Номер 296, страница 203 - гдз по алгебре 11 класс учебник Арефьева, Пирютко

Алгебра, 11 класс Учебник, авторы: Арефьева Ирина Глебовна, Пирютко Ольга Николаевна, издательство Народная асвета, Минск, 2020, бирюзового цвета

Авторы: Арефьева И. Г., Пирютко О. Н.

Тип: Учебник

Издательство: Народная асвета

Год издания: 2020 - 2026

Цвет обложки: бирюзовый, зелёный с графиком

ISBN: 978-985-03-3165-6

Популярные ГДЗ в 11 классе

Упражнения для итогового повторения. Выражения и их преобразования - номер 296, страница 203.

№296 (с. 203)
Условие. №296 (с. 203)
скриншот условия
Алгебра, 11 класс Учебник, авторы: Арефьева Ирина Глебовна, Пирютко Ольга Николаевна, издательство Народная асвета, Минск, 2020, бирюзового цвета, страница 203, номер 296, Условие

296. Решите уравнение:

а) $\sqrt{7x+1} = \sqrt{4x+16}$;

б) $\sqrt[6]{4x-7} = \sqrt[6]{3x-4}$;

В) $\sqrt{x^2+16x+3} = \sqrt{8x+3}$;

Г) $\sqrt{6x^2+2x-10} - \sqrt{x^2-x-2} = 0$.

Решение. №296 (с. 203)
Алгебра, 11 класс Учебник, авторы: Арефьева Ирина Глебовна, Пирютко Ольга Николаевна, издательство Народная асвета, Минск, 2020, бирюзового цвета, страница 203, номер 296, Решение Алгебра, 11 класс Учебник, авторы: Арефьева Ирина Глебовна, Пирютко Ольга Николаевна, издательство Народная асвета, Минск, 2020, бирюзового цвета, страница 203, номер 296, Решение (продолжение 2)
Решение 2. №296 (с. 203)

а) Дано уравнение $\sqrt{7x+1} = \sqrt{4x+16}$.
Область допустимых значений (ОДЗ) определяется условиями неотрицательности подкоренных выражений:
$\begin{cases} 7x+1 \ge 0 \\ 4x+16 \ge 0 \end{cases} \implies \begin{cases} 7x \ge -1 \\ 4x \ge -16 \end{cases} \implies \begin{cases} x \ge -1/7 \\ x \ge -4 \end{cases}$.
Пересечением этих условий является $x \ge -1/7$.
Возведем обе части уравнения в квадрат, так как они обе неотрицательны:
$(\sqrt{7x+1})^2 = (\sqrt{4x+16})^2$
$7x+1 = 4x+16$
Перенесем слагаемые с $x$ в левую часть, а свободные члены — в правую:
$7x - 4x = 16 - 1$
$3x = 15$
$x = 5$
Проверим, удовлетворяет ли найденный корень ОДЗ: $5 \ge -1/7$. Условие выполнено.
Ответ: $5$.

б) Дано уравнение $\sqrt[6]{4x-7} = \sqrt[6]{3x-4}$.
Так как корень четной степени, подкоренные выражения должны быть неотрицательны. ОДЗ:
$\begin{cases} 4x-7 \ge 0 \\ 3x-4 \ge 0 \end{cases} \implies \begin{cases} x \ge 7/4 \\ x \ge 4/3 \end{cases}$.
Так как $7/4 = 1.75$ и $4/3 \approx 1.33$, то $7/4 > 4/3$. Следовательно, ОДЗ: $x \ge 7/4$.
Возведем обе части уравнения в шестую степень:
$(\sqrt[6]{4x-7})^6 = (\sqrt[6]{3x-4})^6$
$4x-7 = 3x-4$
$4x - 3x = 7 - 4$
$x = 3$
Проверим корень по ОДЗ: $3 \ge 7/4$. Условие выполнено.
Ответ: $3$.

в) Дано уравнение $\sqrt{x^2+16x+3} = \sqrt{8x+3}$.
Уравнение имеет смысл, если подкоренные выражения неотрицательны. Так как обе части уравнения равны и неотрицательны, достаточно потребовать неотрицательности одной из них, например, правой: $8x+3 \ge 0$, откуда $x \ge -3/8$. Это и будет ОДЗ, так как при его выполнении левая часть будет равна неотрицательной правой и, следовательно, тоже будет неотрицательной.
Возводим обе части в квадрат:
$(\sqrt{x^2+16x+3})^2 = (\sqrt{8x+3})^2$
$x^2+16x+3 = 8x+3$
$x^2+16x-8x+3-3 = 0$
$x^2+8x = 0$
Вынесем $x$ за скобки: $x(x+8) = 0$.
Получаем два корня: $x_1 = 0$ и $x_2 = -8$.
Проверяем корни по ОДЗ ($x \ge -3/8$):
$x_1 = 0$: $0 \ge -3/8$. Корень подходит.
$x_2 = -8$: $-8 < -3/8$. Корень посторонний.
Ответ: $0$.

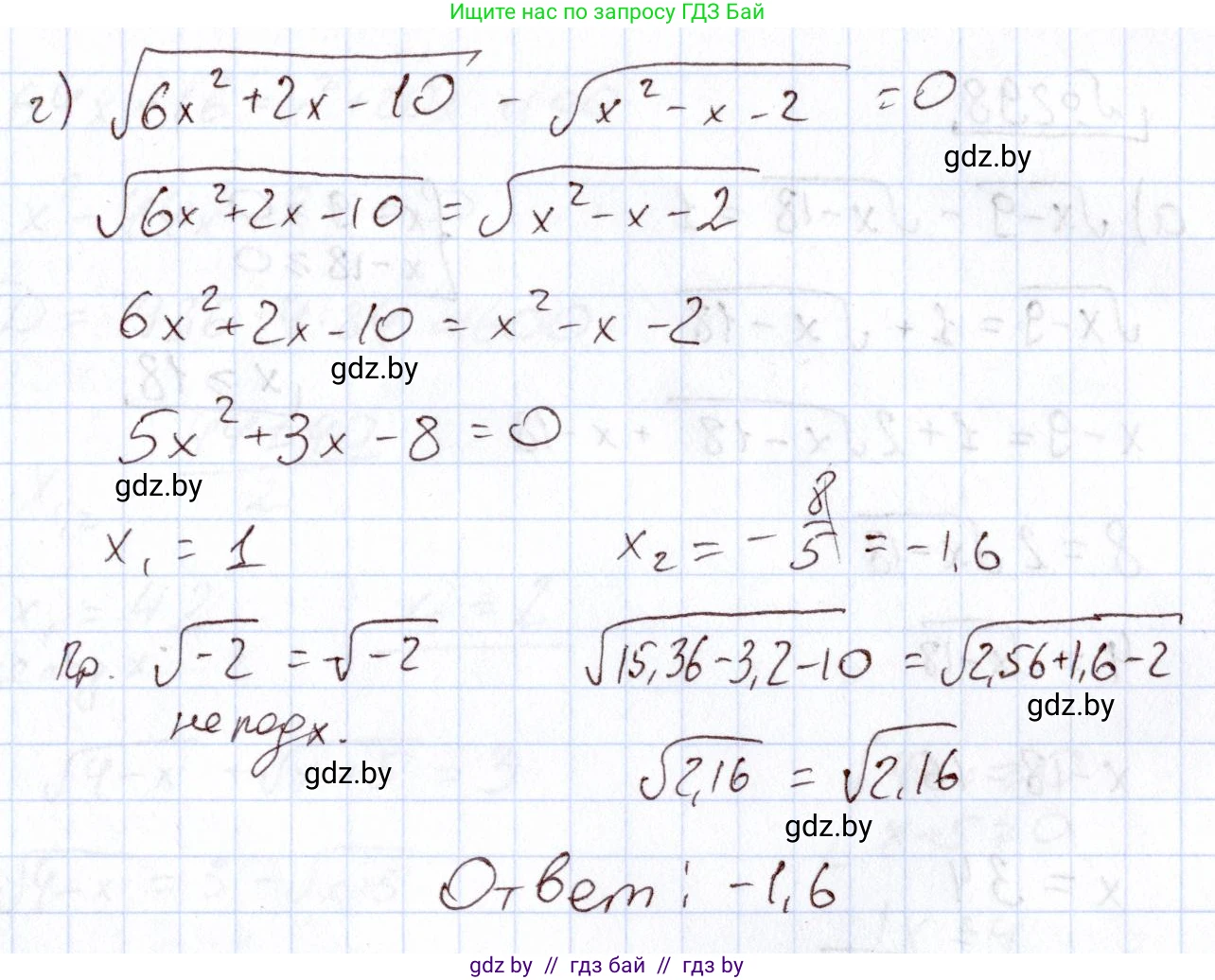
г) Дано уравнение $\sqrt{6x^2+2x-10} - \sqrt{x^2-x-2} = 0$.
Перепишем уравнение в виде $\sqrt{6x^2+2x-10} = \sqrt{x^2-x-2}$.
ОДЗ определяется условием $x^2-x-2 \ge 0$ (второе условие $6x^2+2x-10 \ge 0$ выполнится автоматически, так как $6x^2+2x-10=x^2-x-2$).
Решим неравенство $x^2-x-2 \ge 0$. Корнями уравнения $x^2-x-2=0$ являются $x_1=-1$ и $x_2=2$. Следовательно, ОДЗ: $x \in (-\infty, -1] \cup [2, \infty)$.
Возведем обе части уравнения в квадрат:
$6x^2+2x-10 = x^2-x-2$
$6x^2-x^2+2x+x-10+2 = 0$
$5x^2+3x-8 = 0$
Решим квадратное уравнение. Дискриминант: $D = 3^2 - 4 \cdot 5 \cdot (-8) = 9 + 160 = 169 = 13^2$.
Корни уравнения: $x_{1,2} = \frac{-3 \pm \sqrt{169}}{2 \cdot 5} = \frac{-3 \pm 13}{10}$.
$x_1 = \frac{-3+13}{10} = \frac{10}{10} = 1$
$x_2 = \frac{-3-13}{10} = \frac{-16}{10} = -1.6$
Проверяем корни по ОДЗ ($x \in (-\infty, -1] \cup [2, \infty)$):
$x_1 = 1$ не принадлежит ОДЗ. Это посторонний корень.
$x_2 = -1.6$ принадлежит ОДЗ, так как $-1.6 \le -1$.
Ответ: $-1.6$.

Помогло решение? Оставьте отзыв в комментариях ниже.

Присоединяйтесь к Телеграм-группе @gdz_by_belarus

Присоединиться

Мы подготовили для вас ответ c подробным объяснением домашего задания по алгебре за 11 класс, для упражнения номер 296 расположенного на странице 203 к учебнику 2020 года издания для учащихся школ и гимназий.

Теперь на нашем сайте ГДЗ.ТОП вы всегда легко и бесплатно найдёте условие с правильным ответом на вопрос «Как решить ДЗ» и «Как сделать» задание по алгебре к упражнению №296 (с. 203), авторов: Арефьева (Ирина Глебовна), Пирютко (Ольга Николаевна), учебного пособия издательства Народная асвета.