Номер 3.228, страница 156 - гдз по алгебре 11 класс учебник Арефьева, Пирютко

Алгебра, 11 класс Учебник, авторы: Арефьева Ирина Глебовна, Пирютко Ольга Николаевна, издательство Народная асвета, Минск, 2020, бирюзового цвета

Авторы: Арефьева И. Г., Пирютко О. Н.

Тип: Учебник

Издательство: Народная асвета

Год издания: 2020 - 2026

Цвет обложки: бирюзовый, зелёный с графиком

ISBN: 978-985-03-3165-6

Популярные ГДЗ в 11 классе

Глава 3. Логарифмическая функция. Параграф 10. Логарифмические неравенства - номер 3.228, страница 156.

№3.228 (с. 156)
Условие. №3.228 (с. 156)
скриншот условия
Алгебра, 11 класс Учебник, авторы: Арефьева Ирина Глебовна, Пирютко Ольга Николаевна, издательство Народная асвета, Минск, 2020, бирюзового цвета, страница 156, номер 3.228, Условие

3.228. Решите неравенство, представив число в правой его части в виде логарифма числа по заданному основанию:

a) $\log_4(3 - 5x) > -1$

б) $\log_2(8 - 3x) < 1$

в) $\log_{0,2}(15 - 2x) > -2$

г) $\log_{0,5}(15 - 5x) < -1$

Решение. №3.228 (с. 156)
Алгебра, 11 класс Учебник, авторы: Арефьева Ирина Глебовна, Пирютко Ольга Николаевна, издательство Народная асвета, Минск, 2020, бирюзового цвета, страница 156, номер 3.228, Решение Алгебра, 11 класс Учебник, авторы: Арефьева Ирина Глебовна, Пирютко Ольга Николаевна, издательство Народная асвета, Минск, 2020, бирюзового цвета, страница 156, номер 3.228, Решение (продолжение 2)
Решение 2. №3.228 (с. 156)

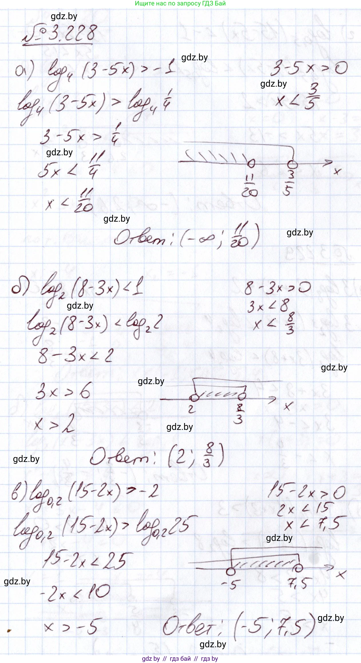
а) $\log_{4}(3-5x) > -1$

Сначала найдем область допустимых значений (ОДЗ). Аргумент логарифма должен быть строго положительным:
$3 - 5x > 0$
$-5x > -3$
$x < \frac{3}{5}$

Теперь представим правую часть неравенства в виде логарифма с основанием 4. Используя свойство $c = \log_a(a^c)$, получаем:
$-1 = \log_{4}(4^{-1}) = \log_{4}(\frac{1}{4})$.
Исходное неравенство принимает вид:
$\log_{4}(3-5x) > \log_{4}(\frac{1}{4})$

Так как основание логарифма $a=4$ больше 1 ($a > 1$), логарифмическая функция является возрастающей. Поэтому при переходе к неравенству для аргументов знак неравенства сохраняется:
$3 - 5x > \frac{1}{4}$
$-5x > \frac{1}{4} - 3$
$-5x > \frac{1-12}{4}$
$-5x > -\frac{11}{4}$
Разделим обе части на -5, при этом знак неравенства меняется на противоположный:
$x < \frac{-11/4}{-5}$
$x < \frac{11}{20}$

Решение неравенства должно удовлетворять ОДЗ. Найдем пересечение полученных условий: $x < \frac{3}{5}$ и $x < \frac{11}{20}$.
Сравним дроби: $\frac{3}{5} = \frac{12}{20}$. Поскольку $\frac{11}{20} < \frac{12}{20}$, то общее решение — это $x < \frac{11}{20}$.

Ответ: $(-\infty; \frac{11}{20})$.

б) $\log_{2}(8-3x) < 1$

Найдем область допустимых значений (ОДЗ). Аргумент логарифма должен быть строго положительным:
$8 - 3x > 0$
$-3x > -8$
$x < \frac{8}{3}$

Представим 1 в виде логарифма по основанию 2:
$1 = \log_{2}(2^1) = \log_{2}(2)$.
Неравенство принимает вид:
$\log_{2}(8-3x) < \log_{2}(2)$

Основание логарифма $a=2$ больше 1, поэтому логарифмическая функция возрастающая. Знак неравенства при переходе к аргументам сохраняется:
$8 - 3x < 2$
$-3x < 2 - 8$
$-3x < -6$
Разделим обе части на -3, меняя знак неравенства:
$x > \frac{-6}{-3}$
$x > 2$

Найдем пересечение решения с ОДЗ: $x < \frac{8}{3}$ и $x > 2$.
Объединяя эти два условия, получаем двойное неравенство: $2 < x < \frac{8}{3}$.

Ответ: $(2; \frac{8}{3})$.

в) $\log_{0,2}(15-2x) > -2$

Найдем ОДЗ:
$15 - 2x > 0$
$-2x > -15$
$x < \frac{15}{2}$

Представим -2 в виде логарифма по основанию 0,2:
$-2 = \log_{0,2}(0,2^{-2}) = \log_{0,2}((\frac{1}{5})^{-2}) = \log_{0,2}(5^2) = \log_{0,2}(25)$.
Неравенство принимает вид:
$\log_{0,2}(15-2x) > \log_{0,2}(25)$

Основание логарифма $a=0,2$ находится в интервале $(0; 1)$, поэтому логарифмическая функция является убывающей. При переходе к неравенству для аргументов знак неравенства меняется на противоположный:
$15 - 2x < 25$
$-2x < 25 - 15$
$-2x < 10$
Разделим обе части на -2, снова меняя знак неравенства:
$x > \frac{10}{-2}$
$x > -5$

Найдем пересечение решения с ОДЗ: $x < \frac{15}{2}$ и $x > -5$.
Объединяя эти условия, получаем интервал: $-5 < x < \frac{15}{2}$.

Ответ: $(-5; \frac{15}{2})$.

г) $\log_{0,5}(15-5x) < -1$

Найдем ОДЗ:
$15 - 5x > 0$
$-5x > -15$
$x < 3$

Представим -1 в виде логарифма по основанию 0,5:
$-1 = \log_{0,5}(0,5^{-1}) = \log_{0,5}((\frac{1}{2})^{-1}) = \log_{0,5}(2)$.
Неравенство принимает вид:
$\log_{0,5}(15-5x) < \log_{0,5}(2)$

Основание логарифма $a=0,5$ находится в интервале $(0; 1)$, поэтому функция убывающая. Знак неравенства при переходе к аргументам меняется на противоположный:
$15 - 5x > 2$
$-5x > 2 - 15$
$-5x > -13$
Разделим обе части на -5, меняя знак неравенства:
$x < \frac{-13}{-5}$
$x < \frac{13}{5}$

Найдем пересечение решения с ОДЗ: $x < 3$ и $x < \frac{13}{5}$.
Сравним числа: $\frac{13}{5} = 2,6$. Так как $2,6 < 3$, то общее решение — это $x < \frac{13}{5}$.

Ответ: $(-\infty; \frac{13}{5})$.

Помогло решение? Оставьте отзыв в комментариях ниже.

Присоединяйтесь к Телеграм-группе @gdz_by_belarus

Присоединиться

Мы подготовили для вас ответ c подробным объяснением домашего задания по алгебре за 11 класс, для упражнения номер 3.228 расположенного на странице 156 к учебнику 2020 года издания для учащихся школ и гимназий.

Теперь на нашем сайте ГДЗ.ТОП вы всегда легко и бесплатно найдёте условие с правильным ответом на вопрос «Как решить ДЗ» и «Как сделать» задание по алгебре к упражнению №3.228 (с. 156), авторов: Арефьева (Ирина Глебовна), Пирютко (Ольга Николаевна), учебного пособия издательства Народная асвета.