Номер 2.92, страница 73 - гдз по алгебре 11 класс учебник Арефьева, Пирютко

Алгебра, 11 класс Учебник, авторы: Арефьева Ирина Глебовна, Пирютко Ольга Николаевна, издательство Народная асвета, Минск, 2020, бирюзового цвета

Авторы: Арефьева И. Г., Пирютко О. Н.

Тип: Учебник

Издательство: Народная асвета

Год издания: 2020 - 2026

Цвет обложки: бирюзовый, зелёный с графиком

ISBN: 978-985-03-3165-6

Популярные ГДЗ в 11 классе

Глава 2. Показательная функция. Параграф 5. Показательные уравнения - номер 2.92, страница 73.

№2.92 (с. 73)
Условие. №2.92 (с. 73)
скриншот условия
Алгебра, 11 класс Учебник, авторы: Арефьева Ирина Глебовна, Пирютко Ольга Николаевна, издательство Народная асвета, Минск, 2020, бирюзового цвета, страница 73, номер 2.92, Условие

2.92. Найдите нули функции:

а) $y = 27 \cdot \left(\frac{4}{9}\right)^{2x} - 6 \cdot \left(\frac{4}{9}\right)^{x} - 8;$

б) $y = 36^x - 6^{x+1} - 40;$

в) $y = 2^x - 6 \cdot 2^{\frac{x}{2}} - 16;$

г) $y = 16^{-x} - 2,25 \cdot 4^{-x} + 0,5.$

Решение. №2.92 (с. 73)
Алгебра, 11 класс Учебник, авторы: Арефьева Ирина Глебовна, Пирютко Ольга Николаевна, издательство Народная асвета, Минск, 2020, бирюзового цвета, страница 73, номер 2.92, Решение Алгебра, 11 класс Учебник, авторы: Арефьева Ирина Глебовна, Пирютко Ольга Николаевна, издательство Народная асвета, Минск, 2020, бирюзового цвета, страница 73, номер 2.92, Решение (продолжение 2)
Решение 2. №2.92 (с. 73)

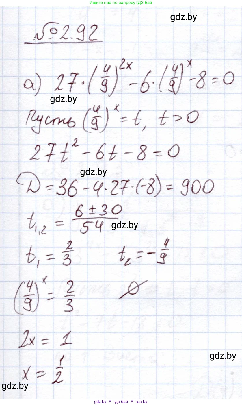
а)

Чтобы найти нули функции $y = 27 \cdot (\frac{4}{9})^{2x} - 6 \cdot (\frac{4}{9})^x - 8$, необходимо приравнять значение функции к нулю, то есть решить уравнение $y=0$.

$27 \cdot (\frac{4}{9})^{2x} - 6 \cdot (\frac{4}{9})^x - 8 = 0$

Данное уравнение является показательным. Заметим, что $(\frac{4}{9})^{2x} = ((\frac{4}{9})^x)^2$. Это позволяет свести уравнение к квадратному с помощью замены переменной.

Пусть $t = (\frac{4}{9})^x$. Поскольку показательная функция принимает только положительные значения, должно выполняться условие $t > 0$.

Подставив $t$ в уравнение, получаем:

$27t^2 - 6t - 8 = 0$

Решим это квадратное уравнение. Найдем дискриминант $D$:

$D = b^2 - 4ac = (-6)^2 - 4 \cdot 27 \cdot (-8) = 36 + 864 = 900$

Найдем корни уравнения для $t$:

$t_1 = \frac{-b + \sqrt{D}}{2a} = \frac{6 + \sqrt{900}}{2 \cdot 27} = \frac{6 + 30}{54} = \frac{36}{54} = \frac{2}{3}$

$t_2 = \frac{-b - \sqrt{D}}{2a} = \frac{6 - \sqrt{900}}{2 \cdot 27} = \frac{6 - 30}{54} = \frac{-24}{54} = -\frac{4}{9}$

Корень $t_2 = -\frac{4}{9}$ не удовлетворяет условию $t > 0$, поэтому он является посторонним. Единственный подходящий корень $t_1 = \frac{2}{3}$.

Выполним обратную замену:

$(\frac{4}{9})^x = \frac{2}{3}$

Чтобы решить это уравнение, представим обе части в виде степени с одинаковым основанием. Заметим, что $\frac{4}{9} = (\frac{2}{3})^2$.

$((\frac{2}{3})^2)^x = (\frac{2}{3})^1$

$(\frac{2}{3})^{2x} = (\frac{2}{3})^1$

Так как основания степеней равны, можем приравнять их показатели:

$2x = 1$

$x = \frac{1}{2}$

Ответ: $\frac{1}{2}$.

б)

Чтобы найти нули функции $y = 36^x - 6^{x+1} - 40$, приравняем $y$ к нулю:

$36^x - 6^{x+1} - 40 = 0$

Преобразуем уравнение, используя свойства степеней, чтобы привести его к одному основанию 6:

$(6^2)^x - 6^x \cdot 6^1 - 40 = 0$

$(6^x)^2 - 6 \cdot 6^x - 40 = 0$

Сделаем замену переменной. Пусть $t = 6^x$. Так как $6^x > 0$ для любого $x$, то $t > 0$.

Получаем квадратное уравнение:

$t^2 - 6t - 40 = 0$

Решим его. Можно использовать теорему Виета: ищем два числа, произведение которых равно -40, а сумма равна 6. Это числа 10 и -4. Или найдем дискриминант:

$D = (-6)^2 - 4 \cdot 1 \cdot (-40) = 36 + 160 = 196 = 14^2$

Корни уравнения для $t$:

$t_1 = \frac{6 + 14}{2} = 10$

$t_2 = \frac{6 - 14}{2} = -4$

Корень $t_2 = -4$ не удовлетворяет условию $t > 0$. Остается $t_1 = 10$.

Выполним обратную замену:

$6^x = 10$

Чтобы найти $x$, прологарифмируем обе части уравнения по основанию 6:

$x = \log_6(10)$

Ответ: $\log_6(10)$.

в)

Чтобы найти нули функции $y = 2^x - 6 \cdot 2^{\frac{x}{2}} - 16$, приравняем $y$ к нулю:

$2^x - 6 \cdot 2^{\frac{x}{2}} - 16 = 0$

Заметим, что $2^x = (2^{\frac{x}{2}})^2$. Сделаем замену переменной. Пусть $t = 2^{\frac{x}{2}}$. Условие для $t$: $t > 0$.

Получаем квадратное уравнение:

$t^2 - 6t - 16 = 0$

Решим его. По теореме Виета, корни 8 и -2. Или через дискриминант:

$D = (-6)^2 - 4 \cdot 1 \cdot (-16) = 36 + 64 = 100 = 10^2$

Корни уравнения для $t$:

$t_1 = \frac{6 + 10}{2} = 8$

$t_2 = \frac{6 - 10}{2} = -2$

Корень $t_2 = -2$ не удовлетворяет условию $t > 0$.

Выполним обратную замену для $t_1 = 8$:

$2^{\frac{x}{2}} = 8$

Представим 8 как степень 2:

$2^{\frac{x}{2}} = 2^3$

Приравниваем показатели степеней:

$\frac{x}{2} = 3$

$x = 6$

Ответ: $6$.

г)

Чтобы найти нули функции $y = 16^{-x} - 2.25 \cdot 4^{-x} + 0.5$, приравняем $y$ к нулю:

$16^{-x} - 2.25 \cdot 4^{-x} + 0.5 = 0$

Преобразуем уравнение. $16^{-x} = (4^2)^{-x} = (4^{-x})^2$. Заменим десятичные дроби на обыкновенные: $2.25 = \frac{9}{4}$, $0.5 = \frac{1}{2}$.

$(4^{-x})^2 - \frac{9}{4} \cdot 4^{-x} + \frac{1}{2} = 0$

Сделаем замену переменной. Пусть $t = 4^{-x}$. Условие: $t > 0$.

Получаем квадратное уравнение:

$t^2 - \frac{9}{4}t + \frac{1}{2} = 0$

Умножим обе части уравнения на 4, чтобы избавиться от дробей:

$4t^2 - 9t + 2 = 0$

Решим его через дискриминант:

$D = (-9)^2 - 4 \cdot 4 \cdot 2 = 81 - 32 = 49 = 7^2$

Корни уравнения для $t$:

$t_1 = \frac{9 + 7}{2 \cdot 4} = \frac{16}{8} = 2$

$t_2 = \frac{9 - 7}{2 \cdot 4} = \frac{2}{8} = \frac{1}{4}$

Оба корня положительны, поэтому оба подходят. Рассмотрим два случая.

1) $t_1 = 2$. Выполняем обратную замену:

$4^{-x} = 2$

$(2^2)^{-x} = 2^1 \implies 2^{-2x} = 2^1$

$-2x = 1 \implies x_1 = -\frac{1}{2}$

2) $t_2 = \frac{1}{4}$. Выполняем обратную замену:

$4^{-x} = \frac{1}{4}$

$4^{-x} = 4^{-1}$

$-x = -1 \implies x_2 = 1$

Ответ: $-\frac{1}{2}; 1$.

Помогло решение? Оставьте отзыв в комментариях ниже.

Присоединяйтесь к Телеграм-группе @gdz_by_belarus

Присоединиться

Мы подготовили для вас ответ c подробным объяснением домашего задания по алгебре за 11 класс, для упражнения номер 2.92 расположенного на странице 73 к учебнику 2020 года издания для учащихся школ и гимназий.

Теперь на нашем сайте ГДЗ.ТОП вы всегда легко и бесплатно найдёте условие с правильным ответом на вопрос «Как решить ДЗ» и «Как сделать» задание по алгебре к упражнению №2.92 (с. 73), авторов: Арефьева (Ирина Глебовна), Пирютко (Ольга Николаевна), учебного пособия издательства Народная асвета.