Номер 3.163, страница 141 - гдз по алгебре 11 класс учебник Арефьева, Пирютко
Авторы: Арефьева И. Г., Пирютко О. Н.
Тип: Учебник
Издательство: Народная асвета
Год издания: 2020 - 2026
Цвет обложки: бирюзовый, зелёный с графиком
ISBN: 978-985-03-3165-6
Популярные ГДЗ в 11 классе
Глава 3. Логарифмическая функция. Параграф 9. Логарифмические уравнения - номер 3.163, страница 141.
№3.163 (с. 141)
Условие. №3.163 (с. 141)
скриншот условия
3.163. Решите систему уравнений:
а) $\begin{cases} \log_4 x + \log_4 y = 1, \\ y - 2x = 7; \end{cases}$
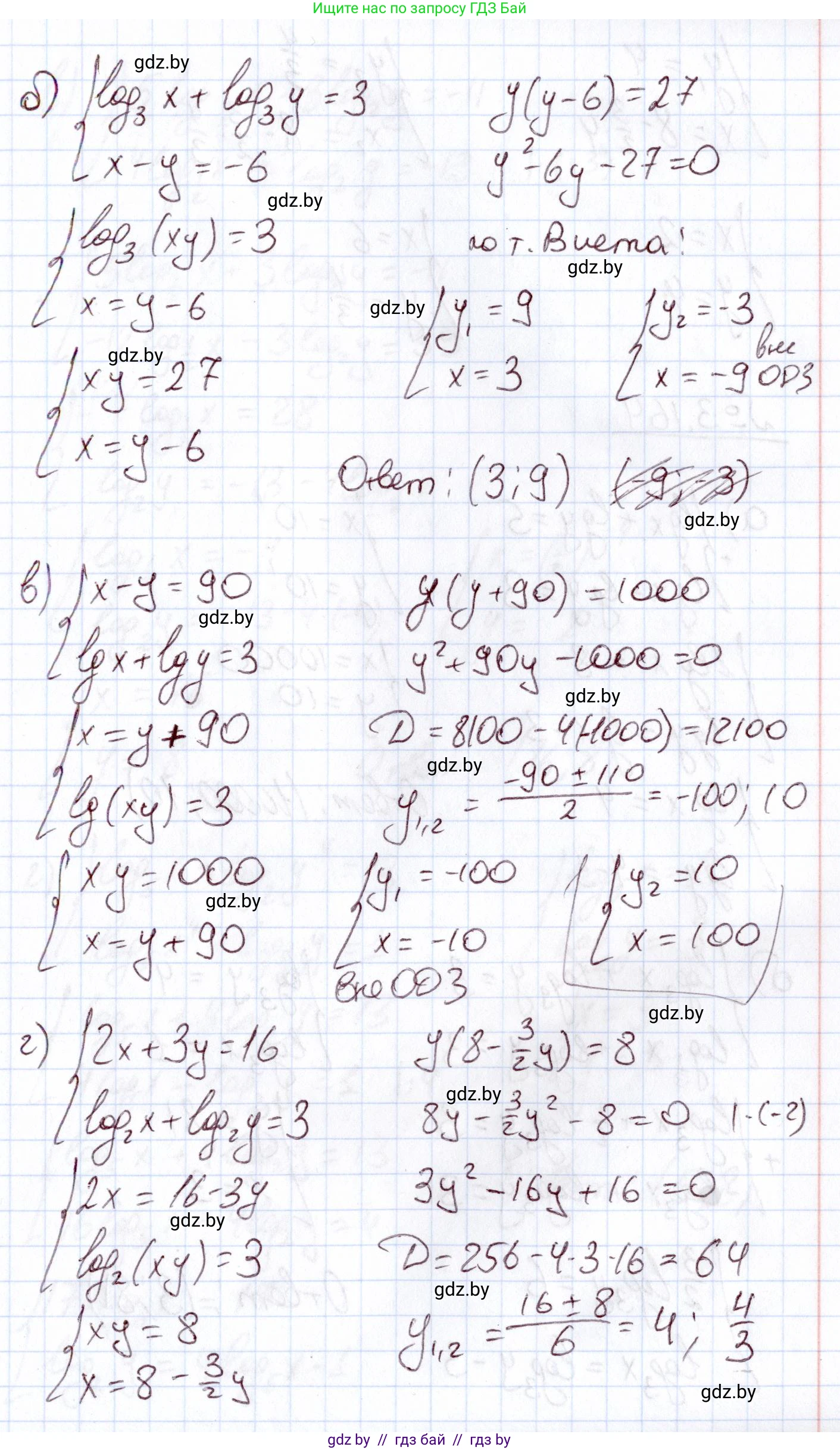
б) $\begin{cases} \log_3 x + \log_3 y = 3, \\ x - y = -6; \end{cases}$
в) $\begin{cases} x - y = 90, \\ \lg x + \lg y = 3; \end{cases}$
г) $\begin{cases} 2x + 3y = 16, \\ \log_2 x + \log_2 y = 3. \end{cases}$
Решение. №3.163 (с. 141)
Решение 2. №3.163 (с. 141)
а) $ \begin{cases} \log_4 x + \log_4 y = 1, \\ y - 2x = 7; \end{cases} $
Область допустимых значений (ОДЗ): $x > 0$, $y > 0$.
Преобразуем первое уравнение системы, используя свойство логарифмов $\log_a b + \log_a c = \log_a (bc)$:
$\log_4(xy) = 1$
По определению логарифма:
$xy = 4^1$
$xy = 4$
Теперь система имеет вид:
$ \begin{cases} xy = 4, \\ y - 2x = 7. \end{cases} $
Из второго уравнения выразим $y$ через $x$:
$y = 2x + 7$
Подставим это выражение в первое уравнение:
$x(2x + 7) = 4$
$2x^2 + 7x - 4 = 0$
Решим полученное квадратное уравнение. Найдем дискриминант:
$D = b^2 - 4ac = 7^2 - 4 \cdot 2 \cdot (-4) = 49 + 32 = 81$
Найдем корни:
$x_1 = \frac{-7 - \sqrt{81}}{2 \cdot 2} = \frac{-7 - 9}{4} = \frac{-16}{4} = -4$
$x_2 = \frac{-7 + \sqrt{81}}{2 \cdot 2} = \frac{-7 + 9}{4} = \frac{2}{4} = \frac{1}{2}$
Проверим корни на соответствие ОДЗ ($x > 0$).
$x_1 = -4$ не удовлетворяет условию $x > 0$.
$x_2 = 1/2$ удовлетворяет условию $x > 0$.
Найдем соответствующее значение $y$ для $x = 1/2$:
$y = 2 \cdot (\frac{1}{2}) + 7 = 1 + 7 = 8$
Значение $y=8$ удовлетворяет ОДЗ ($y > 0$).
Решение системы: $(1/2, 8)$.
Ответ: $(\frac{1}{2}, 8)$.
б) $ \begin{cases} \log_3 x + \log_3 y = 3, \\ x - y = -6; \end{cases} $
ОДЗ: $x > 0$, $y > 0$.
Преобразуем первое уравнение:
$\log_3(xy) = 3$
$xy = 3^3$
$xy = 27$
Получим систему:
$ \begin{cases} xy = 27, \\ x - y = -6. \end{cases} $
Из второго уравнения выразим $x$:
$x = y - 6$
Подставим в первое уравнение:
$(y - 6)y = 27$
$y^2 - 6y - 27 = 0$
Решим квадратное уравнение. По теореме Виета:
$y_1 + y_2 = 6$
$y_1 \cdot y_2 = -27$
Корни: $y_1 = 9$, $y_2 = -3$.
Проверим корни на соответствие ОДЗ ($y > 0$).
$y_2 = -3$ не удовлетворяет условию.
$y_1 = 9$ удовлетворяет условию.
Найдем соответствующее значение $x$ для $y=9$:
$x = 9 - 6 = 3$
Значение $x=3$ удовлетворяет ОДЗ ($x > 0$).
Решение системы: $(3, 9)$.
Ответ: $(3, 9)$.
в) $ \begin{cases} x - y = 90, \\ \lg x + \lg y = 3; \end{cases} $
ОДЗ: $x > 0$, $y > 0$. (lg - это десятичный логарифм, $\log_{10}$)
Преобразуем второе уравнение:
$\lg(xy) = 3$
$xy = 10^3$
$xy = 1000$
Получим систему:
$ \begin{cases} x - y = 90, \\ xy = 1000. \end{cases} $
Из первого уравнения выразим $x$:
$x = y + 90$
Подставим во второе уравнение:
$(y + 90)y = 1000$
$y^2 + 90y - 1000 = 0$
Решим квадратное уравнение. Найдем дискриминант:
$D = 90^2 - 4 \cdot 1 \cdot (-1000) = 8100 + 4000 = 12100 = 110^2$
Найдем корни:
$y_1 = \frac{-90 - 110}{2} = \frac{-200}{2} = -100$
$y_2 = \frac{-90 + 110}{2} = \frac{20}{2} = 10$
Проверим корни на соответствие ОДЗ ($y > 0$).
$y_1 = -100$ не удовлетворяет условию.
$y_2 = 10$ удовлетворяет условию.
Найдем соответствующее значение $x$ для $y=10$:
$x = 10 + 90 = 100$
Значение $x=100$ удовлетворяет ОДЗ ($x > 0$).
Решение системы: $(100, 10)$.
Ответ: $(100, 10)$.
г) $ \begin{cases} 2x + 3y = 16, \\ \log_2 x + \log_2 y = 3. \end{cases} $
ОДЗ: $x > 0$, $y > 0$.
Преобразуем второе уравнение:
$\log_2(xy) = 3$
$xy = 2^3$
$xy = 8$
Получим систему:
$ \begin{cases} 2x + 3y = 16, \\ xy = 8. \end{cases} $
Из второго уравнения выразим $x$ (так как $y > 0$, то $y \neq 0$):
$x = \frac{8}{y}$
Подставим в первое уравнение:
$2 \cdot (\frac{8}{y}) + 3y = 16$
$\frac{16}{y} + 3y = 16$
Умножим обе части уравнения на $y$:
$16 + 3y^2 = 16y$
$3y^2 - 16y + 16 = 0$
Решим квадратное уравнение. Найдем дискриминант:
$D = (-16)^2 - 4 \cdot 3 \cdot 16 = 256 - 192 = 64$
Найдем корни:
$y_1 = \frac{16 - \sqrt{64}}{2 \cdot 3} = \frac{16 - 8}{6} = \frac{8}{6} = \frac{4}{3}$
$y_2 = \frac{16 + \sqrt{64}}{2 \cdot 3} = \frac{16 + 8}{6} = \frac{24}{6} = 4$
Оба корня удовлетворяют ОДЗ ($y > 0$). Найдем соответствующие значения $x$.
1. Если $y_1 = 4/3$:
$x_1 = \frac{8}{4/3} = 8 \cdot \frac{3}{4} = 6$. Значение $x_1=6$ удовлетворяет ОДЗ ($x > 0$).
2. Если $y_2 = 4$:
$x_2 = \frac{8}{4} = 2$. Значение $x_2=2$ удовлетворяет ОДЗ ($x > 0$).
Система имеет два решения: $(6, 4/3)$ и $(2, 4)$.
Ответ: $(2, 4), (6, \frac{4}{3})$.
Другие задания:
Помогло решение? Оставьте отзыв в комментариях ниже.
Присоединяйтесь к Телеграм-группе @gdz_by_belarus
ПрисоединитьсяМы подготовили для вас ответ c подробным объяснением домашего задания по алгебре за 11 класс, для упражнения номер 3.163 расположенного на странице 141 к учебнику 2020 года издания для учащихся школ и гимназий.
Теперь на нашем сайте ГДЗ.ТОП вы всегда легко и бесплатно найдёте условие с правильным ответом на вопрос «Как решить ДЗ» и «Как сделать» задание по алгебре к упражнению №3.163 (с. 141), авторов: Арефьева (Ирина Глебовна), Пирютко (Ольга Николаевна), учебного пособия издательства Народная асвета.