Номер 3.230, страница 156 - гдз по алгебре 11 класс учебник Арефьева, Пирютко

Алгебра, 11 класс Учебник, авторы: Арефьева Ирина Глебовна, Пирютко Ольга Николаевна, издательство Народная асвета, Минск, 2020, бирюзового цвета

Авторы: Арефьева И. Г., Пирютко О. Н.

Тип: Учебник

Издательство: Народная асвета

Год издания: 2020 - 2026

Цвет обложки: бирюзовый, зелёный с графиком

ISBN: 978-985-03-3165-6

Популярные ГДЗ в 11 классе

Глава 3. Логарифмическая функция. Параграф 10. Логарифмические неравенства - номер 3.230, страница 156.

№3.230 (с. 156)
Условие. №3.230 (с. 156)
скриншот условия
Алгебра, 11 класс Учебник, авторы: Арефьева Ирина Глебовна, Пирютко Ольга Николаевна, издательство Народная асвета, Минск, 2020, бирюзового цвета, страница 156, номер 3.230, Условие

3.230. Решите неравенство:

a) $\log_{\frac{1}{4}}(x^2 - 3x) > -1;$

б) $\log_2(x^2 + 3x) \le 2;$

в) $\log_3(x^2 + 2x + 12) \le 3;$

г) $\log_{\frac{1}{2}}(x^2 + 2x - 8) \ge -4;$

д) $\log_2(x^2 + 5x + 7) > 0;$

е) $\log_3(x^2 - 6x + 9) \le 0.$

Решение. №3.230 (с. 156)
Алгебра, 11 класс Учебник, авторы: Арефьева Ирина Глебовна, Пирютко Ольга Николаевна, издательство Народная асвета, Минск, 2020, бирюзового цвета, страница 156, номер 3.230, Решение Алгебра, 11 класс Учебник, авторы: Арефьева Ирина Глебовна, Пирютко Ольга Николаевна, издательство Народная асвета, Минск, 2020, бирюзового цвета, страница 156, номер 3.230, Решение (продолжение 2)
Решение 2. №3.230 (с. 156)

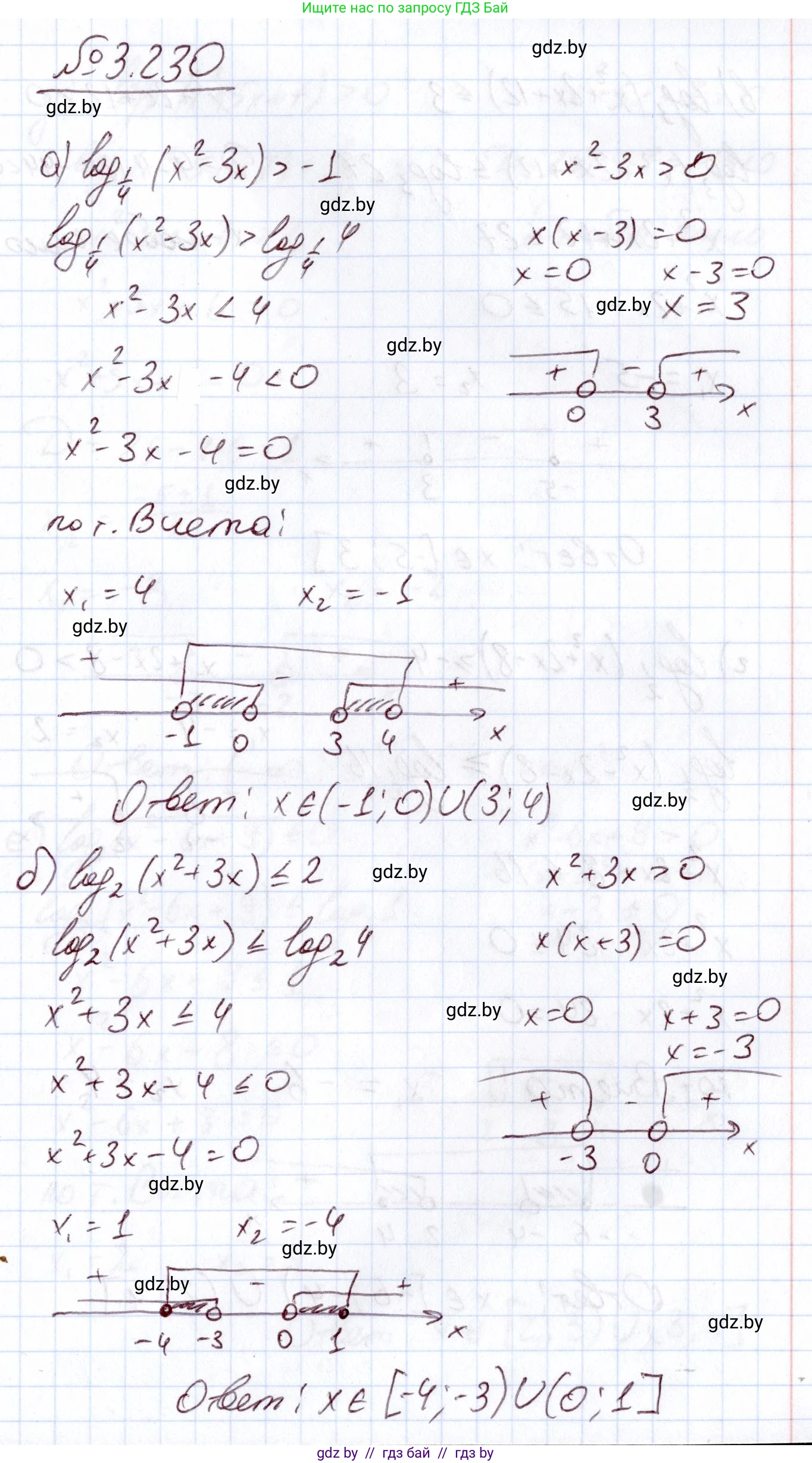
а) $log_{\frac{1}{4}}(x^2 - 3x) > -1$

1. Найдем область допустимых значений (ОДЗ). Выражение под знаком логарифма должно быть строго положительным:
$x^2 - 3x > 0$
$x(x - 3) > 0$
Решением этого неравенства является объединение интервалов $x \in (-\infty, 0) \cup (3, \infty)$.
2. Решим само неравенство. Представим правую часть в виде логарифма с тем же основанием:
$-1 = \log_{\frac{1}{4}}((\frac{1}{4})^{-1}) = \log_{\frac{1}{4}}(4)$
Неравенство принимает вид: $\log_{\frac{1}{4}}(x^2 - 3x) > \log_{\frac{1}{4}}(4)$.
Так как основание логарифма $a = \frac{1}{4}$ находится в интервале $(0, 1)$, логарифмическая функция является убывающей. При переходе к неравенству для аргументов знак неравенства меняется на противоположный:
$x^2 - 3x < 4$
$x^2 - 3x - 4 < 0$
Найдем корни уравнения $x^2 - 3x - 4 = 0$. По теореме Виета, корни равны $x_1 = 4, x_2 = -1$.
Решением квадратного неравенства является интервал $x \in (-1, 4)$.
3. Найдем пересечение решения неравенства с ОДЗ:
$(-1, 4) \cap ((-\infty, 0) \cup (3, \infty))$
Пересечением является $x \in (-1, 0) \cup (3, 4)$.
Ответ: $x \in (-1, 0) \cup (3, 4)$.

б) $\log_{2}(x^2 + 3x) \le 2$

1. ОДЗ: $x^2 + 3x > 0 \implies x(x + 3) > 0$.
Решением является $x \in (-\infty, -3) \cup (0, \infty)$.
2. Решаем неравенство. Представим правую часть в виде логарифма с основанием 2:
$2 = \log_{2}(2^2) = \log_{2}(4)$
Неравенство принимает вид: $\log_{2}(x^2 + 3x) \le \log_{2}(4)$.
Так как основание логарифма $a=2 > 1$, логарифмическая функция является возрастающей. Знак неравенства сохраняется:
$x^2 + 3x \le 4$
$x^2 + 3x - 4 \le 0$
Корни уравнения $x^2 + 3x - 4 = 0$ равны $x_1 = 1, x_2 = -4$.
Решением квадратного неравенства является отрезок $x \in [-4, 1]$.
3. Найдем пересечение решения с ОДЗ:
$[-4, 1] \cap ((-\infty, -3) \cup (0, \infty))$
Пересечением является $x \in [-4, -3) \cup (0, 1]$.
Ответ: $x \in [-4, -3) \cup (0, 1]$.

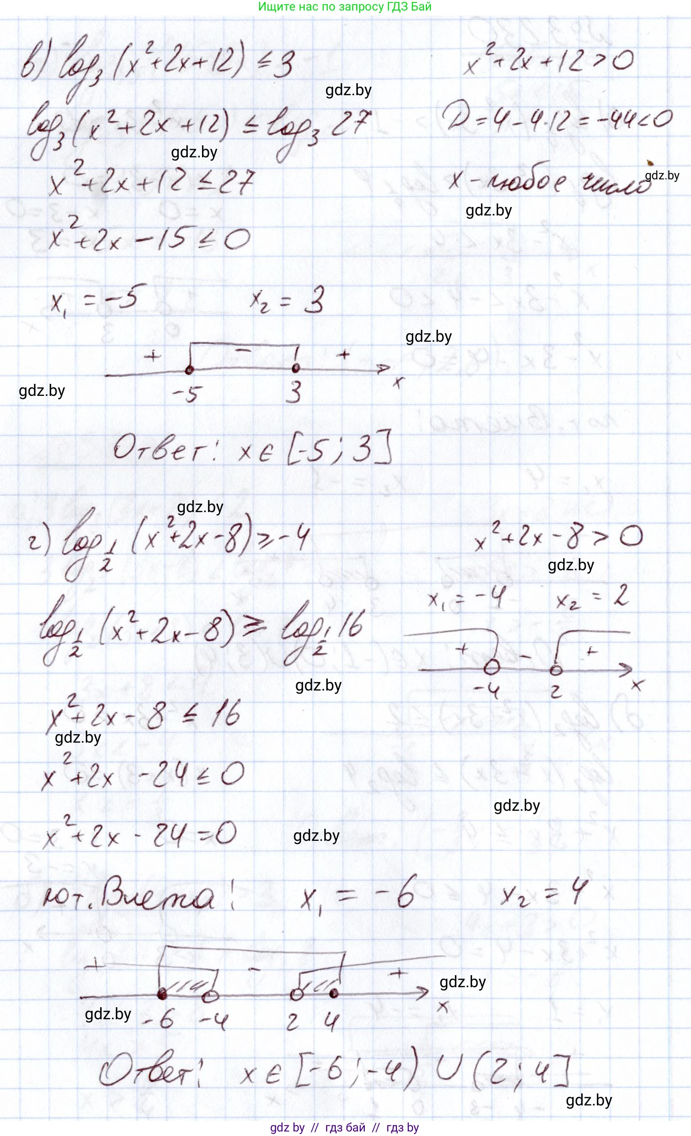
в) $\log_{3}(x^2 + 2x + 12) \le 3$

1. ОДЗ: $x^2 + 2x + 12 > 0$.
Дискриминант квадратного трехчлена $D = 2^2 - 4 \cdot 1 \cdot 12 = 4 - 48 = -44$.
Так как $D < 0$ и старший коэффициент $a=1 > 0$, выражение $x^2 + 2x + 12$ положительно при любых $x$.
ОДЗ: $x \in (-\infty, \infty)$.
2. Решаем неравенство. Представим правую часть в виде логарифма с основанием 3:
$3 = \log_{3}(3^3) = \log_{3}(27)$
Неравенство принимает вид: $\log_{3}(x^2 + 2x + 12) \le \log_{3}(27)$.
Так как основание $a=3 > 1$, знак неравенства сохраняется:
$x^2 + 2x + 12 \le 27$
$x^2 + 2x - 15 \le 0$
Корни уравнения $x^2 + 2x - 15 = 0$ равны $x_1 = 3, x_2 = -5$.
Решением является отрезок $x \in [-5, 3]$.
3. Так как ОДЗ — все действительные числа, решение совпадает с решением из пункта 2.
Ответ: $x \in [-5, 3]$.

г) $\log_{\frac{1}{2}}(x^2 + 2x - 8) \ge -4$

1. ОДЗ: $x^2 + 2x - 8 > 0$.
Корни уравнения $x^2 + 2x - 8 = 0$ равны $x_1 = 2, x_2 = -4$.
Решением является $x \in (-\infty, -4) \cup (2, \infty)$.
2. Решаем неравенство. Представим правую часть в виде логарифма с основанием $\frac{1}{2}$:
$-4 = \log_{\frac{1}{2}}((\frac{1}{2})^{-4}) = \log_{\frac{1}{2}}(16)$
Неравенство: $\log_{\frac{1}{2}}(x^2 + 2x - 8) \ge \log_{\frac{1}{2}}(16)$.
Так как основание $a = \frac{1}{2} < 1$, знак неравенства меняется на противоположный:
$x^2 + 2x - 8 \le 16$
$x^2 + 2x - 24 \le 0$
Корни уравнения $x^2 + 2x - 24 = 0$ равны $x_1 = 4, x_2 = -6$.
Решением является отрезок $x \in [-6, 4]$.
3. Найдем пересечение решения с ОДЗ:
$[-6, 4] \cap ((-\infty, -4) \cup (2, \infty))$
Пересечением является $x \in [-6, -4) \cup (2, 4]$.
Ответ: $x \in [-6, -4) \cup (2, 4]$.

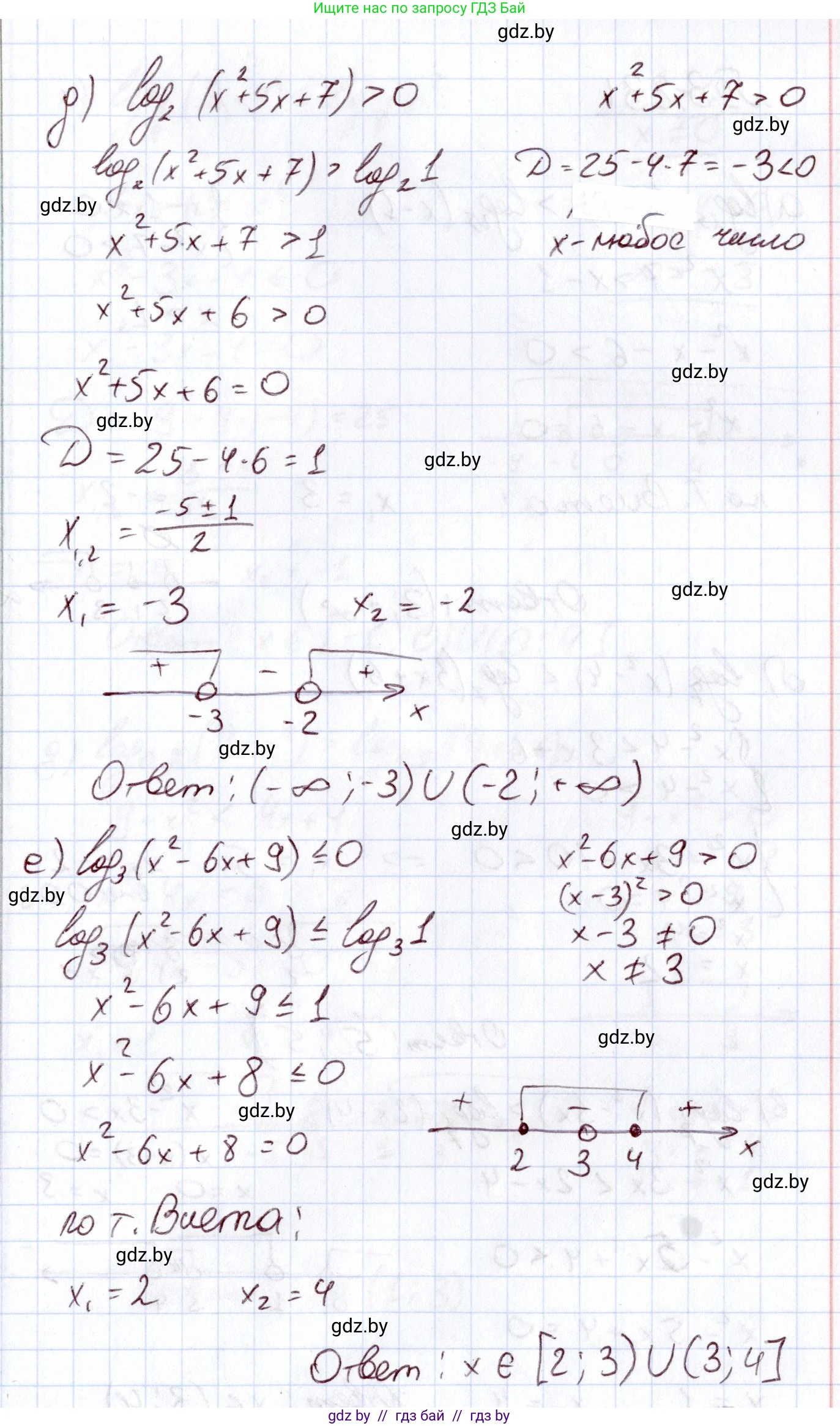
д) $\log_{2}(x^2 + 5x + 7) > 0$

1. ОДЗ: $x^2 + 5x + 7 > 0$.
Дискриминант $D = 5^2 - 4 \cdot 1 \cdot 7 = 25 - 28 = -3$.
Так как $D < 0$ и $a=1 > 0$, выражение $x^2 + 5x + 7$ положительно при любых $x$.
ОДЗ: $x \in (-\infty, \infty)$.
2. Решаем неравенство. Представим правую часть в виде логарифма:
$0 = \log_{2}(1)$
Неравенство: $\log_{2}(x^2 + 5x + 7) > \log_{2}(1)$.
Так как основание $a=2 > 1$, знак неравенства сохраняется:
$x^2 + 5x + 7 > 1$
$x^2 + 5x + 6 > 0$
Корни уравнения $x^2 + 5x + 6 = 0$ равны $x_1 = -2, x_2 = -3$.
Решением является $x \in (-\infty, -3) \cup (-2, \infty)$.
3. Так как ОДЗ — все действительные числа, итоговое решение совпадает с решением из пункта 2.
Ответ: $x \in (-\infty, -3) \cup (-2, \infty)$.

е) $\log_{3}(x^2 - 6x + 9) \le 0$

1. ОДЗ: $x^2 - 6x + 9 > 0$.
Это выражение является полным квадратом: $(x-3)^2 > 0$.
Квадрат любого числа, отличного от нуля, положителен. Следовательно, неравенство выполняется для всех $x$, кроме $x=3$.
ОДЗ: $x \in (-\infty, 3) \cup (3, \infty)$.
2. Решаем неравенство. Представим правую часть в виде логарифма:
$0 = \log_{3}(1)$
Неравенство: $\log_{3}((x-3)^2) \le \log_{3}(1)$.
Так как основание $a=3 > 1$, знак неравенства сохраняется:
$(x-3)^2 \le 1$
$x^2 - 6x + 9 \le 1$
$x^2 - 6x + 8 \le 0$
Корни уравнения $x^2 - 6x + 8 = 0$ равны $x_1 = 2, x_2 = 4$.
Решением является отрезок $x \in [2, 4]$.
3. Найдем пересечение решения с ОДЗ. Нужно из отрезка $[2, 4]$ исключить точку $x=3$.
Получаем объединение интервалов $[2, 3) \cup (3, 4]$.
Ответ: $x \in [2, 3) \cup (3, 4]$.

Помогло решение? Оставьте отзыв в комментариях ниже.

Присоединяйтесь к Телеграм-группе @gdz_by_belarus

Присоединиться

Мы подготовили для вас ответ c подробным объяснением домашего задания по алгебре за 11 класс, для упражнения номер 3.230 расположенного на странице 156 к учебнику 2020 года издания для учащихся школ и гимназий.

Теперь на нашем сайте ГДЗ.ТОП вы всегда легко и бесплатно найдёте условие с правильным ответом на вопрос «Как решить ДЗ» и «Как сделать» задание по алгебре к упражнению №3.230 (с. 156), авторов: Арефьева (Ирина Глебовна), Пирютко (Ольга Николаевна), учебного пособия издательства Народная асвета.