Номер 3.249, страница 159 - гдз по алгебре 11 класс учебник Арефьева, Пирютко

Алгебра, 11 класс Учебник, авторы: Арефьева Ирина Глебовна, Пирютко Ольга Николаевна, издательство Народная асвета, Минск, 2020, бирюзового цвета

Авторы: Арефьева И. Г., Пирютко О. Н.

Тип: Учебник

Издательство: Народная асвета

Год издания: 2020 - 2026

Цвет обложки: бирюзовый, зелёный с графиком

ISBN: 978-985-03-3165-6

Популярные ГДЗ в 11 классе

Глава 3. Логарифмическая функция. Параграф 10. Логарифмические неравенства - номер 3.249, страница 159.

№3.249 (с. 159)
Условие. №3.249 (с. 159)
скриншот условия
Алгебра, 11 класс Учебник, авторы: Арефьева Ирина Глебовна, Пирютко Ольга Николаевна, издательство Народная асвета, Минск, 2020, бирюзового цвета, страница 159, номер 3.249, Условие

3.249. Решите неравенство рациональным способом:

а) $\log_2 \frac{3 - x}{x + 2} < 1;$

б) $\log_{\frac{1}{4}} \frac{5 - x}{x - 2} > -1;$

в) $\log_{\frac{1}{2}} \frac{x + 3}{x - 2} > 2;$

г) $\log_{0,7} \frac{5 - x}{x - 2} < 0.$

Решение. №3.249 (с. 159)
Алгебра, 11 класс Учебник, авторы: Арефьева Ирина Глебовна, Пирютко Ольга Николаевна, издательство Народная асвета, Минск, 2020, бирюзового цвета, страница 159, номер 3.249, Решение Алгебра, 11 класс Учебник, авторы: Арефьева Ирина Глебовна, Пирютко Ольга Николаевна, издательство Народная асвета, Минск, 2020, бирюзового цвета, страница 159, номер 3.249, Решение (продолжение 2)
Решение 2. №3.249 (с. 159)

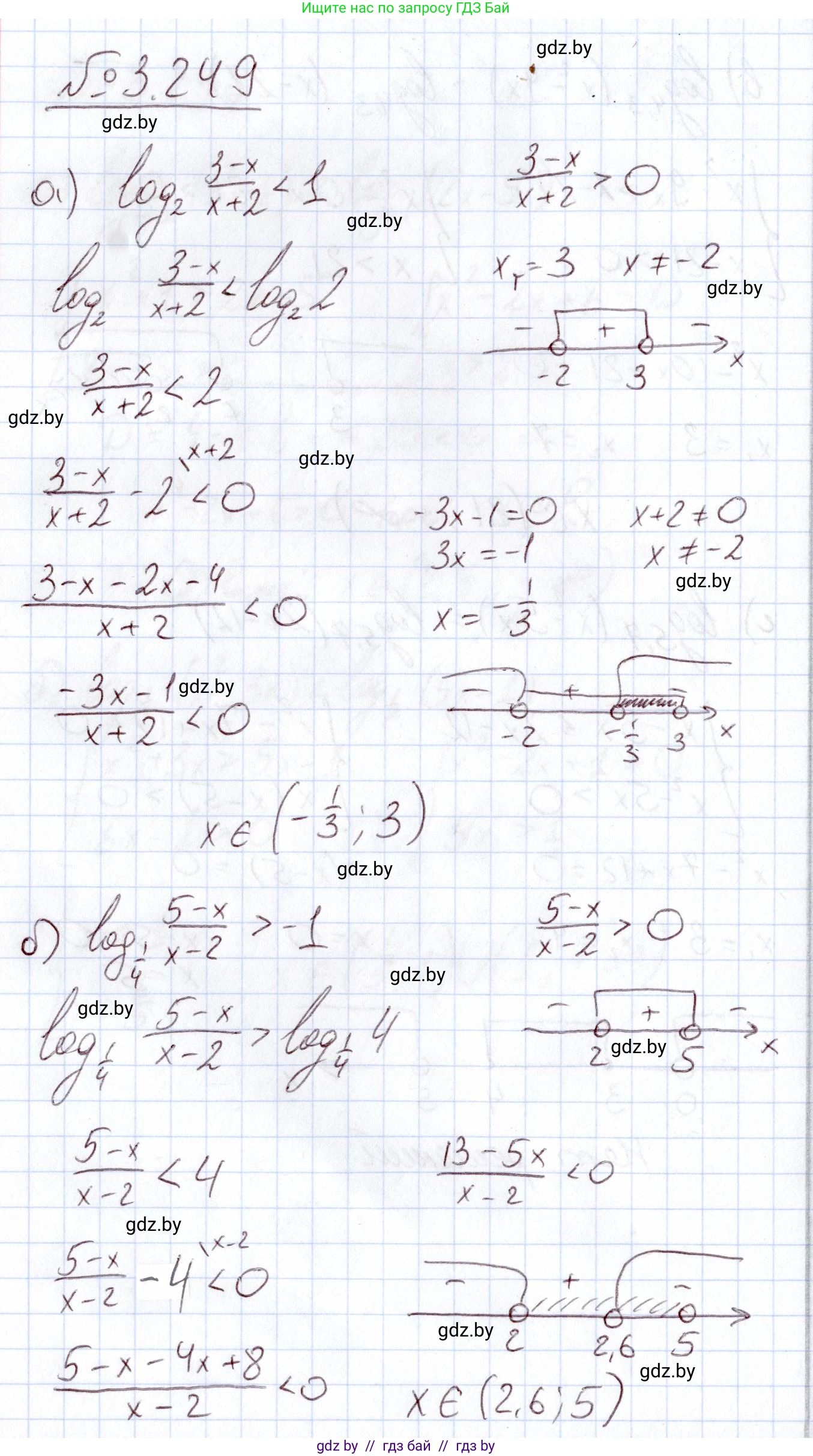
а) Исходное неравенство: $ \log_{2} \frac{3 - x}{x + 2} < 1 $.
Представим правую часть неравенства как логарифм по основанию 2: $ 1 = \log_{2} 2 $.
Неравенство принимает вид: $ \log_{2} \frac{3 - x}{x + 2} < \log_{2} 2 $.
Данное логарифмическое неравенство эквивалентно системе рациональных неравенств. Так как основание логарифма $ 2 > 1 $ (функция возрастающая), знак неравенства при переходе к аргументам сохраняется. Также необходимо учесть область допустимых значений (ОДЗ): аргумент логарифма должен быть строго положительным.
$ \begin{cases} \frac{3 - x}{x + 2} > 0 \\ \frac{3 - x}{x + 2} < 2 \end{cases} $
Решим первое неравенство (ОДЗ):
$ \frac{3 - x}{x + 2} > 0 $
Умножим обе части на -1, изменив знак неравенства:
$ \frac{x - 3}{x + 2} < 0 $
Нули числителя и знаменателя: $ x = 3, x = -2 $. Методом интервалов находим решение: $ x \in (-2, 3) $.
Решим второе неравенство:
$ \frac{3 - x}{x + 2} - 2 < 0 $
$ \frac{3 - x - 2(x + 2)}{x + 2} < 0 $
$ \frac{3 - x - 2x - 4}{x + 2} < 0 $
$ \frac{-3x - 1}{x + 2} < 0 $
Умножим обе части на -1, изменив знак неравенства:
$ \frac{3x + 1}{x + 2} > 0 $
Нули числителя и знаменателя: $ x = -1/3, x = -2 $. Методом интервалов находим решение: $ x \in (-\infty, -2) \cup (-1/3, +\infty) $.
Найдем пересечение решений системы: $ x \in (-2, 3) \cap ((-\infty, -2) \cup (-1/3, +\infty)) $.
Итоговое решение: $ x \in (-1/3, 3) $.
Ответ: $ x \in (-1/3, 3) $.

б) Исходное неравенство: $ \log_{\frac{1}{4}} \frac{5 - x}{x - 2} > -1 $.
Представим правую часть как логарифм по основанию 1/4: $ -1 = \log_{\frac{1}{4}} (\frac{1}{4})^{-1} = \log_{\frac{1}{4}} 4 $.
Неравенство принимает вид: $ \log_{\frac{1}{4}} \frac{5 - x}{x - 2} > \log_{\frac{1}{4}} 4 $.
Так как основание логарифма $ 0 < 1/4 < 1 $ (функция убывающая), знак неравенства при переходе к аргументам меняется на противоположный. Также учтем ОДЗ.
$ \begin{cases} \frac{5 - x}{x - 2} > 0 \\ \frac{5 - x}{x - 2} < 4 \end{cases} $
Решим первое неравенство (ОДЗ):
$ \frac{5 - x}{x - 2} > 0 \implies \frac{x - 5}{x - 2} < 0 $.
Нули: $ x=5, x=2 $. Решение: $ x \in (2, 5) $.
Решим второе неравенство:
$ \frac{5 - x}{x - 2} - 4 < 0 $
$ \frac{5 - x - 4(x - 2)}{x - 2} < 0 $
$ \frac{5 - x - 4x + 8}{x - 2} < 0 $
$ \frac{13 - 5x}{x - 2} < 0 \implies \frac{5x - 13}{x - 2} > 0 $.
Нули: $ x = 13/5 = 2.6, x = 2 $. Решение: $ x \in (-\infty, 2) \cup (2.6, +\infty) $.
Найдем пересечение решений: $ x \in (2, 5) \cap ((-\infty, 2) \cup (2.6, +\infty)) $.
Итоговое решение: $ x \in (2.6, 5) $.
Ответ: $ x \in (2.6, 5) $.

в) Исходное неравенство: $ \log_{\frac{1}{2}} \frac{x + 3}{x - 2} > 2 $.
Представим правую часть как логарифм по основанию 1/2: $ 2 = \log_{\frac{1}{2}} (\frac{1}{2})^{2} = \log_{\frac{1}{2}} \frac{1}{4} $.
Неравенство принимает вид: $ \log_{\frac{1}{2}} \frac{x + 3}{x - 2} > \log_{\frac{1}{2}} \frac{1}{4} $.
Так как основание логарифма $ 0 < 1/2 < 1 $ (функция убывающая), знак неравенства при переходе к аргументам меняется на противоположный. Также учтем ОДЗ.
$ \begin{cases} \frac{x + 3}{x - 2} > 0 \\ \frac{x + 3}{x - 2} < \frac{1}{4} \end{cases} $
Решим первое неравенство (ОДЗ):
$ \frac{x + 3}{x - 2} > 0 $.
Нули: $ x=-3, x=2 $. Решение: $ x \in (-\infty, -3) \cup (2, +\infty) $.
Решим второе неравенство:
$ \frac{x + 3}{x - 2} - \frac{1}{4} < 0 $
$ \frac{4(x + 3) - (x - 2)}{4(x - 2)} < 0 $
$ \frac{4x + 12 - x + 2}{4(x - 2)} < 0 $
$ \frac{3x + 14}{4(x - 2)} < 0 $.
Нули: $ x = -14/3, x = 2 $. Решение: $ x \in (-14/3, 2) $.
Найдем пересечение решений: $ x \in ((-\infty, -3) \cup (2, +\infty)) \cap (-14/3, 2) $.
Так как $ -14/3 \approx -4.67 $, пересечением является интервал $ (-14/3, -3) $.
Ответ: $ x \in (-14/3, -3) $.

г) Исходное неравенство: $ \log_{0.7} \frac{5 - x}{x - 2} < 0 $.
Представим правую часть как логарифм по основанию 0.7: $ 0 = \log_{0.7} 1 $.
Неравенство принимает вид: $ \log_{0.7} \frac{5 - x}{x - 2} < \log_{0.7} 1 $.
Так как основание логарифма $ 0 < 0.7 < 1 $ (функция убывающая), знак неравенства при переходе к аргументам меняется на противоположный.
Получаем неравенство: $ \frac{5 - x}{x - 2} > 1 $.
Заметим, что условие ОДЗ ($ \frac{5 - x}{x - 2} > 0 $) в данном случае выполняется автоматически, так как если величина больше 1, она заведомо больше 0.
Решим полученное рациональное неравенство:
$ \frac{5 - x}{x - 2} - 1 > 0 $
$ \frac{5 - x - (x - 2)}{x - 2} > 0 $
$ \frac{5 - x - x + 2}{x - 2} > 0 $
$ \frac{7 - 2x}{x - 2} > 0 $
Умножим на -1 и изменим знак:
$ \frac{2x - 7}{x - 2} < 0 $
Нули числителя и знаменателя: $ x = 7/2 = 3.5, x = 2 $.
Методом интервалов находим решение: $ x \in (2, 3.5) $.
Ответ: $ x \in (2, 3.5) $.

Помогло решение? Оставьте отзыв в комментариях ниже.

Присоединяйтесь к Телеграм-группе @gdz_by_belarus

Присоединиться

Мы подготовили для вас ответ c подробным объяснением домашего задания по алгебре за 11 класс, для упражнения номер 3.249 расположенного на странице 159 к учебнику 2020 года издания для учащихся школ и гимназий.

Теперь на нашем сайте ГДЗ.ТОП вы всегда легко и бесплатно найдёте условие с правильным ответом на вопрос «Как решить ДЗ» и «Как сделать» задание по алгебре к упражнению №3.249 (с. 159), авторов: Арефьева (Ирина Глебовна), Пирютко (Ольга Николаевна), учебного пособия издательства Народная асвета.