10}{2}$

$t_1 = \frac{-6 - 10}{2} = -8$

$t_2 = \frac{-6 + 10}{2} = 2$

Парабола $y = t^2 + 6t - 16$ ветвями вверх, поэтому неравенство $y > 0$ выполняется вне интервала между корнями:

$t < -8$ или $t > 2$

Учитывая условие $t > 0$, нам подходит только $t > 2$.

Выполним обратную замену:

$6^x > 2$

Прологарифмируем обе части по основанию 6. Так как основание $6 > 1$, знак неравенства сохраняется.

$\log_6(6^x) > \log_6(2)$

$x > \log_6(2)$

Ответ: $x \in (\log_6(2); +\infty)$.

г) $4^x - 10 \cdot 2^{x-1} \ge 24$

Преобразуем неравенство: $4^x = (2^x)^2$ и $2^{x-1} = \frac{2^x}{2}$.

$(2^x)^2 - 10 \cdot \frac{2^x}{2} \ge 24$

$(2^x)^2 - 5 \cdot 2^x - 24 \ge 0$

Сделаем замену переменной. Пусть $t = 2^x$, где $t > 0$.

$t^2 - 5t - 24 \ge 0$

Найдем корни уравнения $t^2 - 5t - 24 = 0$.

Используя формулу для корней квадратного уравнения:

$t = \frac{5 \pm \sqrt{(-5)^2 - 4(1)(-24)}}{2} = \frac{5 \pm \sqrt{25+96}}{2} = \frac{5 \pm \sqrt{121}}{2} = \frac{5 \pm 11}{2}$

$t_1 = \frac{5-11}{2} = -3$

$t_2 = \frac{5+11}{2} = 8$

Парабола $y = t^2 - 5t - 24$ ветвями вверх, поэтому неравенство $y \ge 0$ выполняется при $t \le -3$ или $t \ge 8$.

Учитывая условие $t > 0$, нам подходит только $t \ge 8$.

Выполним обратную замену:

$2^x \ge 8$

$2^x \ge 2^3$

Так как основание $2 > 1$, то для показателей степени получаем:

$x \ge 3$

Ответ: $x \in [3; +\infty)$.

Помогло решение? Оставьте отзыв в комментариях ниже.

Присоединяйтесь к Телеграм-группе @gdz_by_belarus

Присоединиться

Мы подготовили для вас ответ c подробным объяснением домашего задания по алгебре за 11 класс, для упражнения номер 2.203 расположенного на странице 94 к учебнику 2020 года издания для учащихся школ и гимназий.

Теперь на нашем сайте ГДЗ.ТОП вы всегда легко и бесплатно найдёте условие с правильным ответом на вопрос «Как решить ДЗ» и «Как сделать» задание по алгебре к упражнению №2.203 (с. 94), авторов: Арефьева (Ирина Глебовна), Пирютко (Ольга Николаевна), учебного пособия издательства Народная асвета.