Номер 6, страница 99 - гдз по алгебре 11 класс учебник Арефьева, Пирютко

Алгебра, 11 класс Учебник, авторы: Арефьева Ирина Глебовна, Пирютко Ольга Николаевна, издательство Народная асвета, Минск, 2020, бирюзового цвета

Авторы: Арефьева И. Г., Пирютко О. Н.

Тип: Учебник

Издательство: Народная асвета

Год издания: 2020 - 2026

Цвет обложки: бирюзовый, зелёный с графиком

ISBN: 978-985-03-3165-6

Популярные ГДЗ в 11 классе

Глава 2. Показательная функция. Я проверяю свои знания - номер 6, страница 99.

№6 (с. 99)
Условие. №6 (с. 99)
скриншот условия
Алгебра, 11 класс Учебник, авторы: Арефьева Ирина Глебовна, Пирютко Ольга Николаевна, издательство Народная асвета, Минск, 2020, бирюзового цвета, страница 99, номер 6, Условие

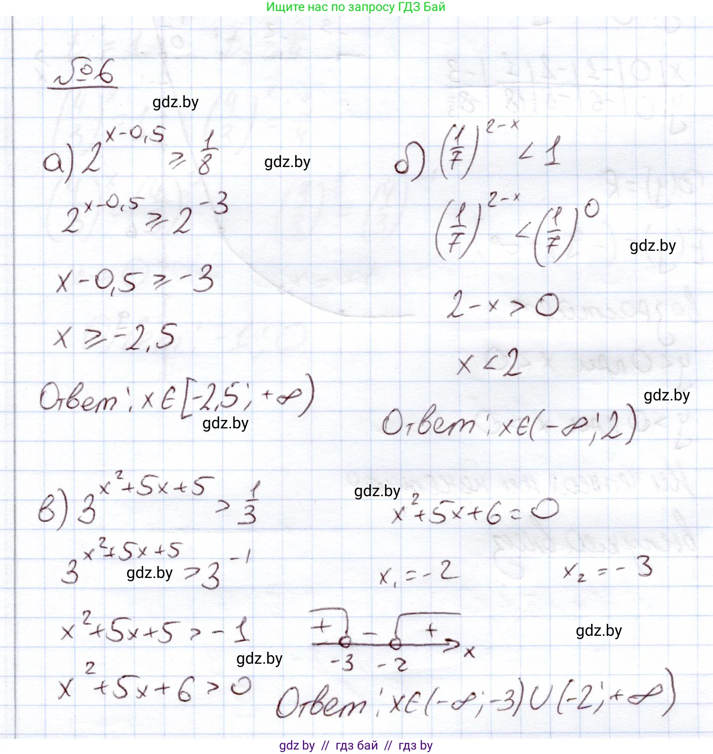
6. Решите неравенство:

а) $2^{x-0,5} \ge \frac{1}{8}$;

б) $(\frac{1}{7})^{2-x} < 1$;

в) $3^{x^2+5x+5} > \frac{1}{3}$;

г) $2^x + 2^{x+1} \ge 24$.

Решение. №6 (с. 99)
Алгебра, 11 класс Учебник, авторы: Арефьева Ирина Глебовна, Пирютко Ольга Николаевна, издательство Народная асвета, Минск, 2020, бирюзового цвета, страница 99, номер 6, Решение Алгебра, 11 класс Учебник, авторы: Арефьева Ирина Глебовна, Пирютко Ольга Николаевна, издательство Народная асвета, Минск, 2020, бирюзового цвета, страница 99, номер 6, Решение (продолжение 2)
Решение 2. №6 (с. 99)

а) $2^{x-0,5} \ge \frac{1}{8}$

Чтобы решить показательное неравенство, приведем обе его части к одному основанию. В данном случае это основание 2.

Представим правую часть неравенства в виде степени с основанием 2:

$\frac{1}{8} = \frac{1}{2^3} = 2^{-3}$

Теперь неравенство имеет вид:

$2^{x-0,5} \ge 2^{-3}$

Поскольку основание степени $2 > 1$, показательная функция $y=2^t$ является возрастающей. Это значит, что большему значению функции соответствует большее значение аргумента. Поэтому при переходе от неравенства степеней к неравенству их показателей знак неравенства сохраняется:

$x - 0,5 \ge -3$

Решим полученное линейное неравенство:

$x \ge -3 + 0,5$

$x \ge -2,5$

Ответ: $x \in [-2,5; +\infty)$.

б) $(\frac{1}{7})^{2-x} < 1$

Приведем обе части неравенства к основанию $\frac{1}{7}$.

Представим число 1 в виде степени с основанием $\frac{1}{7}$:

$1 = (\frac{1}{7})^0$

Неравенство принимает вид:

$(\frac{1}{7})^{2-x} < (\frac{1}{7})^0$

Основание степени $a = \frac{1}{7}$. Так как $0 < a < 1$, показательная функция $y=(\frac{1}{7})^t$ является убывающей. Это значит, что большему значению функции соответствует меньшее значение аргумента. Поэтому при переходе к неравенству для показателей знак неравенства меняется на противоположный:

$2 - x > 0$

Решим это линейное неравенство:

$-x > -2$

Умножим обе части на -1, изменив знак неравенства:

$x < 2$

Ответ: $x \in (-\infty; 2)$.

в) $3^{x^2+5x+5} > \frac{1}{3}$

Приведем обе части неравенства к основанию 3.

Представим правую часть в виде степени с основанием 3:

$\frac{1}{3} = 3^{-1}$

Неравенство принимает вид:

$3^{x^2+5x+5} > 3^{-1}$

Так как основание $3 > 1$, показательная функция является возрастающей. Знак неравенства при переходе к показателям сохраняется:

$x^2 + 5x + 5 > -1$

Перенесем все члены в левую часть, чтобы получить квадратное неравенство:

$x^2 + 5x + 6 > 0$

Найдем корни соответствующего квадратного уравнения $x^2 + 5x + 6 = 0$. Используя теорему Виета, находим корни: $x_1 = -3$ и $x_2 = -2$.

Графиком функции $y = x^2 + 5x + 6$ является парабола с ветвями, направленными вверх (так как коэффициент при $x^2$ положителен). Значения функции положительны, когда $x$ находится вне интервала между корнями.

Следовательно, решение неравенства: $x < -3$ или $x > -2$.

Ответ: $x \in (-\infty; -3) \cup (-2; +\infty)$.

г) $2^x + 2^{x+1} \ge 24$

Преобразуем левую часть неравенства, используя свойство степеней $a^{m+n} = a^m \cdot a^n$:

$2^{x+1} = 2^x \cdot 2^1 = 2 \cdot 2^x$

Подставим это выражение в исходное неравенство:

$2^x + 2 \cdot 2^x \ge 24$

Вынесем общий множитель $2^x$ за скобки:

$2^x(1 + 2) \ge 24$

$3 \cdot 2^x \ge 24$

Разделим обе части неравенства на 3:

$2^x \ge 8$

Теперь приведем правую часть к основанию 2:

$8 = 2^3$

Неравенство принимает вид:

$2^x \ge 2^3$

Так как основание $2 > 1$, показательная функция возрастающая, поэтому знак неравенства сохраняется:

$x \ge 3$

Ответ: $x \in [3; +\infty)$.

Помогло решение? Оставьте отзыв в комментариях ниже.

Присоединяйтесь к Телеграм-группе @gdz_by_belarus

Присоединиться

Мы подготовили для вас ответ c подробным объяснением домашего задания по алгебре за 11 класс, для упражнения номер 6 расположенного на странице 99 к учебнику 2020 года издания для учащихся школ и гимназий.

Теперь на нашем сайте ГДЗ.ТОП вы всегда легко и бесплатно найдёте условие с правильным ответом на вопрос «Как решить ДЗ» и «Как сделать» задание по алгебре к упражнению №6 (с. 99), авторов: Арефьева (Ирина Глебовна), Пирютко (Ольга Николаевна), учебного пособия издательства Народная асвета.