Номер 3.83, страница 115 - гдз по алгебре 11 класс учебник Арефьева, Пирютко

Алгебра, 11 класс Учебник, авторы: Арефьева Ирина Глебовна, Пирютко Ольга Николаевна, издательство Народная асвета, Минск, 2020, бирюзового цвета

Авторы: Арефьева И. Г., Пирютко О. Н.

Тип: Учебник

Издательство: Народная асвета

Год издания: 2020 - 2026

Цвет обложки: бирюзовый, зелёный с графиком

ISBN: 978-985-03-3165-6

Популярные ГДЗ в 11 классе

Глава 3. Логарифмическая функция. Параграф 7. Свойства логарифмов - номер 3.83, страница 115.

№3.83 (с. 115)
Условие. №3.83 (с. 115)
скриншот условия
Алгебра, 11 класс Учебник, авторы: Арефьева Ирина Глебовна, Пирютко Ольга Николаевна, издательство Народная асвета, Минск, 2020, бирюзового цвета, страница 115, номер 3.83, Условие

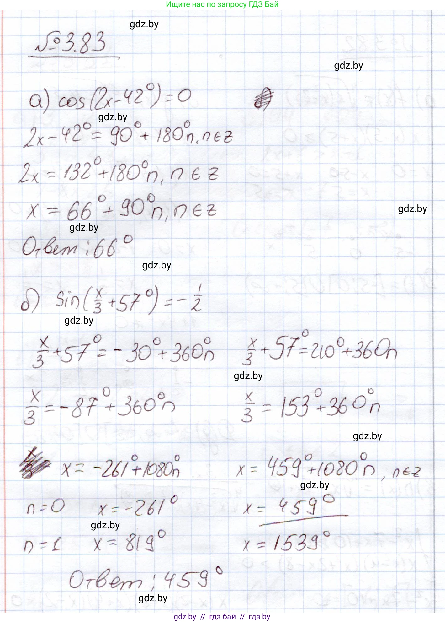
3.83. Найдите (в градусах) наименьший положительный корень уравнения:

a) $\cos(2x - 42^{\circ}) = 0;$

б) $\sin\left(\frac{x}{3} + 57^{\circ}\right) = -\frac{1}{2}$

Решение. №3.83 (с. 115)
Алгебра, 11 класс Учебник, авторы: Арефьева Ирина Глебовна, Пирютко Ольга Николаевна, издательство Народная асвета, Минск, 2020, бирюзового цвета, страница 115, номер 3.83, Решение
Решение 2. №3.83 (с. 115)

a) Решим уравнение $cos(2x - 42^\circ) = 0$.

Общее решение уравнения вида $cos(t) = 0$ записывается формулой $t = 90^\circ + 180^\circ k$, где $k \in \mathbb{Z}$.

В данном уравнении $t = 2x - 42^\circ$. Подставляем в общую формулу:

$2x - 42^\circ = 90^\circ + 180^\circ k$

Теперь выразим $x$:

$2x = 90^\circ + 42^\circ + 180^\circ k$

$2x = 132^\circ + 180^\circ k$

$x = \frac{132^\circ}{2} + \frac{180^\circ k}{2}$

$x = 66^\circ + 90^\circ k$

Чтобы найти наименьший положительный корень, необходимо найти наименьшее целое $k$, при котором $x > 0$.

Решим неравенство $66^\circ + 90^\circ k > 0$:

$90^\circ k > -66^\circ$

$k > -\frac{66}{90}$

$k > -\frac{11}{15}$

Наименьшее целое число $k$, удовлетворяющее этому неравенству, это $k = 0$.

Подставим $k = 0$ в выражение для $x$:

$x = 66^\circ + 90^\circ \cdot 0 = 66^\circ$.

Ответ: $66^\circ$.

б) Решим уравнение $sin(\frac{x}{3} + 57^\circ) = -\frac{1}{2}$.

Общее решение уравнения вида $sin(t) = a$ представляется совокупностью двух серий решений: $t = \arcsin(a) + 360^\circ k$ и $t = 180^\circ - \arcsin(a) + 360^\circ k$, где $k \in \mathbb{Z}$.

Для нашего уравнения $t = \frac{x}{3} + 57^\circ$ и $a = -\frac{1}{2}$.

Значение арксинуса: $\arcsin(-\frac{1}{2}) = -30^\circ$.

Рассмотрим каждую серию решений отдельно.

Первая серия решений:

$\frac{x}{3} + 57^\circ = -30^\circ + 360^\circ k$

$\frac{x}{3} = -30^\circ - 57^\circ + 360^\circ k$

$\frac{x}{3} = -87^\circ + 360^\circ k$

$x = 3 \cdot (-87^\circ + 360^\circ k) = -261^\circ + 1080^\circ k$

Найдем наименьший положительный корень в этой серии, решив неравенство $x > 0$:

$-261^\circ + 1080^\circ k > 0 \implies 1080^\circ k > 261^\circ \implies k > \frac{261}{1080} \implies k > \frac{29}{120}$.

Наименьшее целое $k$, удовлетворяющее этому условию, — это $k=1$.

При $k=1$, корень равен $x = -261^\circ + 1080^\circ \cdot 1 = 819^\circ$.

Вторая серия решений:

$\frac{x}{3} + 57^\circ = 180^\circ - (-30^\circ) + 360^\circ k$

$\frac{x}{3} + 57^\circ = 210^\circ + 360^\circ k$

$\frac{x}{3} = 210^\circ - 57^\circ + 360^\circ k$

$\frac{x}{3} = 153^\circ + 360^\circ k$

$x = 3 \cdot (153^\circ + 360^\circ k) = 459^\circ + 1080^\circ k$

Найдем наименьший положительный корень в этой серии, решив неравенство $x > 0$:

$459^\circ + 1080^\circ k > 0 \implies 1080^\circ k > -459^\circ \implies k > -\frac{459}{1080} \implies k > -\frac{17}{40}$.

Наименьшее целое $k$, удовлетворяющее этому условию, — это $k=0$.

При $k=0$, корень равен $x = 459^\circ + 1080^\circ \cdot 0 = 459^\circ$.

Теперь сравним наименьшие положительные корни, полученные из двух серий: $819^\circ$ и $459^\circ$.

Наименьший из них — $459^\circ$.

Ответ: $459^\circ$.

Помогло решение? Оставьте отзыв в комментариях ниже.

Присоединяйтесь к Телеграм-группе @gdz_by_belarus

Присоединиться

Мы подготовили для вас ответ c подробным объяснением домашего задания по алгебре за 11 класс, для упражнения номер 3.83 расположенного на странице 115 к учебнику 2020 года издания для учащихся школ и гимназий.

Теперь на нашем сайте ГДЗ.ТОП вы всегда легко и бесплатно найдёте условие с правильным ответом на вопрос «Как решить ДЗ» и «Как сделать» задание по алгебре к упражнению №3.83 (с. 115), авторов: Арефьева (Ирина Глебовна), Пирютко (Ольга Николаевна), учебного пособия издательства Народная асвета.