Номер 2.94, страница 73 - гдз по алгебре 11 класс учебник Арефьева, Пирютко

Алгебра, 11 класс Учебник, авторы: Арефьева Ирина Глебовна, Пирютко Ольга Николаевна, издательство Народная асвета, Минск, 2020, бирюзового цвета

Авторы: Арефьева И. Г., Пирютко О. Н.

Тип: Учебник

Издательство: Народная асвета

Год издания: 2020 - 2026

Цвет обложки: бирюзовый, зелёный с графиком

ISBN: 978-985-03-3165-6

Популярные ГДЗ в 11 классе

Глава 2. Показательная функция. Параграф 5. Показательные уравнения - номер 2.94, страница 73.

№2.94 (с. 73)
Условие. №2.94 (с. 73)
скриншот условия
Алгебра, 11 класс Учебник, авторы: Арефьева Ирина Глебовна, Пирютко Ольга Николаевна, издательство Народная асвета, Минск, 2020, бирюзового цвета, страница 73, номер 2.94, Условие

2.94. Решите уравнение, используя прием решения однородных уравнений:

a) $2^{x-2} = 3^{x-2}$;

б) $5^{x-3} = 7^{3-x}$;

в) $2^{3x-2} = 5^{x-\frac{2}{3}}$;

г) $7^{x^2-2x} = 2^{2x^2-4x}$.

Решение. №2.94 (с. 73)
Алгебра, 11 класс Учебник, авторы: Арефьева Ирина Глебовна, Пирютко Ольга Николаевна, издательство Народная асвета, Минск, 2020, бирюзового цвета, страница 73, номер 2.94, Решение Алгебра, 11 класс Учебник, авторы: Арефьева Ирина Глебовна, Пирютко Ольга Николаевна, издательство Народная асвета, Минск, 2020, бирюзового цвета, страница 73, номер 2.94, Решение (продолжение 2)
Решение 2. №2.94 (с. 73)

а) $2^{x-2} = 3^{x-2}$

Разделим обе части уравнения на $3^{x-2}$. Так как $3^{x-2} > 0$ для любого $x$, это преобразование является равносильным.

$\frac{2^{x-2}}{3^{x-2}} = \frac{3^{x-2}}{3^{x-2}}$

$\frac{2^{x-2}}{3^{x-2}} = 1$

Используя свойство степени $\frac{a^c}{b^c} = (\frac{a}{b})^c$, получаем:

$(\frac{2}{3})^{x-2} = 1$

Поскольку любое число (кроме нуля) в степени 0 равно 1, мы можем записать $1$ как $(\frac{2}{3})^0$.

$(\frac{2}{3})^{x-2} = (\frac{2}{3})^0$

Приравниваем показатели степеней:

$x-2 = 0$

$x = 2$

Ответ: $x=2$.

б) $5^{x-3} = 7^{3-x}$

Преобразуем показатель степени в правой части уравнения: $3-x = -(x-3)$.

$5^{x-3} = 7^{-(x-3)}$

Используя свойство степени $a^{-n} = \frac{1}{a^n}$, получаем:

$5^{x-3} = \frac{1}{7^{x-3}}$

Умножим обе части уравнения на $7^{x-3}$ (это выражение всегда положительно):

$5^{x-3} \cdot 7^{x-3} = 1$

Используя свойство степени $a^c \cdot b^c = (ab)^c$, получаем:

$(5 \cdot 7)^{x-3} = 1$

$35^{x-3} = 1$

Так как $35^0 = 1$, приравниваем показатели степеней:

$x-3 = 0$

$x = 3$

Ответ: $x=3$.

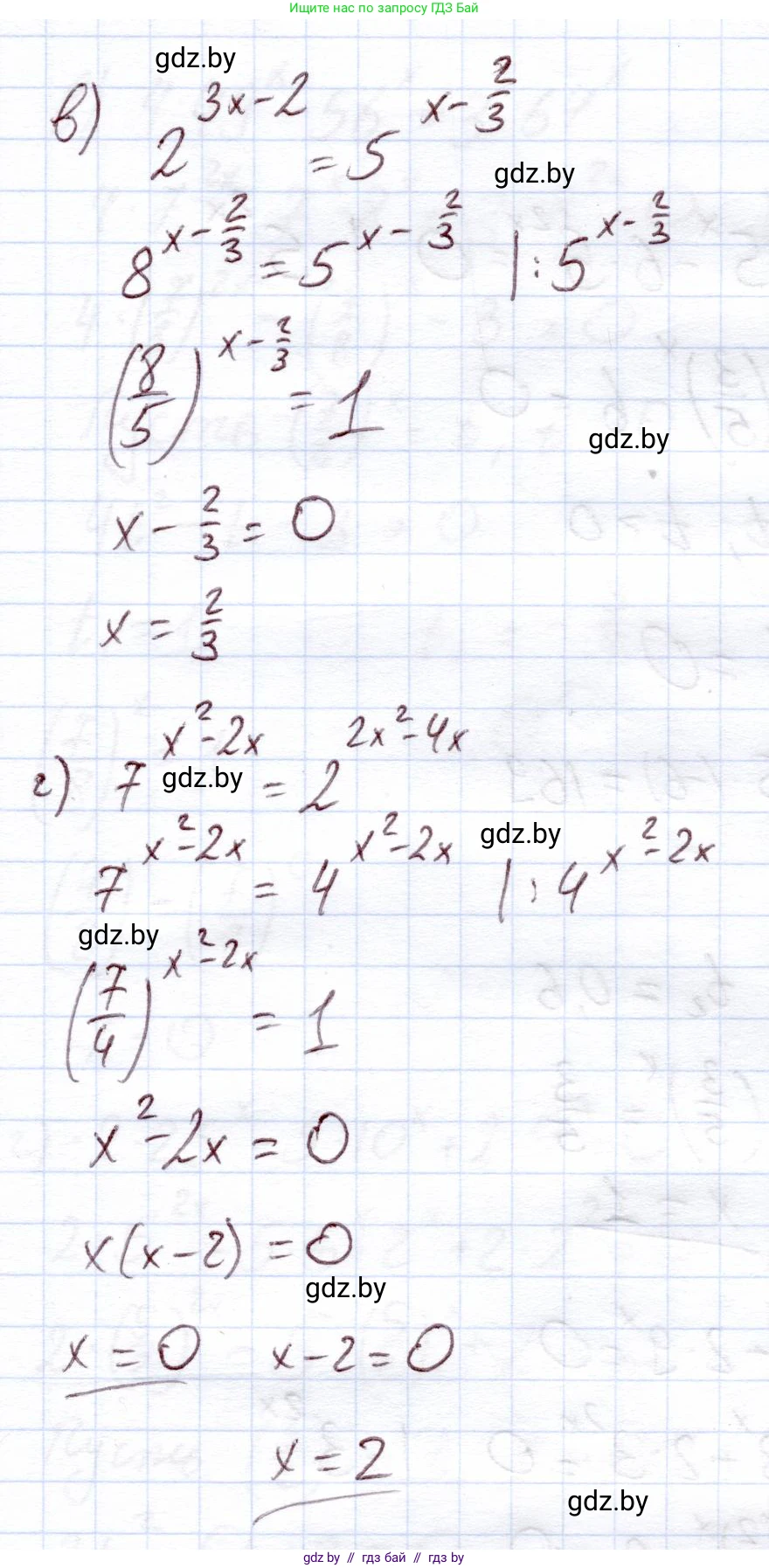
в) $2^{3x-2} = 5^{x-\frac{2}{3}}$

Преобразуем показатель степени в левой части уравнения, вынеся общий множитель 3 за скобки:

$3x-2 = 3(x-\frac{2}{3})$

Подставим это в исходное уравнение:

$2^{3(x-\frac{2}{3})} = 5^{x-\frac{2}{3}}$

Используя свойство степени $(a^m)^n = a^{mn}$, получаем:

$(2^3)^{x-\frac{2}{3}} = 5^{x-\frac{2}{3}}$

$8^{x-\frac{2}{3}} = 5^{x-\frac{2}{3}}$

Разделим обе части уравнения на $5^{x-\frac{2}{3}}$ (это выражение всегда положительно):

$\frac{8^{x-\frac{2}{3}}}{5^{x-\frac{2}{3}}} = 1$

$(\frac{8}{5})^{x-\frac{2}{3}} = 1$

Приравниваем показатель степени к нулю:

$x-\frac{2}{3} = 0$

$x = \frac{2}{3}$

Ответ: $x = \frac{2}{3}$.

г) $7^{x^2-2x} = 2^{2x^2-4x}$

Преобразуем показатель степени в правой части уравнения, вынеся общий множитель 2 за скобки:

$2x^2-4x = 2(x^2-2x)$

Подставим это в исходное уравнение:

$7^{x^2-2x} = 2^{2(x^2-2x)}$

Используя свойство степени $(a^m)^n = a^{mn}$, получаем:

$7^{x^2-2x} = (2^2)^{x^2-2x}$

$7^{x^2-2x} = 4^{x^2-2x}$

Разделим обе части уравнения на $4^{x^2-2x}$ (это выражение всегда положительно):

$\frac{7^{x^2-2x}}{4^{x^2-2x}} = 1$

$(\frac{7}{4})^{x^2-2x} = 1$

Приравниваем показатель степени к нулю:

$x^2 - 2x = 0$

Это неполное квадратное уравнение. Вынесем $x$ за скобки:

$x(x-2) = 0$

Произведение равно нулю, когда один из множителей равен нулю:

$x_1 = 0$

или

$x-2=0 \implies x_2 = 2$

Уравнение имеет два корня.

Ответ: $x=0; x=2$.

Помогло решение? Оставьте отзыв в комментариях ниже.

Присоединяйтесь к Телеграм-группе @gdz_by_belarus

Присоединиться

Мы подготовили для вас ответ c подробным объяснением домашего задания по алгебре за 11 класс, для упражнения номер 2.94 расположенного на странице 73 к учебнику 2020 года издания для учащихся школ и гимназий.

Теперь на нашем сайте ГДЗ.ТОП вы всегда легко и бесплатно найдёте условие с правильным ответом на вопрос «Как решить ДЗ» и «Как сделать» задание по алгебре к упражнению №2.94 (с. 73), авторов: Арефьева (Ирина Глебовна), Пирютко (Ольга Николаевна), учебного пособия издательства Народная асвета.