Номер 3.238, страница 158 - гдз по алгебре 11 класс учебник Арефьева, Пирютко
Авторы: Арефьева И. Г., Пирютко О. Н.
Тип: Учебник
Издательство: Народная асвета
Год издания: 2020 - 2026
Цвет обложки: бирюзовый, зелёный с графиком
ISBN: 978-985-03-3165-6
Популярные ГДЗ в 11 классе
Глава 3. Логарифмическая функция. Параграф 10. Логарифмические неравенства - номер 3.238, страница 158.
№3.238 (с. 158)
Условие. №3.238 (с. 158)
скриншот условия
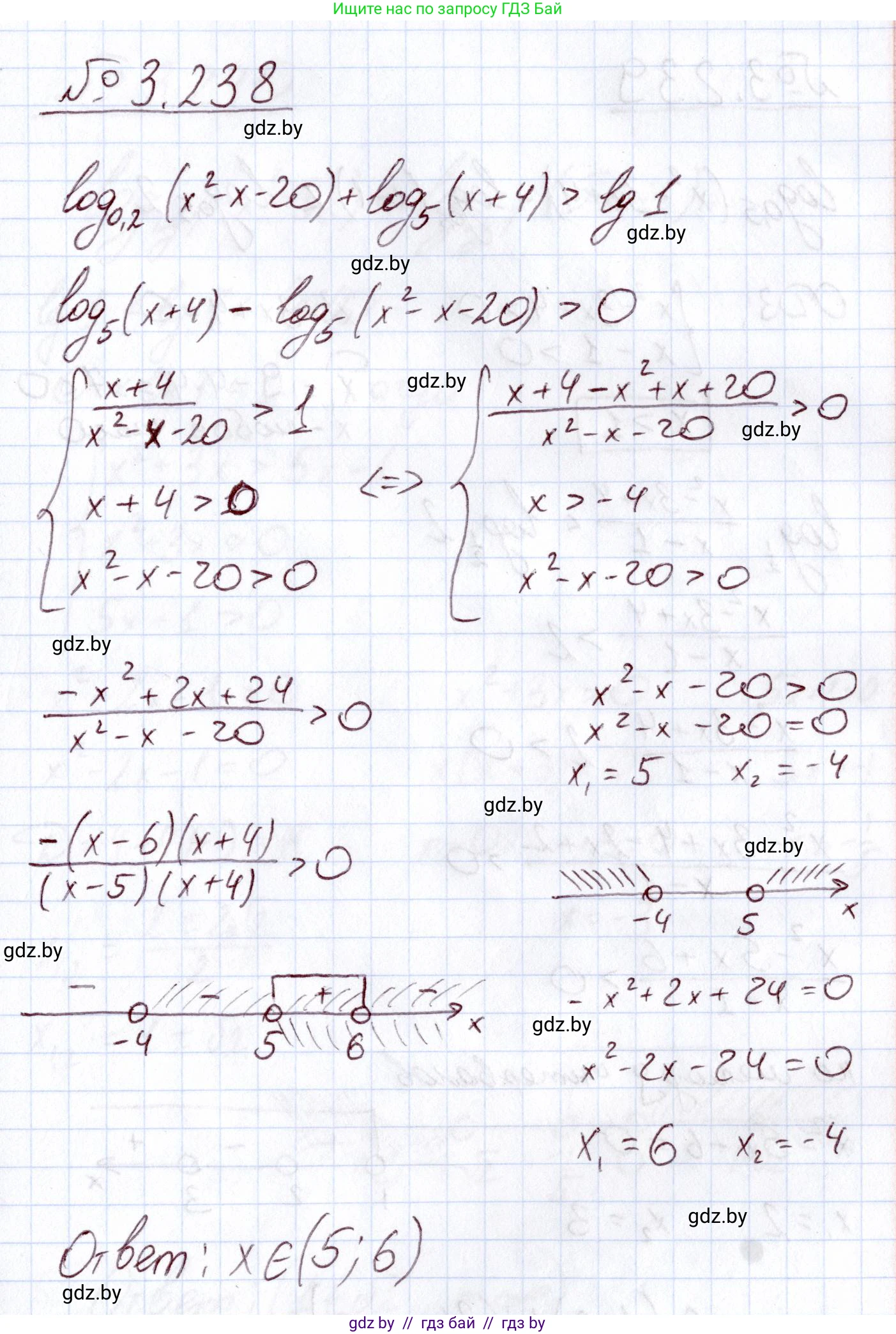
3.238*. Решите неравенство $\log_{0.2} (x^2 - x - 20) + \log_{5} (x + 4) > \lg 1$
Решение. №3.238 (с. 158)
Решение 2. №3.238 (с. 158)
Исходное неравенство:
$\log_{0,2}(x^2 - x - 20) + \log_5(x + 4) > \lg 1$
1. Найдем область допустимых значений (ОДЗ).
Аргументы логарифмов должны быть строго положительными. Это приводит к системе неравенств:
$\begin{cases} x^2 - x - 20 > 0 \\ x + 4 > 0 \end{cases}$
Решим первое неравенство: $x^2 - x - 20 > 0$.
Найдем корни квадратного уравнения $x^2 - x - 20 = 0$. По теореме Виета (или через дискриминант) корни равны $x_1 = 5$ и $x_2 = -4$.
Парабола $y = x^2 - x - 20$ имеет ветви, направленные вверх, поэтому неравенство выполняется при значениях $x$ вне интервала между корнями:
$x \in (-\infty, -4) \cup (5, \infty)$.
Решим второе неравенство: $x + 4 > 0$.
$x > -4$.
Теперь найдем пересечение решений системы, чтобы определить ОДЗ:
$\begin{cases} x \in (-\infty, -4) \cup (5, \infty) \\ x > -4 \end{cases}$
Пересечением этих двух условий является интервал $(5, \infty)$. Таким образом, ОДЗ: $x > 5$.
2. Преобразуем и решим неравенство.
Упростим правую часть неравенства: $\lg 1 = 0$.
Приведем логарифмы в левой части к одному основанию. Заметим, что $0,2 = \frac{1}{5} = 5^{-1}$.
Используя свойство логарифма $\log_{a^k} b = \frac{1}{k} \log_a b$, получим:
$\log_{0,2}(x^2 - x - 20) = \log_{5^{-1}}(x^2 - x - 20) = -1 \cdot \log_5(x^2 - x - 20) = -\log_5(x^2 - x - 20)$.
Подставим полученное выражение в исходное неравенство:
$-\log_5(x^2 - x - 20) + \log_5(x + 4) > 0$
Перенесем отрицательный логарифм в правую часть:
$\log_5(x + 4) > \log_5(x^2 - x - 20)$
Основание логарифма $5 > 1$, поэтому логарифмическая функция является возрастающей. Это означает, что мы можем перейти к неравенству для аргументов, сохранив знак неравенства:
$x + 4 > x^2 - x - 20$
Перенесем все члены в одну сторону и решим квадратное неравенство:
$0 > x^2 - x - x - 20 - 4$
$x^2 - 2x - 24 < 0$
Найдем корни уравнения $x^2 - 2x - 24 = 0$. Корни равны $x_1 = 6$ и $x_2 = -4$.
Так как ветви параболы $y = x^2 - 2x - 24$ направлены вверх, неравенство выполняется между корнями:
$x \in (-4, 6)$.
3. Найдем окончательное решение.
Решение неравенства должно удовлетворять области допустимых значений. Найдем пересечение полученного интервала $x \in (-4, 6)$ и ОДЗ $x \in (5, \infty)$.
$\begin{cases} -4 < x < 6 \\ x > 5 \end{cases}$
Пересечением этих интервалов является интервал $(5, 6)$.
Ответ: $x \in (5, 6)$.
Другие задания:
Помогло решение? Оставьте отзыв в комментариях ниже.
Присоединяйтесь к Телеграм-группе @gdz_by_belarus
ПрисоединитьсяМы подготовили для вас ответ c подробным объяснением домашего задания по алгебре за 11 класс, для упражнения номер 3.238 расположенного на странице 158 к учебнику 2020 года издания для учащихся школ и гимназий.
Теперь на нашем сайте ГДЗ.ТОП вы всегда легко и бесплатно найдёте условие с правильным ответом на вопрос «Как решить ДЗ» и «Как сделать» задание по алгебре к упражнению №3.238 (с. 158), авторов: Арефьева (Ирина Глебовна), Пирютко (Ольга Николаевна), учебного пособия издательства Народная асвета.