Номер 3.159, страница 141 - гдз по алгебре 11 класс учебник Арефьева, Пирютко

Алгебра, 11 класс Учебник, авторы: Арефьева Ирина Глебовна, Пирютко Ольга Николаевна, издательство Народная асвета, Минск, 2020, бирюзового цвета

Авторы: Арефьева И. Г., Пирютко О. Н.

Тип: Учебник

Издательство: Народная асвета

Год издания: 2020 - 2026

Цвет обложки: бирюзовый, зелёный с графиком

ISBN: 978-985-03-3165-6

Популярные ГДЗ в 11 классе

Глава 3. Логарифмическая функция. Параграф 9. Логарифмические уравнения - номер 3.159, страница 141.

№3.159 (с. 141)
Условие. №3.159 (с. 141)
скриншот условия
Алгебра, 11 класс Учебник, авторы: Арефьева Ирина Глебовна, Пирютко Ольга Николаевна, издательство Народная асвета, Минск, 2020, бирюзового цвета, страница 141, номер 3.159, Условие

3.159. Решите уравнение:

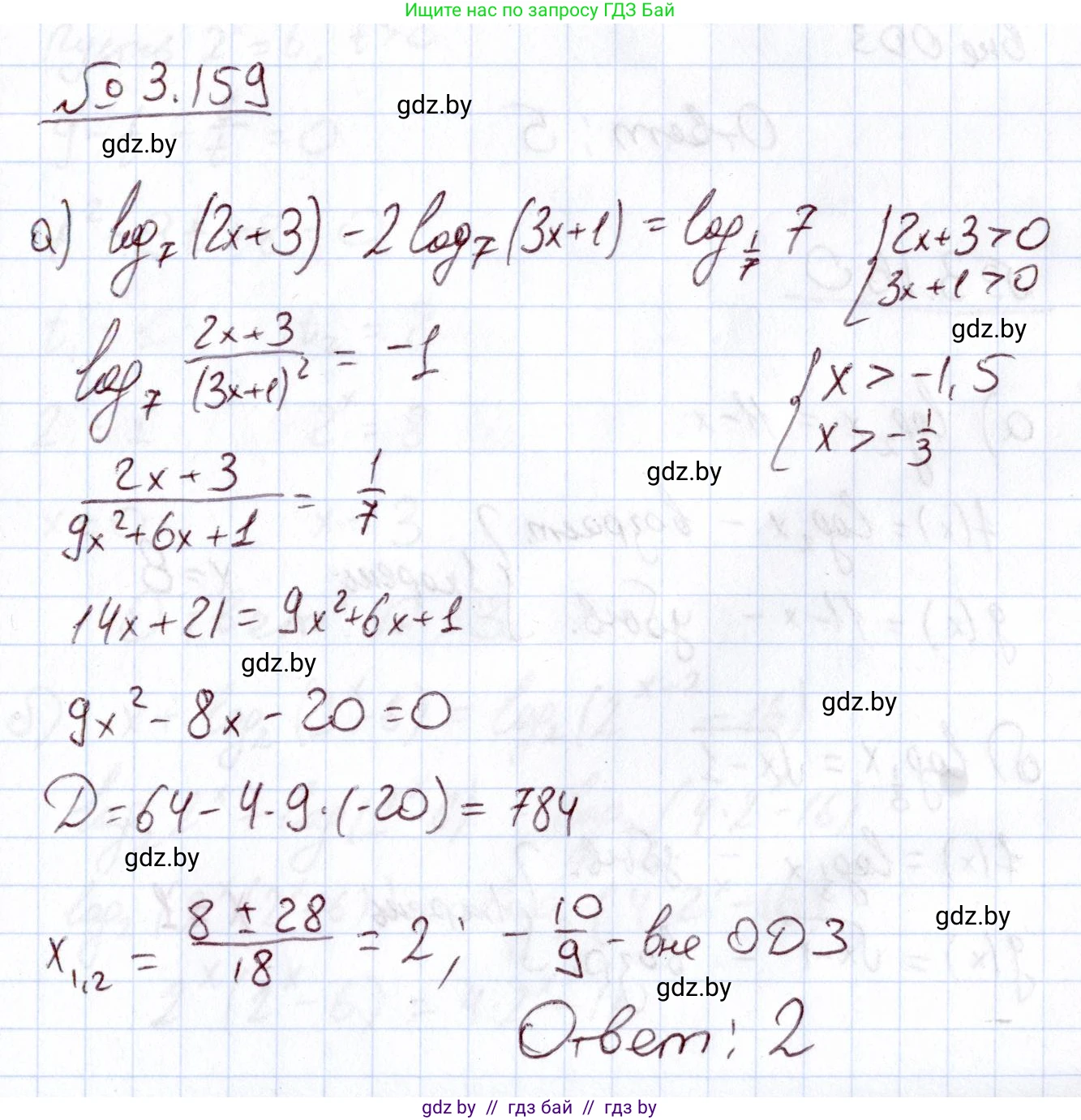
a) $\log_7(2x + 3) - 2\log_7(3x + 1) = \log_{\frac{1}{7}} 7;$

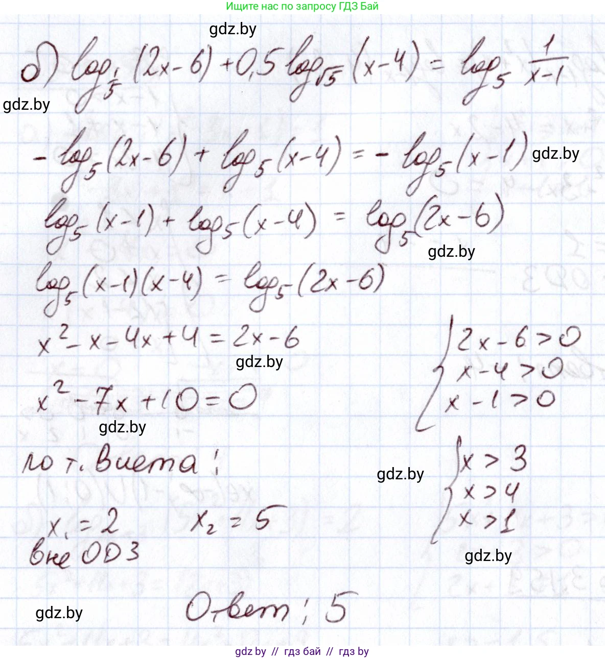
б) $\log_{\frac{1}{5}}(2x - 6) + 0,5\log_{\sqrt{5}}(x - 4) = \log_5 \frac{1}{x - 1}.$

Решение. №3.159 (с. 141)
Алгебра, 11 класс Учебник, авторы: Арефьева Ирина Глебовна, Пирютко Ольга Николаевна, издательство Народная асвета, Минск, 2020, бирюзового цвета, страница 141, номер 3.159, Решение Алгебра, 11 класс Учебник, авторы: Арефьева Ирина Глебовна, Пирютко Ольга Николаевна, издательство Народная асвета, Минск, 2020, бирюзового цвета, страница 141, номер 3.159, Решение (продолжение 2)
Решение 2. №3.159 (с. 141)

а) $\log_7(2x + 3) - 2\log_7(3x + 1) = \log_{\frac{1}{7}} 7$

1. Найдем область допустимых значений (ОДЗ). Аргументы логарифмов должны быть строго положительными:

$\begin{cases} 2x + 3 > 0 \\ 3x + 1 > 0 \end{cases} \implies \begin{cases} 2x > -3 \\ 3x > -1 \end{cases} \implies \begin{cases} x > -1.5 \\ x > -1/3 \end{cases}$

Объединяя условия, получаем ОДЗ: $x > -1/3$.

2. Упростим правую часть уравнения, используя свойство логарифма $\log_{a^k} b = \frac{1}{k}\log_a b$ или определение логарифма:

$\log_{\frac{1}{7}} 7 = \log_{7^{-1}} 7^1 = \frac{1}{-1} \log_7 7 = -1 \cdot 1 = -1$.

3. Преобразуем левую часть уравнения, используя свойство $n \log_a b = \log_a b^n$:

$2\log_7(3x + 1) = \log_7((3x + 1)^2)$.

Теперь уравнение имеет вид:

$\log_7(2x + 3) - \log_7((3x + 1)^2) = -1$.

4. Используем свойство разности логарифмов $\log_a b - \log_a c = \log_a \frac{b}{c}$:

$\log_7 \frac{2x + 3}{(3x + 1)^2} = -1$.

5. Перейдем от логарифмического уравнения к показательному по определению логарифма ($\log_a b = c \iff a^c = b$):

$\frac{2x + 3}{(3x + 1)^2} = 7^{-1} = \frac{1}{7}$.

6. Решим полученное рациональное уравнение:

$7(2x + 3) = (3x + 1)^2$

$14x + 21 = 9x^2 + 6x + 1$

$9x^2 + 6x - 14x + 1 - 21 = 0$

$9x^2 - 8x - 20 = 0$.

7. Найдем корни квадратного уравнения через дискриминант:

$D = b^2 - 4ac = (-8)^2 - 4 \cdot 9 \cdot (-20) = 64 + 720 = 784 = 28^2$.

$x_1 = \frac{-b + \sqrt{D}}{2a} = \frac{8 + 28}{2 \cdot 9} = \frac{36}{18} = 2$.

$x_2 = \frac{-b - \sqrt{D}}{2a} = \frac{8 - 28}{2 \cdot 9} = \frac{-20}{18} = -\frac{10}{9}$.

8. Проверим корни на соответствие ОДЗ ($x > -1/3$):

Корень $x_1 = 2$ удовлетворяет условию $2 > -1/3$.

Корень $x_2 = -10/9 = -1 \frac{1}{9}$. Это значение не удовлетворяет условию $x > -1/3$, так как $-1 \frac{1}{9} < -1/3$. Следовательно, это посторонний корень.

Ответ: 2

б) $\log_{\frac{1}{5}}(2x - 6) + 0.5\log_{\sqrt{5}}(x - 4) = \log_5 \frac{1}{x - 1}$

1. Найдем область допустимых значений (ОДЗ):

$\begin{cases} 2x - 6 > 0 \\ x - 4 > 0 \\ \frac{1}{x-1} > 0 \end{cases} \implies \begin{cases} 2x > 6 \\ x > 4 \\ x - 1 > 0 \end{cases} \implies \begin{cases} x > 3 \\ x > 4 \\ x > 1 \end{cases}$

Объединяя условия, получаем ОДЗ: $x > 4$.

2. Приведем все логарифмы к одному основанию 5, используя формулу перехода к новому основанию в виде $\log_{a^k} b = \frac{1}{k}\log_a b$:

Первый член: $\log_{\frac{1}{5}}(2x - 6) = \log_{5^{-1}}(2x - 6) = -\log_5(2x - 6)$.

Второй член: $0.5\log_{\sqrt{5}}(x - 4) = 0.5\log_{5^{1/2}}(x - 4) = 0.5 \cdot \frac{1}{1/2} \log_5(x - 4) = 0.5 \cdot 2 \log_5(x - 4) = \log_5(x - 4)$.

Третий член: $\log_5 \frac{1}{x - 1} = \log_5 (x - 1)^{-1} = -\log_5(x - 1)$.

3. Подставим преобразованные выражения в исходное уравнение:

$-\log_5(2x - 6) + \log_5(x - 4) = -\log_5(x - 1)$.

4. Перенесем слагаемые, чтобы избавиться от знаков минуса:

$\log_5(x - 4) + \log_5(x - 1) = \log_5(2x - 6)$.

5. Используем свойство суммы логарифмов $\log_a b + \log_a c = \log_a(bc)$:

$\log_5((x - 4)(x - 1)) = \log_5(2x - 6)$.

6. Так как основания логарифмов равны, приравняем их аргументы:

$(x - 4)(x - 1) = 2x - 6$.

7. Раскроем скобки и решим полученное квадратное уравнение:

$x^2 - x - 4x + 4 = 2x - 6$

$x^2 - 5x + 4 = 2x - 6$

$x^2 - 7x + 10 = 0$.

По теореме Виета находим корни:

$x_1 + x_2 = 7$

$x_1 \cdot x_2 = 10$

Отсюда $x_1 = 2$, $x_2 = 5$.

8. Проверим корни на соответствие ОДЗ ($x > 4$):

Корень $x_1 = 2$ не удовлетворяет условию $2 > 4$, следовательно, это посторонний корень.

Корень $x_2 = 5$ удовлетворяет условию $5 > 4$.

Ответ: 5

Помогло решение? Оставьте отзыв в комментариях ниже.

Присоединяйтесь к Телеграм-группе @gdz_by_belarus

Присоединиться

Мы подготовили для вас ответ c подробным объяснением домашего задания по алгебре за 11 класс, для упражнения номер 3.159 расположенного на странице 141 к учебнику 2020 года издания для учащихся школ и гимназий.

Теперь на нашем сайте ГДЗ.ТОП вы всегда легко и бесплатно найдёте условие с правильным ответом на вопрос «Как решить ДЗ» и «Как сделать» задание по алгебре к упражнению №3.159 (с. 141), авторов: Арефьева (Ирина Глебовна), Пирютко (Ольга Николаевна), учебного пособия издательства Народная асвета.