Номер 3.234, страница 157 - гдз по алгебре 11 класс учебник Арефьева, Пирютко

Алгебра, 11 класс Учебник, авторы: Арефьева Ирина Глебовна, Пирютко Ольга Николаевна, издательство Народная асвета, Минск, 2020, бирюзового цвета

Авторы: Арефьева И. Г., Пирютко О. Н.

Тип: Учебник

Издательство: Народная асвета

Год издания: 2020 - 2026

Цвет обложки: бирюзовый, зелёный с графиком

ISBN: 978-985-03-3165-6

Популярные ГДЗ в 11 классе

Глава 3. Логарифмическая функция. Параграф 10. Логарифмические неравенства - номер 3.234, страница 157.

№3.234 (с. 157)
Условие. №3.234 (с. 157)
скриншот условия
Алгебра, 11 класс Учебник, авторы: Арефьева Ирина Глебовна, Пирютко Ольга Николаевна, издательство Народная асвета, Минск, 2020, бирюзового цвета, страница 157, номер 3.234, Условие

3.234. Выполните замену переменной для решения неравенства:

a) $\text{lg}^2 x \le 1;$

б) $\log_{2}^2 x - 4 > 0;$

в) $\log_{2}^2 x - 5\log_{2} x + 4 < 0;$

г) $\log_{3}^2 x - 2\log_{3} x \le 3;$

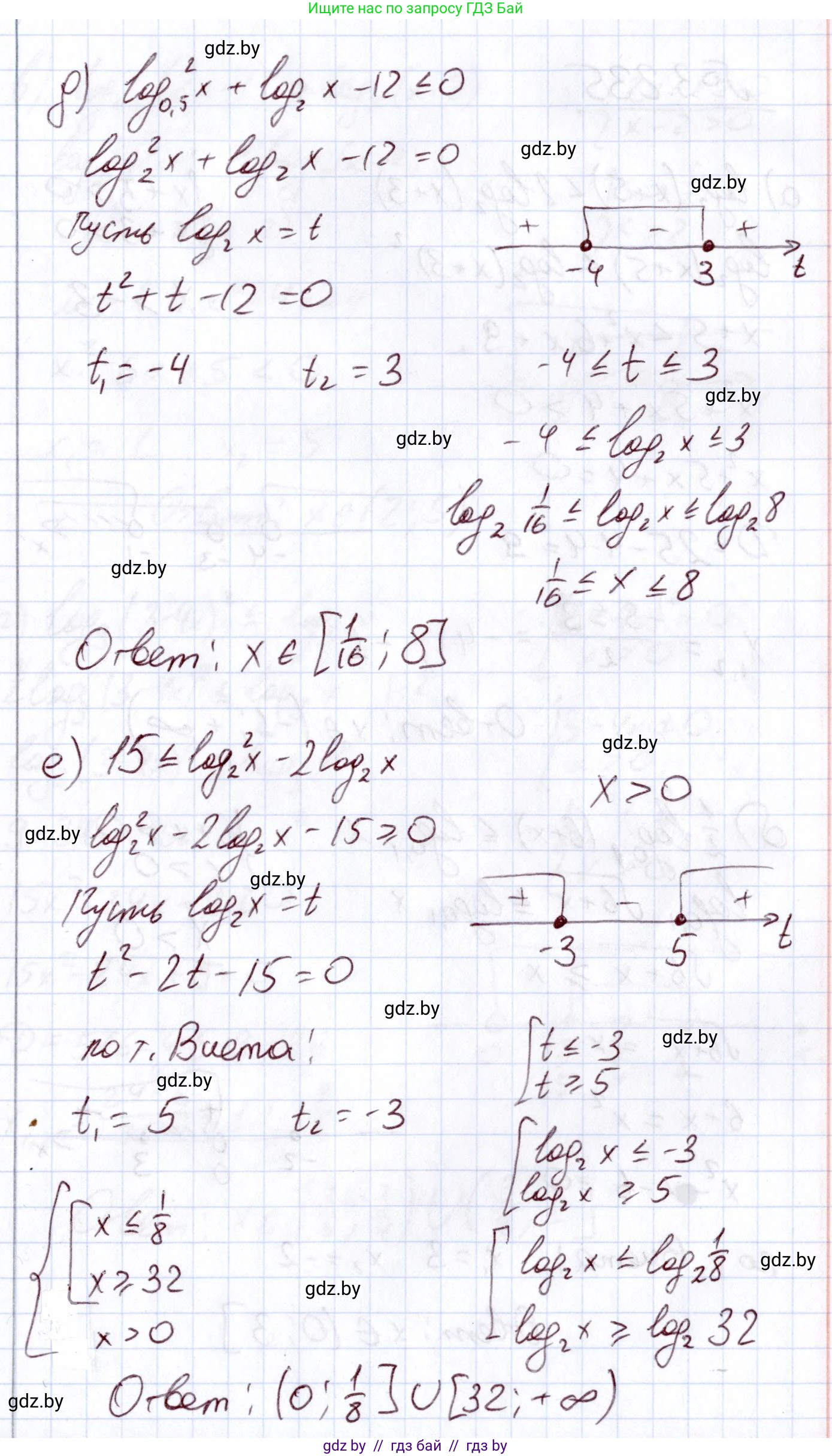
д) $\log_{0.5}^2 x + \log_{2} x - 12 \le 0;$

е) $15 \le \log_{2}^2 x - 2\log_{2} x.$

Решение. №3.234 (с. 157)
Алгебра, 11 класс Учебник, авторы: Арефьева Ирина Глебовна, Пирютко Ольга Николаевна, издательство Народная асвета, Минск, 2020, бирюзового цвета, страница 157, номер 3.234, Решение Алгебра, 11 класс Учебник, авторы: Арефьева Ирина Глебовна, Пирютко Ольга Николаевна, издательство Народная асвета, Минск, 2020, бирюзового цвета, страница 157, номер 3.234, Решение (продолжение 2)
Решение 2. №3.234 (с. 157)

а) Исходное неравенство: $\lg^2 x \le 1$.
Область допустимых значений (ОДЗ): $x > 0$.
Введем замену переменной. Пусть $t = \lg x$. Тогда неравенство принимает вид: $t^2 \le 1$
$t^2 - 1 \le 0$
$(t - 1)(t + 1) \le 0$
Решением этого неравенства является промежуток $-1 \le t \le 1$.
Выполним обратную замену: $-1 \le \lg x \le 1$
Так как основание десятичного логарифма $10 > 1$, функция является возрастающей. Перейдем к потенцированию: $10^{-1} \le x \le 10^1$
$0.1 \le x \le 10$
Полученное решение удовлетворяет ОДЗ $x > 0$.
Ответ: $x \in [0.1; 10]$.

б) Исходное неравенство: $\log_2^2 x - 4 > 0$.
ОДЗ: $x > 0$.
Введем замену переменной. Пусть $t = \log_2 x$. Неравенство примет вид: $t^2 - 4 > 0$
$(t - 2)(t + 2) > 0$
Решением этого неравенства является совокупность $t < -2$ или $t > 2$.
Выполним обратную замену:
1) $\log_2 x < -2$. Так как основание логарифма $2 > 1$, функция возрастающая, знак неравенства сохраняется: $x < 2^{-2} \implies x < \frac{1}{4}$.
2) $\log_2 x > 2$. Аналогично: $x > 2^2 \implies x > 4$.
Объединяя решения и учитывая ОДЗ ($x > 0$), получаем: $0 < x < \frac{1}{4}$ или $x > 4$.
Ответ: $x \in (0; \frac{1}{4}) \cup (4; +\infty)$.

в) Исходное неравенство: $\log_2^2 x - 5\log_2 x + 4 < 0$.
ОДЗ: $x > 0$.
Введем замену. Пусть $t = \log_2 x$. Неравенство становится квадратным: $t^2 - 5t + 4 < 0$
Найдем корни уравнения $t^2 - 5t + 4 = 0$. По теореме Виета $t_1=1$, $t_2=4$.
Решением неравенства $(t-1)(t-4) < 0$ является интервал $1 < t < 4$.
Выполним обратную замену: $1 < \log_2 x < 4$
Так как основание $2 > 1$, функция возрастающая: $2^1 < x < 2^4$
$2 < x < 16$
Это решение удовлетворяет ОДЗ $x > 0$.
Ответ: $x \in (2; 16)$.

г) Исходное неравенство: $\log_3^2 x - 2\log_3 x \le 3$.
Перенесем все в левую часть: $\log_3^2 x - 2\log_3 x - 3 \le 0$.
ОДЗ: $x > 0$.
Введем замену. Пусть $t = \log_3 x$. Получаем: $t^2 - 2t - 3 \le 0$
Найдем корни уравнения $t^2 - 2t - 3 = 0$. По теореме Виета $t_1=-1$, $t_2=3$.
Решением неравенства $(t+1)(t-3) \le 0$ является отрезок $-1 \le t \le 3$.
Выполним обратную замену: $-1 \le \log_3 x \le 3$
Так как основание $3 > 1$, функция возрастающая: $3^{-1} \le x \le 3^3$
$\frac{1}{3} \le x \le 27$
Решение удовлетворяет ОДЗ $x > 0$.
Ответ: $x \in [\frac{1}{3}; 27]$.

д) Исходное неравенство: $\log_{0.5}^2 x + \log_2 x - 12 \le 0$.
ОДЗ: $x > 0$.
Приведем логарифмы к одному основанию. Используем свойство $\log_{a^k} b = \frac{1}{k}\log_a b$: $\log_{0.5} x = \log_{2^{-1}} x = -\log_2 x$.
Подставим в неравенство: $(-\log_2 x)^2 + \log_2 x - 12 \le 0$
$\log_2^2 x + \log_2 x - 12 \le 0$
Введем замену. Пусть $t = \log_2 x$. $t^2 + t - 12 \le 0$
Найдем корни уравнения $t^2 + t - 12 = 0$. По теореме Виета $t_1=-4$, $t_2=3$.
Решением неравенства $(t+4)(t-3) \le 0$ является отрезок $-4 \le t \le 3$.
Выполним обратную замену: $-4 \le \log_2 x \le 3$
Так как основание $2 > 1$, функция возрастающая: $2^{-4} \le x \le 2^3$
$\frac{1}{16} \le x \le 8$
Решение удовлетворяет ОДЗ $x > 0$.
Ответ: $x \in [\frac{1}{16}; 8]$.

е) Исходное неравенство: $15 \le \log_2^2 x - 2\log_2 x$.
Перепишем в стандартном виде: $\log_2^2 x - 2\log_2 x - 15 \ge 0$.
ОДЗ: $x > 0$.
Введем замену. Пусть $t = \log_2 x$. $t^2 - 2t - 15 \ge 0$
Найдем корни уравнения $t^2 - 2t - 15 = 0$. По теореме Виета $t_1=-3$, $t_2=5$.
Решением неравенства $(t+3)(t-5) \ge 0$ является совокупность $t \le -3$ или $t \ge 5$.
Выполним обратную замену:
1) $\log_2 x \le -3$. Так как основание $2 > 1$, функция возрастающая: $x \le 2^{-3} \implies x \le \frac{1}{8}$.
2) $\log_2 x \ge 5$. Аналогично: $x \ge 2^5 \implies x \ge 32$.
Объединяя решения и учитывая ОДЗ ($x > 0$), получаем: $0 < x \le \frac{1}{8}$ или $x \ge 32$.
Ответ: $x \in (0; \frac{1}{8}] \cup [32; +\infty)$.

Помогло решение? Оставьте отзыв в комментариях ниже.

Присоединяйтесь к Телеграм-группе @gdz_by_belarus

Присоединиться

Мы подготовили для вас ответ c подробным объяснением домашего задания по алгебре за 11 класс, для упражнения номер 3.234 расположенного на странице 157 к учебнику 2020 года издания для учащихся школ и гимназий.

Теперь на нашем сайте ГДЗ.ТОП вы всегда легко и бесплатно найдёте условие с правильным ответом на вопрос «Как решить ДЗ» и «Как сделать» задание по алгебре к упражнению №3.234 (с. 157), авторов: Арефьева (Ирина Глебовна), Пирютко (Ольга Николаевна), учебного пособия издательства Народная асвета.