Номер 2.236, страница 97 - гдз по алгебре 11 класс учебник Арефьева, Пирютко

Алгебра, 11 класс Учебник, авторы: Арефьева Ирина Глебовна, Пирютко Ольга Николаевна, издательство Народная асвета, Минск, 2020, бирюзового цвета

Авторы: Арефьева И. Г., Пирютко О. Н.

Тип: Учебник

Издательство: Народная асвета

Год издания: 2020 - 2026

Цвет обложки: бирюзовый, зелёный с графиком

ISBN: 978-985-03-3165-6

Популярные ГДЗ в 11 классе

Глава 2. Показательная функция. Параграф 6. Показательные неравенства - номер 2.236, страница 97.

№2.236 (с. 97)
Условие. №2.236 (с. 97)
скриншот условия
Алгебра, 11 класс Учебник, авторы: Арефьева Ирина Глебовна, Пирютко Ольга Николаевна, издательство Народная асвета, Минск, 2020, бирюзового цвета, страница 97, номер 2.236, Условие

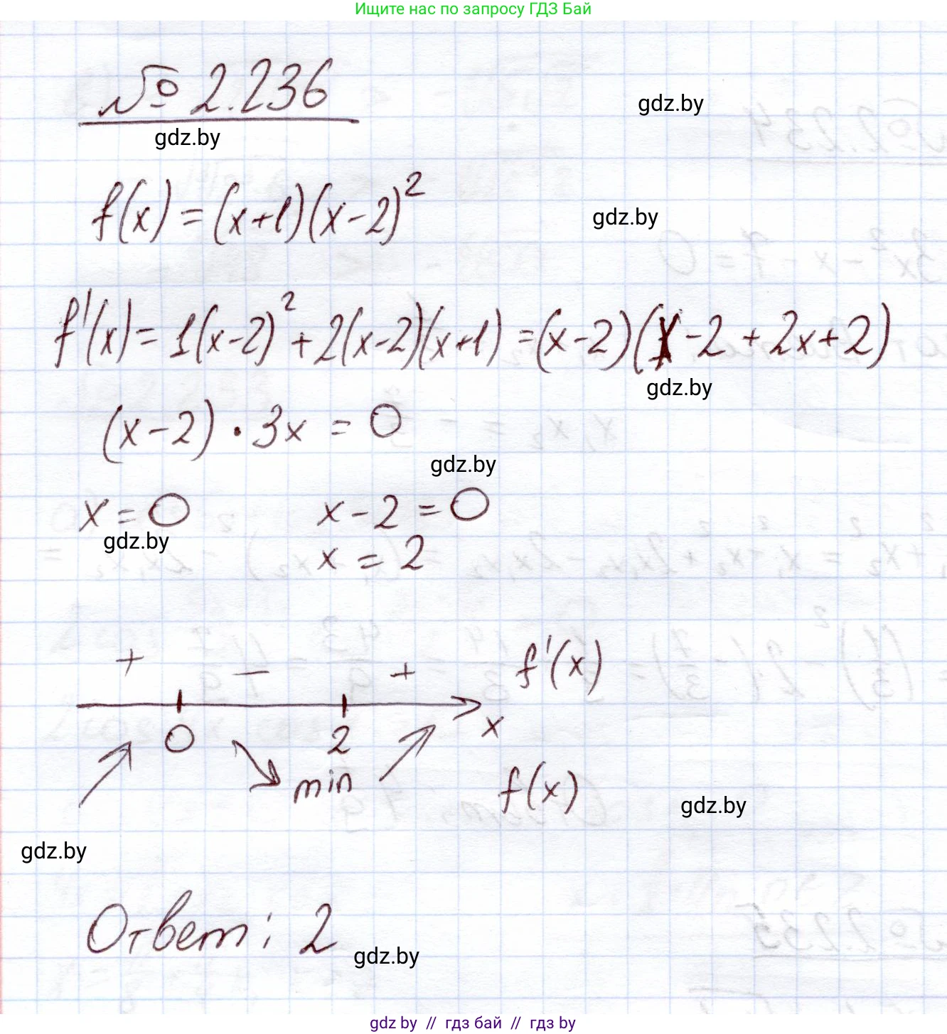
2.236. Найдите минимум функции $f(x) = (x + 1)(x - 2)^2$.

Решение. №2.236 (с. 97)
Алгебра, 11 класс Учебник, авторы: Арефьева Ирина Глебовна, Пирютко Ольга Николаевна, издательство Народная асвета, Минск, 2020, бирюзового цвета, страница 97, номер 2.236, Решение
Решение 2. №2.236 (с. 97)

Для нахождения минимума функции $f(x) = (x + 1)(x - 2)^2$ необходимо найти ее производную, приравнять производную к нулю для нахождения критических точек, а затем исследовать эти точки для определения минимума.

1. Нахождение производной функции.

Воспользуемся правилом дифференцирования произведения $(uv)' = u'v + uv'$. Пусть $u = x + 1$ и $v = (x - 2)^2$. Тогда производные этих частей равны: $u' = 1$ и $v' = 2(x - 2) \cdot (x - 2)' = 2(x - 2)$.

Теперь найдем производную всей функции $f(x)$:$f'(x) = (x + 1)'(x - 2)^2 + (x + 1)((x - 2)^2)'$$f'(x) = 1 \cdot (x - 2)^2 + (x + 1) \cdot 2(x - 2)$

Упростим выражение, вынеся общий множитель $(x - 2)$:$f'(x) = (x - 2) \left[ (x - 2) + 2(x + 1) \right]$$f'(x) = (x - 2)(x - 2 + 2x + 2)$$f'(x) = (x - 2)(3x) = 3x^2 - 6x$

2. Нахождение критических точек.

Приравняем производную к нулю, чтобы найти критические точки, в которых касательная к графику функции горизонтальна:$f'(x) = 0$$3x(x - 2) = 0$

Это уравнение имеет два решения:$x_1 = 0$$x_2 = 2$

3. Определение характера критических точек.

Исследуем знак производной $f'(x) = 3x(x - 2)$ на интервалах, на которые критические точки делят числовую ось: $(-\infty; 0)$, $(0; 2)$ и $(2; +\infty)$.

  • На интервале $(-\infty; 0)$, выбрав, например, $x = -1$, получаем: $f'(-1) = 3(-1)(-1 - 2) = 9 > 0$. Следовательно, на этом интервале функция возрастает.
  • На интервале $(0; 2)$, выбрав, например, $x = 1$, получаем: $f'(1) = 3(1)(1 - 2) = -3 < 0$. Следовательно, на этом интервале функция убывает.
  • На интервале $(2; +\infty)$, выбрав, например, $x = 3$, получаем: $f'(3) = 3(3)(3 - 2) = 9 > 0$. Следовательно, на этом интервале функция снова возрастает.

При переходе через точку $x = 0$ знак производной меняется с «+» на «−», что указывает на точку локального максимума. При переходе через точку $x = 2$ знак производной меняется с «−» на «+», что указывает на точку локального минимума.

4. Вычисление минимума функции.

Минимум функции — это ее значение в точке локального минимума, то есть при $x = 2$.$f_{min} = f(2) = (2 + 1)(2 - 2)^2 = 3 \cdot 0^2 = 0$

Ответ: 0

Помогло решение? Оставьте отзыв в комментариях ниже.

Присоединяйтесь к Телеграм-группе @gdz_by_belarus

Присоединиться

Мы подготовили для вас ответ c подробным объяснением домашего задания по алгебре за 11 класс, для упражнения номер 2.236 расположенного на странице 97 к учебнику 2020 года издания для учащихся школ и гимназий.

Теперь на нашем сайте ГДЗ.ТОП вы всегда легко и бесплатно найдёте условие с правильным ответом на вопрос «Как решить ДЗ» и «Как сделать» задание по алгебре к упражнению №2.236 (с. 97), авторов: Арефьева (Ирина Глебовна), Пирютко (Ольга Николаевна), учебного пособия издательства Народная асвета.