Номер 3.247, страница 159 - гдз по алгебре 11 класс учебник Арефьева, Пирютко

Алгебра, 11 класс Учебник, авторы: Арефьева Ирина Глебовна, Пирютко Ольга Николаевна, издательство Народная асвета, Минск, 2020, бирюзового цвета

Авторы: Арефьева И. Г., Пирютко О. Н.

Тип: Учебник

Издательство: Народная асвета

Год издания: 2020 - 2026

Цвет обложки: бирюзовый, зелёный с графиком

ISBN: 978-985-03-3165-6

Популярные ГДЗ в 11 классе

Глава 3. Логарифмическая функция. Параграф 10. Логарифмические неравенства - номер 3.247, страница 159.

№3.247 (с. 159)
Условие. №3.247 (с. 159)
скриншот условия
Алгебра, 11 класс Учебник, авторы: Арефьева Ирина Глебовна, Пирютко Ольга Николаевна, издательство Народная асвета, Минск, 2020, бирюзового цвета, страница 159, номер 3.247, Условие

3.247. Решите неравенство:

a) $\log_3 (x^2 + 8x) \le 2;$

б) $\log_8 (x^2 - 4x + 3) \le 1;$

в) $\log_6 (x^2 - 3x + 2) \ge 1;$

г) $\log_7 (x^2 - 3) > 0.$

Решение. №3.247 (с. 159)
Алгебра, 11 класс Учебник, авторы: Арефьева Ирина Глебовна, Пирютко Ольга Николаевна, издательство Народная асвета, Минск, 2020, бирюзового цвета, страница 159, номер 3.247, Решение Алгебра, 11 класс Учебник, авторы: Арефьева Ирина Глебовна, Пирютко Ольга Николаевна, издательство Народная асвета, Минск, 2020, бирюзового цвета, страница 159, номер 3.247, Решение (продолжение 2)
Решение 2. №3.247 (с. 159)

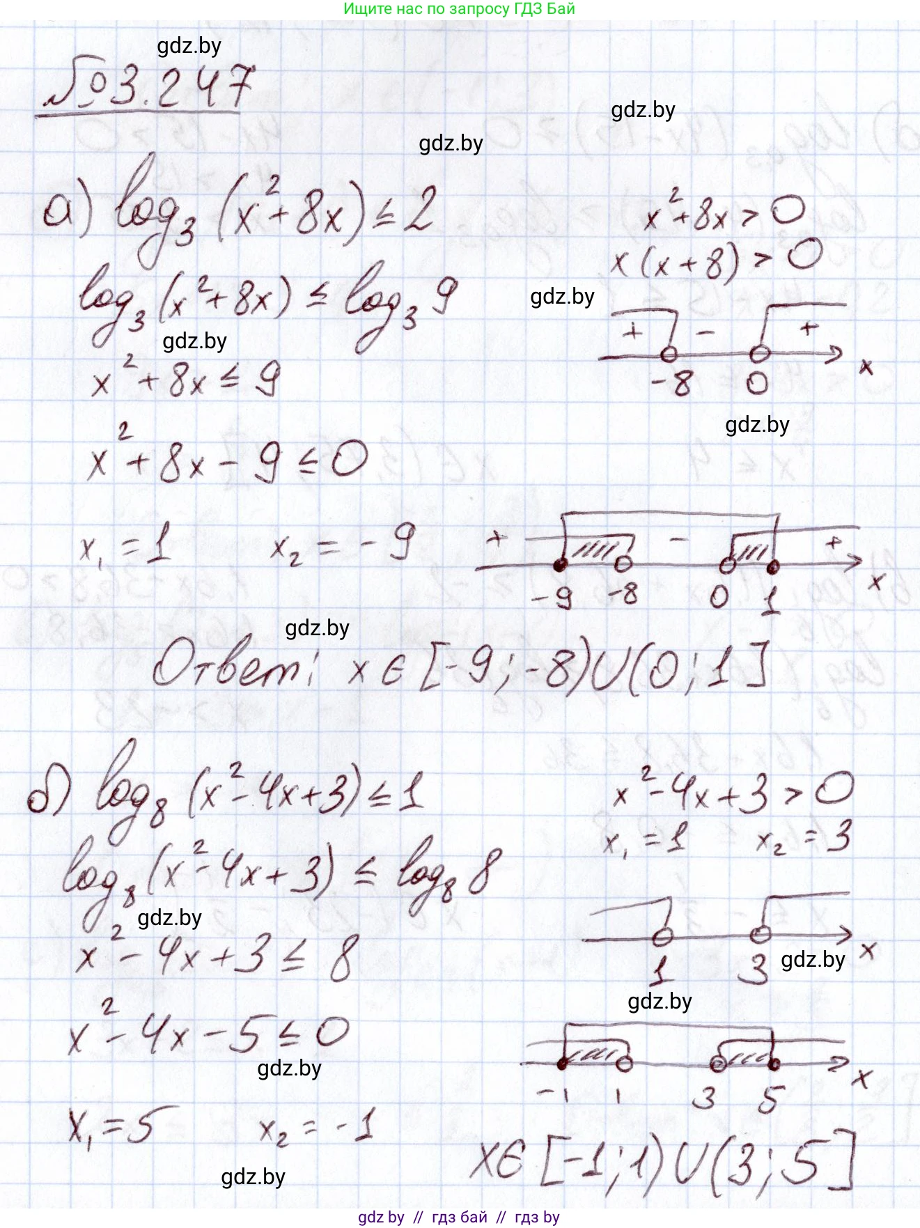
а) $\log_3(x^2 + 8x) \le 2$

Для решения логарифмического неравенства необходимо учесть область допустимых значений (ОДЗ) и решить основное неравенство. Так как основание логарифма $3 > 1$, логарифмическая функция является возрастающей, и при переходе к неравенству для аргументов знак неравенства сохраняется.

1. Найдем ОДЗ: выражение под знаком логарифма должно быть строго положительным.

$x^2 + 8x > 0$

$x(x + 8) > 0$

Корнями уравнения $x(x+8)=0$ являются $x=0$ и $x=-8$. Ветви параболы $y=x^2+8x$ направлены вверх, поэтому неравенство выполняется при $x \in (-\infty, -8) \cup (0, +\infty)$.

2. Решим основное неравенство. Представим правую часть в виде логарифма по основанию 3:

$2 = \log_3(3^2) = \log_3(9)$

$\log_3(x^2 + 8x) \le \log_3(9)$

Так как основание $3 > 1$, переходим к неравенству для аргументов:

$x^2 + 8x \le 9$

$x^2 + 8x - 9 \le 0$

Найдем корни квадратного уравнения $x^2 + 8x - 9 = 0$. По теореме Виета, корни $x_1 = 1$, $x_2 = -9$. Ветви параболы направлены вверх, поэтому неравенство выполняется между корнями: $x \in [-9, 1]$.

3. Найдем пересечение решения неравенства с ОДЗ:

$x \in ([-9, 1]) \cap ((-\infty, -8) \cup (0, +\infty))$

Совмещая оба условия на числовой прямой, получаем итоговое решение.

Ответ: $x \in [-9, -8) \cup (0, 1]$.

б) $\log_8(x^2 - 4x + 3) \le 1$

Решение данного неравенства требует выполнения двух условий: положительности аргумента логарифма (ОДЗ) и самого неравенства. Основание логарифма $8 > 1$, поэтому знак неравенства при потенцировании сохраняется.

1. Область допустимых значений (ОДЗ):

$x^2 - 4x + 3 > 0$

Корни уравнения $x^2 - 4x + 3 = 0$ равны $x_1 = 1$ и $x_2 = 3$. Ветви параболы направлены вверх, значит, решение неравенства: $x \in (-\infty, 1) \cup (3, +\infty)$.

2. Основное неравенство:

$\log_8(x^2 - 4x + 3) \le \log_8(8^1)$

$x^2 - 4x + 3 \le 8$

$x^2 - 4x - 5 \le 0$

Корни уравнения $x^2 - 4x - 5 = 0$ равны $x_1 = 5$ и $x_2 = -1$. Ветви параболы направлены вверх, поэтому решение неравенства: $x \in [-1, 5]$.

3. Пересечение ОДЗ и решения основного неравенства:

$x \in ([-1, 5]) \cap ((-\infty, 1) \cup (3, +\infty))$

Общим решением является объединение интервалов.

Ответ: $x \in [-1, 1) \cup (3, 5]$.

в) $\log_6(x^2 - 3x + 2) \ge 1$

Основание логарифма $6 > 1$, поэтому функция возрастающая и неравенство равносильно следующему:

$x^2 - 3x + 2 \ge 6^1$

Заметим, что условие области допустимых значений ($x^2 - 3x + 2 > 0$) выполняется автоматически, так как если выражение больше или равно 6, оно заведомо больше 0. Поэтому достаточно решить только это неравенство.

$x^2 - 3x - 4 \ge 0$

Найдем корни уравнения $x^2 - 3x - 4 = 0$. По теореме Виета, корни $x_1 = 4$, $x_2 = -1$. Ветви параболы направлены вверх, поэтому решение находится вне интервала между корнями.

Ответ: $x \in (-\infty, -1] \cup [4, +\infty)$.

г) $\log_7(x^2 - 3) > 0$

Так как основание логарифма $7 > 1$, функция является возрастающей. Представим правую часть как логарифм: $0 = \log_7(7^0) = \log_7(1)$. Неравенство принимает вид:

$\log_7(x^2 - 3) > \log_7(1)$

Перейдем к неравенству для аргументов:

$x^2 - 3 > 1$

Условие ОДЗ ($x^2 - 3 > 0$) здесь выполняется автоматически, так как если выражение больше 1, оно автоматически больше 0. Решим полученное неравенство:

$x^2 - 4 > 0$

$(x-2)(x+2) > 0$

Решением данного неравенства является объединение интервалов, лежащих вне корней $x = -2$ и $x = 2$.

Ответ: $x \in (-\infty, -2) \cup (2, +\infty)$.

Помогло решение? Оставьте отзыв в комментариях ниже.

Присоединяйтесь к Телеграм-группе @gdz_by_belarus

Присоединиться

Мы подготовили для вас ответ c подробным объяснением домашего задания по алгебре за 11 класс, для упражнения номер 3.247 расположенного на странице 159 к учебнику 2020 года издания для учащихся школ и гимназий.

Теперь на нашем сайте ГДЗ.ТОП вы всегда легко и бесплатно найдёте условие с правильным ответом на вопрос «Как решить ДЗ» и «Как сделать» задание по алгебре к упражнению №3.247 (с. 159), авторов: Арефьева (Ирина Глебовна), Пирютко (Ольга Николаевна), учебного пособия издательства Народная асвета.