Номер 290, страница 202 - гдз по алгебре 11 класс учебник Арефьева, Пирютко

Алгебра, 11 класс Учебник, авторы: Арефьева Ирина Глебовна, Пирютко Ольга Николаевна, издательство Народная асвета, Минск, 2020, бирюзового цвета

Авторы: Арефьева И. Г., Пирютко О. Н.

Тип: Учебник

Издательство: Народная асвета

Год издания: 2020 - 2026

Цвет обложки: бирюзовый, зелёный с графиком

ISBN: 978-985-03-3165-6

Популярные ГДЗ в 11 классе

Упражнения для итогового повторения. Выражения и их преобразования - номер 290, страница 202.

№290 (с. 202)
Условие. №290 (с. 202)
скриншот условия
Алгебра, 11 класс Учебник, авторы: Арефьева Ирина Глебовна, Пирютко Ольга Николаевна, издательство Народная асвета, Минск, 2020, бирюзового цвета, страница 202, номер 290, Условие

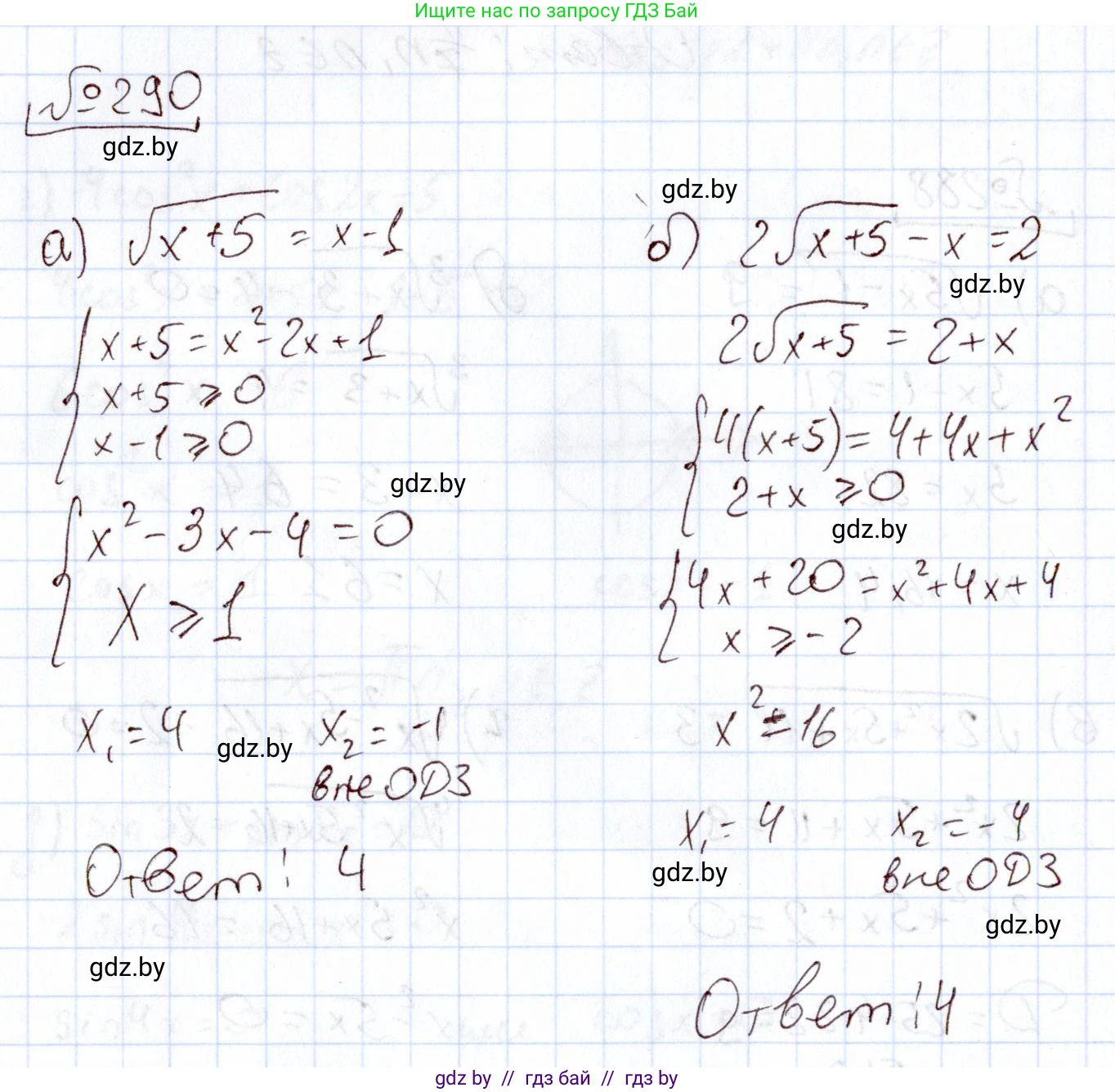
290. Решите уравнение двумя способами:

a) $\sqrt{x+5} = x-1;$

б) $2\sqrt{x+5}-x = 2.$

Решение. №290 (с. 202)
Алгебра, 11 класс Учебник, авторы: Арефьева Ирина Глебовна, Пирютко Ольга Николаевна, издательство Народная асвета, Минск, 2020, бирюзового цвета, страница 202, номер 290, Решение
Решение 2. №290 (с. 202)

а) $\sqrt{x+5} = x-1$

Первый способ (возведение в квадрат обеих частей уравнения).

Найдем область допустимых значений (ОДЗ). Выражение под корнем должно быть неотрицательным: $x+5 \ge 0$, то есть $x \ge -5$. Правая часть уравнения, равная значению арифметического квадратного корня, также должна быть неотрицательной: $x-1 \ge 0$, то есть $x \ge 1$. Объединяя эти два условия, получаем ОДЗ для данного уравнения: $x \ge 1$.
Возведем обе части уравнения в квадрат, чтобы избавиться от иррациональности:
$(\sqrt{x+5})^2 = (x-1)^2$
$x+5 = x^2 - 2x + 1$
Перенесем все члены уравнения в одну сторону и приведем подобные слагаемые, чтобы получить стандартное квадратное уравнение:
$x^2 - 2x - x + 1 - 5 = 0$
$x^2 - 3x - 4 = 0$
Решим полученное квадратное уравнение. Воспользуемся теоремой Виета: сумма корней равна $3$, а их произведение равно $-4$. Отсюда легко находим корни:
$x_1 = 4$
$x_2 = -1$
Теперь необходимо проверить, удовлетворяют ли найденные корни ОДЗ ($x \ge 1$).
Корень $x_1 = 4$ удовлетворяет условию $4 \ge 1$, следовательно, он является решением исходного уравнения.
Корень $x_2 = -1$ не удовлетворяет условию $-1 \ge 1$, следовательно, это посторонний корень, который появился в результате возведения в квадрат.
Ответ: $4$.

Второй способ (графический).

Решим уравнение, построив графики функций, соответствующих левой и правой частям уравнения: $y = \sqrt{x+5}$ и $y = x-1$. Абсцисса точки пересечения этих графиков и будет являться решением уравнения.
1. График функции $y = \sqrt{x+5}$ представляет собой ветвь параболы. Это график функции $y=\sqrt{x}$, смещенный на 5 единиц влево по оси Ox. Область определения: $x \ge -5$. Некоторые точки для построения: $(-5, 0)$, $(-4, 1)$, $(-1, 2)$, $(4, 3)$.
2. График функции $y = x-1$ является прямой линией. Для ее построения достаточно двух точек, например, $(0, -1)$ и $(1, 0)$.
Построим оба графика в одной системе координат. Мы увидим, что графики пересекаются в одной точке, координаты которой $(4, 3)$.
Абсцисса этой точки пересечения $x=4$ и есть единственное решение данного уравнения.
Ответ: $4$.

б) $2\sqrt{x+5} - x = 2$

Первый способ (возведение в квадрат обеих частей уравнения).

Для удобства сначала изолируем радикал в левой части уравнения:
$2\sqrt{x+5} = x+2$
Определим ОДЗ. Подкоренное выражение должно быть неотрицательным: $x+5 \ge 0 \implies x \ge -5$. Правая часть уравнения также должна быть неотрицательной: $x+2 \ge 0 \implies x \ge -2$. Таким образом, ОДЗ: $x \ge -2$.
Теперь возведем обе части преобразованного уравнения в квадрат:
$(2\sqrt{x+5})^2 = (x+2)^2$
$4(x+5) = x^2 + 4x + 4$
$4x + 20 = x^2 + 4x + 4$
Упростим полученное уравнение:
$x^2 = 20 - 4$
$x^2 = 16$
Это уравнение имеет два корня: $x_1 = 4$ и $x_2 = -4$.
Проверим найденные корни на соответствие ОДЗ ($x \ge -2$).
Корень $x_1 = 4$ удовлетворяет условию $4 \ge -2$, значит, это решение исходного уравнения.
Корень $x_2 = -4$ не удовлетворяет условию $-4 \ge -2$, значит, это посторонний корень.
Ответ: $4$.

Второй способ (введение новой переменной).

Введем новую переменную. Пусть $t = \sqrt{x+5}$. Согласно определению арифметического квадратного корня, должно выполняться условие $t \ge 0$.
Из substitution выразим $x$ через $t$:
$t^2 = x+5 \implies x = t^2-5$
Подставим $t$ и полученное выражение для $x$ в исходное уравнение $2\sqrt{x+5} - x = 2$:
$2t - (t^2 - 5) = 2$
$2t - t^2 + 5 = 2$
Приведем уравнение к стандартному квадратному виду:
$t^2 - 2t - 3 = 0$
Решим это уравнение относительно $t$. По теореме Виета, сумма корней $t_1+t_2 = 2$, а произведение $t_1 \cdot t_2 = -3$. Корни: $t_1 = 3$ и $t_2 = -1$.
Согласно условию $t \ge 0$, корень $t_2 = -1$ является посторонним. Таким образом, остается единственное решение для $t$: $t = 3$.
Теперь выполним обратную замену, чтобы найти $x$:
$\sqrt{x+5} = 3$
Возведем обе части в квадрат:
$x+5 = 9$
$x = 4$
Для надежности можно выполнить проверку, подставив $x=4$ в исходное уравнение: $2\sqrt{4+5} - 4 = 2\sqrt{9}-4 = 2 \cdot 3 - 4 = 2$. Равенство $2=2$ верное.
Ответ: $4$.

Помогло решение? Оставьте отзыв в комментариях ниже.

Присоединяйтесь к Телеграм-группе @gdz_by_belarus

Присоединиться

Мы подготовили для вас ответ c подробным объяснением домашего задания по алгебре за 11 класс, для упражнения номер 290 расположенного на странице 202 к учебнику 2020 года издания для учащихся школ и гимназий.

Теперь на нашем сайте ГДЗ.ТОП вы всегда легко и бесплатно найдёте условие с правильным ответом на вопрос «Как решить ДЗ» и «Как сделать» задание по алгебре к упражнению №290 (с. 202), авторов: Арефьева (Ирина Глебовна), Пирютко (Ольга Николаевна), учебного пособия издательства Народная асвета.