Номер 3.168, страница 142 - гдз по алгебре 11 класс учебник Арефьева, Пирютко

Алгебра, 11 класс Учебник, авторы: Арефьева Ирина Глебовна, Пирютко Ольга Николаевна, издательство Народная асвета, Минск, 2020, бирюзового цвета

Авторы: Арефьева И. Г., Пирютко О. Н.

Тип: Учебник

Издательство: Народная асвета

Год издания: 2020 - 2026

Цвет обложки: бирюзовый, зелёный с графиком

ISBN: 978-985-03-3165-6

Популярные ГДЗ в 11 классе

Глава 3. Логарифмическая функция. Параграф 9. Логарифмические уравнения - номер 3.168, страница 142.

№3.168 (с. 142)
Условие. №3.168 (с. 142)
скриншот условия
Алгебра, 11 класс Учебник, авторы: Арефьева Ирина Глебовна, Пирютко Ольга Николаевна, издательство Народная асвета, Минск, 2020, бирюзового цвета, страница 142, номер 3.168, Условие

3.168*. Решите уравнение:

а) $\lg^2 (-x) + \lg x^2 - 3 = 0,$

б) $4\log_4^2 (-x) + 2\log_4 x^2 = -1.$

Решение. №3.168 (с. 142)
Алгебра, 11 класс Учебник, авторы: Арефьева Ирина Глебовна, Пирютко Ольга Николаевна, издательство Народная асвета, Минск, 2020, бирюзового цвета, страница 142, номер 3.168, Решение Алгебра, 11 класс Учебник, авторы: Арефьева Ирина Глебовна, Пирютко Ольга Николаевна, издательство Народная асвета, Минск, 2020, бирюзового цвета, страница 142, номер 3.168, Решение (продолжение 2)
Решение 2. №3.168 (с. 142)

а) $\lg^2(-x) + \lg x^2 - 3 = 0$

1. Найдем область допустимых значений (ОДЗ). Аргументы логарифмов должны быть строго положительными:
$\begin{cases} -x > 0 \\ x^2 > 0 \end{cases}$
Из первого неравенства получаем $x < 0$.
Из второго неравенства получаем $x \neq 0$.
Объединяя эти условия, получаем ОДЗ: $x < 0$.

2. Преобразуем уравнение, используя свойство логарифма $\log_a b^c = c \log_a |b|$.
$\lg x^2 = 2 \lg|x|$.
Так как согласно ОДЗ $x < 0$, то $|x| = -x$.
Следовательно, $\lg x^2 = 2 \lg(-x)$.

3. Подставим полученное выражение в исходное уравнение:
$\lg^2(-x) + 2 \lg(-x) - 3 = 0$.

4. Сделаем замену переменной. Пусть $t = \lg(-x)$. Уравнение примет вид квадратного уравнения относительно $t$:
$t^2 + 2t - 3 = 0$.

5. Решим квадратное уравнение. По теореме Виета, сумма корней равна $-2$, а произведение равно $-3$.
Корни уравнения: $t_1 = 1$ и $t_2 = -3$.

6. Выполним обратную замену.
Для $t_1 = 1$:
$\lg(-x) = 1$
По определению десятичного логарифма:
$-x = 10^1$
$-x = 10$
$x_1 = -10$.

Для $t_2 = -3$:
$\lg(-x) = -3$
$-x = 10^{-3}$
$-x = 0.001$
$x_2 = -0.001$.

7. Проверим, принадлежат ли найденные корни ОДЗ ($x < 0$).
Корень $x_1 = -10$ удовлетворяет условию $x < 0$.
Корень $x_2 = -0.001$ удовлетворяет условию $x < 0$.
Оба корня являются решениями уравнения.

Ответ: $-10; -0.001$.


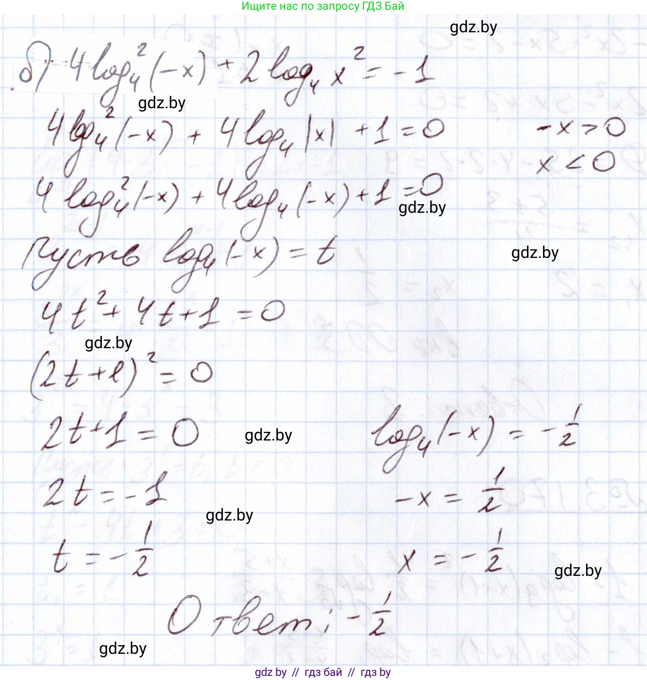
б) $4\log_4^2(-x) + 2\log_4 x^2 = -1$

1. Найдем область допустимых значений (ОДЗ):
$\begin{cases} -x > 0 \\ x^2 > 0 \end{cases} \implies \begin{cases} x < 0 \\ x \neq 0 \end{cases} \implies x < 0$.

2. Преобразуем член уравнения $2\log_4 x^2$.
Используя свойство логарифма $\log_a b^c = c \log_a |b|$, получаем:
$2\log_4 x^2 = 2 \cdot (2 \log_4|x|) = 4 \log_4|x|$.
Так как по ОДЗ $x < 0$, то $|x| = -x$.
Следовательно, $2\log_4 x^2 = 4 \log_4(-x)$.

3. Подставим полученное выражение в исходное уравнение:
$4\log_4^2(-x) + 4\log_4(-x) = -1$.
Перенесем все члены в левую часть:
$4\log_4^2(-x) + 4\log_4(-x) + 1 = 0$.

4. Сделаем замену переменной. Пусть $y = \log_4(-x)$. Уравнение примет вид:
$4y^2 + 4y + 1 = 0$.

5. Решим полученное квадратное уравнение. Заметим, что левая часть является полным квадратом:
$(2y + 1)^2 = 0$
$2y + 1 = 0$
$2y = -1$
$y = -\frac{1}{2}$.

6. Выполним обратную замену:
$\log_4(-x) = -\frac{1}{2}$
По определению логарифма:
$-x = 4^{-1/2}$
$-x = \frac{1}{4^{1/2}}$
$-x = \frac{1}{\sqrt{4}}$
$-x = \frac{1}{2}$
$x = -\frac{1}{2}$.

7. Проверим, принадлежит ли найденный корень ОДЗ ($x < 0$).
$x = -0.5$ удовлетворяет условию $x < 0$.

Ответ: $-0.5$.

Помогло решение? Оставьте отзыв в комментариях ниже.

Присоединяйтесь к Телеграм-группе @gdz_by_belarus

Присоединиться

Мы подготовили для вас ответ c подробным объяснением домашего задания по алгебре за 11 класс, для упражнения номер 3.168 расположенного на странице 142 к учебнику 2020 года издания для учащихся школ и гимназий.

Теперь на нашем сайте ГДЗ.ТОП вы всегда легко и бесплатно найдёте условие с правильным ответом на вопрос «Как решить ДЗ» и «Как сделать» задание по алгебре к упражнению №3.168 (с. 142), авторов: Арефьева (Ирина Глебовна), Пирютко (Ольга Николаевна), учебного пособия издательства Народная асвета.