Номер 3.76, страница 114 - гдз по алгебре 11 класс учебник Арефьева, Пирютко

Алгебра, 11 класс Учебник, авторы: Арефьева Ирина Глебовна, Пирютко Ольга Николаевна, издательство Народная асвета, Минск, 2020, бирюзового цвета

Авторы: Арефьева И. Г., Пирютко О. Н.

Тип: Учебник

Издательство: Народная асвета

Год издания: 2020 - 2026

Цвет обложки: бирюзовый, зелёный с графиком

ISBN: 978-985-03-3165-6

Популярные ГДЗ в 11 классе

Глава 3. Логарифмическая функция. Параграф 7. Свойства логарифмов - номер 3.76, страница 114.

№3.76 (с. 114)
Условие. №3.76 (с. 114)
скриншот условия
Алгебра, 11 класс Учебник, авторы: Арефьева Ирина Глебовна, Пирютко Ольга Николаевна, издательство Народная асвета, Минск, 2020, бирюзового цвета, страница 114, номер 3.76, Условие

3.76. Решите иррациональное уравнение:

a) $\sqrt{2x^2 - x - 6} = -x;$

б) $\sqrt{x^2 - 4x + 5} = \sqrt{x - 1};$

в) $\sqrt{2x + 4} - \sqrt{7 - x} = 3;$

г) $2\sqrt{x - 2} - \sqrt[4]{x - 2} = 15.$

Решение. №3.76 (с. 114)
Алгебра, 11 класс Учебник, авторы: Арефьева Ирина Глебовна, Пирютко Ольга Николаевна, издательство Народная асвета, Минск, 2020, бирюзового цвета, страница 114, номер 3.76, Решение Алгебра, 11 класс Учебник, авторы: Арефьева Ирина Глебовна, Пирютко Ольга Николаевна, издательство Народная асвета, Минск, 2020, бирюзового цвета, страница 114, номер 3.76, Решение (продолжение 2)
Решение 2. №3.76 (с. 114)

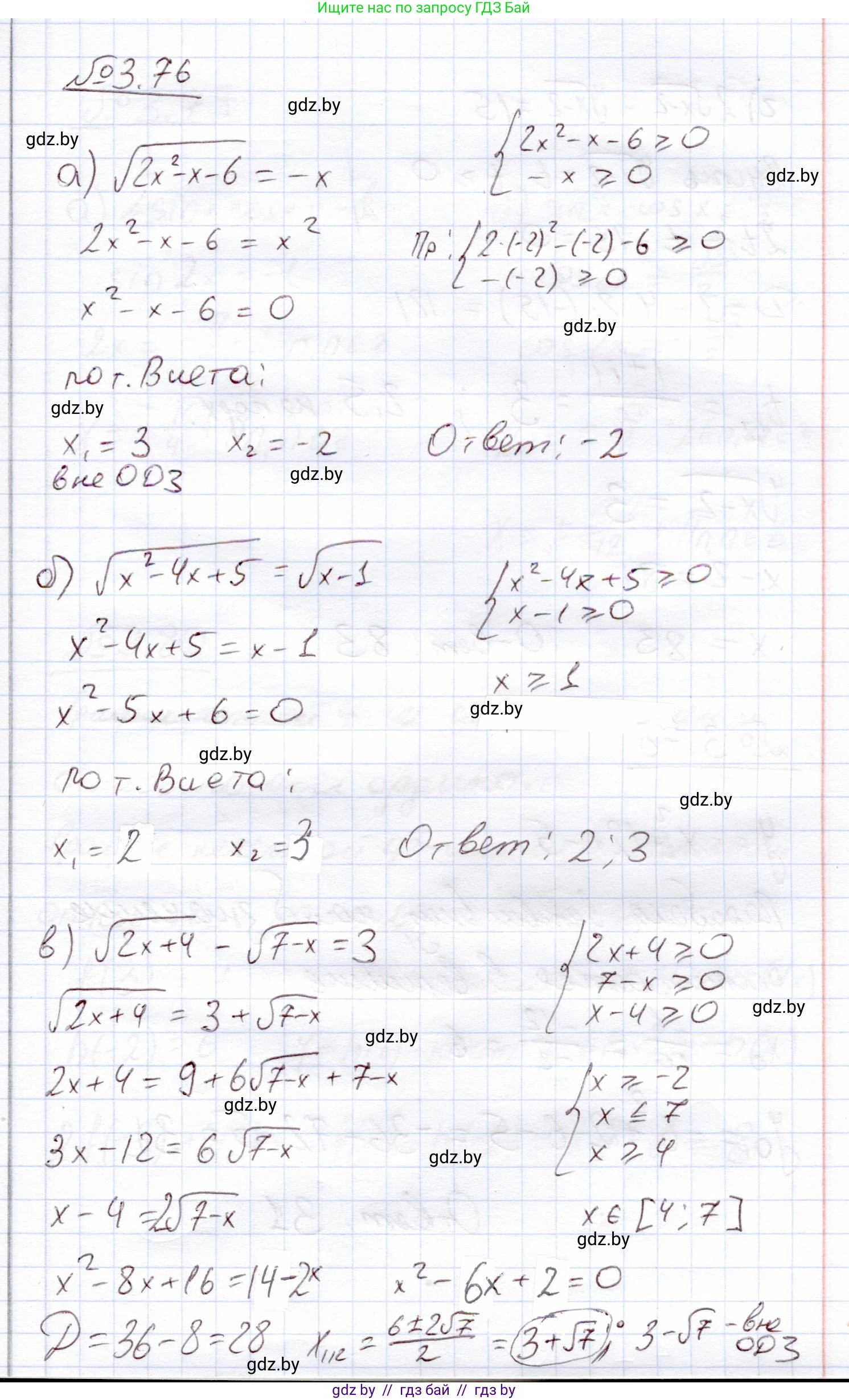
а) $\sqrt{2x^2 - x - 6} = -x$

Данное уравнение равносильно системе:

$\begin{cases} -x \ge 0 \\ 2x^2 - x - 6 = (-x)^2 \end{cases}$

Первое условие $-x \ge 0$ необходимо, так как значение арифметического квадратного корня не может быть отрицательным. Из него следует, что $x \le 0$. Второе условие $2x^2 - x - 6 \ge 0$ (подкоренное выражение должно быть неотрицательным) выполняется автоматически при выполнении второго уравнения системы, так как $2x^2 - x - 6 = x^2$, а $x^2 \ge 0$ для любого $x$.

Решим второе уравнение системы:

$2x^2 - x - 6 = x^2$

$2x^2 - x^2 - x - 6 = 0$

$x^2 - x - 6 = 0$

Найдем корни этого квадратного уравнения, используя теорему Виета. Сумма корней равна $1$, а их произведение равно $-6$. Корнями являются $x_1 = 3$ и $x_2 = -2$.

Теперь проверим, удовлетворяют ли найденные корни условию $x \le 0$:

  • $x_1 = 3$ не удовлетворяет условию $3 \le 0$, следовательно, это посторонний корень.
  • $x_2 = -2$ удовлетворяет условию $-2 \le 0$.

Проведем проверку подстановкой корня $x = -2$ в исходное уравнение:

$\sqrt{2(-2)^2 - (-2) - 6} = -(-2)$

$\sqrt{2 \cdot 4 + 2 - 6} = 2$

$\sqrt{8 + 2 - 6} = 2$

$\sqrt{4} = 2$

$2 = 2$

Равенство верное, значит, корень найден правильно.

Ответ: -2

б) $\sqrt{x^2 - 4x + 5} = \sqrt{x - 1}$

Обе части уравнения неотрицательны, поэтому можно возвести их в квадрат. Уравнение равносильно системе, в которой достаточно потребовать неотрицательность только одного из подкоренных выражений (более простого):

$\begin{cases} x - 1 \ge 0 \\ x^2 - 4x + 5 = x - 1 \end{cases}$

Из первого неравенства получаем $x \ge 1$.

Решим второе уравнение:

$x^2 - 4x - x + 5 + 1 = 0$

$x^2 - 5x + 6 = 0$

По теореме Виета, сумма корней равна $5$, произведение равно $6$. Корнями являются $x_1 = 2$ и $x_2 = 3$.

Оба корня удовлетворяют условию $x \ge 1$.

Ответ: 2; 3

в) $\sqrt{2x + 4} - \sqrt{7 - x} = 3$

Найдем область допустимых значений (ОДЗ):

$\begin{cases} 2x + 4 \ge 0 \\ 7 - x \ge 0 \end{cases} \implies \begin{cases} x \ge -2 \\ x \le 7 \end{cases}$

ОДЗ: $x \in [-2; 7]$.

Перенесем один из корней в правую часть уравнения, чтобы при возведении в квадрат избавиться от одного из радикалов:

$\sqrt{2x + 4} = 3 + \sqrt{7 - x}$

Обе части уравнения неотрицательны, возведем их в квадрат:

$(\sqrt{2x + 4})^2 = (3 + \sqrt{7 - x})^2$

$2x + 4 = 9 + 6\sqrt{7 - x} + (7 - x)$

$2x + 4 = 16 - x + 6\sqrt{7 - x}$

Уединим оставшийся радикал:

$2x + x + 4 - 16 = 6\sqrt{7 - x}$

$3x - 12 = 6\sqrt{7 - x}$

Разделим обе части на 3:

$x - 4 = 2\sqrt{7 - x}$

Для возведения в квадрат необходимо, чтобы обе части были неотрицательны. Правая часть $2\sqrt{7 - x} \ge 0$. Следовательно, левая часть тоже должна быть неотрицательной: $x - 4 \ge 0$, то есть $x \ge 4$.

С учетом ОДЗ получаем новое ограничение для корней: $x \in [4; 7]$.

Возведем в квадрат уравнение $x - 4 = 2\sqrt{7 - x}$:

$(x - 4)^2 = (2\sqrt{7 - x})^2$

$x^2 - 8x + 16 = 4(7 - x)$

$x^2 - 8x + 16 = 28 - 4x$

$x^2 - 4x - 12 = 0$

По теореме Виета, сумма корней равна $4$, произведение равно $-12$. Корни: $x_1 = 6$ и $x_2 = -2$.

Проверим корни с учетом ограничения $x \in [4; 7]$:

  • $x_1 = 6$ удовлетворяет условию $6 \in [4; 7]$.
  • $x_2 = -2$ не удовлетворяет условию, это посторонний корень.

Ответ: 6

г) $2\sqrt{x-2} - \sqrt[4]{x-2} = 15$

Найдем ОДЗ: $x - 2 \ge 0 \implies x \ge 2$.

Это уравнение является квадратным относительно $\sqrt[4]{x-2}$. Сделаем замену переменной. Пусть $y = \sqrt[4]{x-2}$.

Так как $y$ — арифметический корень четвертой степени, то $y \ge 0$.

Тогда $\sqrt{x-2} = (\sqrt[4]{x-2})^2 = y^2$.

Подставим новую переменную в уравнение:

$2y^2 - y = 15$

$2y^2 - y - 15 = 0$

Решим полученное квадратное уравнение. Дискриминант:

$D = (-1)^2 - 4 \cdot 2 \cdot (-15) = 1 + 120 = 121 = 11^2$

$y_1 = \frac{1 - 11}{2 \cdot 2} = \frac{-10}{4} = -2.5$

$y_2 = \frac{1 + 11}{2 \cdot 2} = \frac{12}{4} = 3$

Проверим найденные значения $y$ с учетом условия $y \ge 0$.

  • $y_1 = -2.5$ не удовлетворяет условию, посторонний корень.
  • $y_2 = 3$ удовлетворяет условию.

Вернемся к исходной переменной:

$\sqrt[4]{x-2} = 3$

Возведем обе части в четвертую степень:

$(\sqrt[4]{x-2})^4 = 3^4$

$x - 2 = 81$

$x = 83$

Найденный корень $x=83$ удовлетворяет ОДЗ ($83 \ge 2$).

Ответ: 83

Помогло решение? Оставьте отзыв в комментариях ниже.

Присоединяйтесь к Телеграм-группе @gdz_by_belarus

Присоединиться

Мы подготовили для вас ответ c подробным объяснением домашего задания по алгебре за 11 класс, для упражнения номер 3.76 расположенного на странице 114 к учебнику 2020 года издания для учащихся школ и гимназий.

Теперь на нашем сайте ГДЗ.ТОП вы всегда легко и бесплатно найдёте условие с правильным ответом на вопрос «Как решить ДЗ» и «Как сделать» задание по алгебре к упражнению №3.76 (с. 114), авторов: Арефьева (Ирина Глебовна), Пирютко (Ольга Николаевна), учебного пособия издательства Народная асвета.