Номер 7, страница 256 - гдз по алгебре 11 класс учебник Арефьева, Пирютко

Алгебра, 11 класс Учебник, авторы: Арефьева Ирина Глебовна, Пирютко Ольга Николаевна, издательство Народная асвета, Минск, 2020, бирюзового цвета

Авторы: Арефьева И. Г., Пирютко О. Н.

Тип: Учебник

Издательство: Народная асвета

Год издания: 2020 - 2026

Цвет обложки: бирюзовый, зелёный с графиком

ISBN: 978-985-03-3165-6

Популярные ГДЗ в 11 классе

Тематические тесты. Тест 10. Логарифмические уравнения - номер 7, страница 256.

№7 (с. 256)
Условие. №7 (с. 256)
скриншот условия
Алгебра, 11 класс Учебник, авторы: Арефьева Ирина Глебовна, Пирютко Ольга Николаевна, издательство Народная асвета, Минск, 2020, бирюзового цвета, страница 256, номер 7, Условие

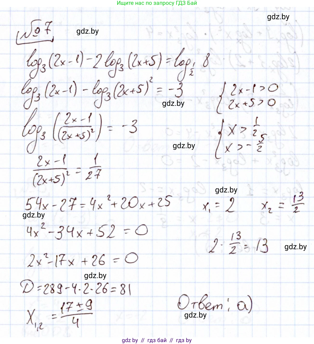
7. Найдите произведение корней (корень, если он единственный) уравнения

$\log_3(2x - 1) - 2\log_3(2x + 5) = \log_{\frac{1}{2}} 8$.

а) 13;

б) 6,5;

в) 2;

г) 2,5;

д) 15.

Решение. №7 (с. 256)
Алгебра, 11 класс Учебник, авторы: Арефьева Ирина Глебовна, Пирютко Ольга Николаевна, издательство Народная асвета, Минск, 2020, бирюзового цвета, страница 256, номер 7, Решение
Решение 2. №7 (с. 256)

Для решения уравнения $ \log_3(2x-1) - 2\log_3(2x+5) = \log_{\frac{1}{2}} 8 $ сначала определим его область допустимых значений (ОДЗ). Выражения под знаком логарифма должны быть строго положительными:

$$ \begin{cases} 2x - 1 > 0 \\ 2x + 5 > 0 \end{cases} $$

Решая эту систему неравенств, получаем:

$$ \begin{cases} 2x > 1 \\ 2x > -5 \end{cases} \implies \begin{cases} x > \frac{1}{2} \\ x > -2.5 \end{cases} $$

Общим решением системы является $x > \frac{1}{2}$. Это и есть ОДЗ нашего уравнения.

Теперь преобразуем само уравнение. Сначала упростим его правую часть:

$$ \log_{\frac{1}{2}} 8 = \log_{2^{-1}} 2^3 = \frac{3}{-1} \log_2 2 = -3 \cdot 1 = -3 $$

Далее, преобразуем левую часть, используя свойства логарифмов $n \cdot \log_a b = \log_a b^n$ и $\log_a b - \log_a c = \log_a \frac{b}{c}$:

$$ \log_3(2x-1) - 2\log_3(2x+5) = \log_3(2x-1) - \log_3((2x+5)^2) = \log_3\frac{2x-1}{(2x+5)^2} $$

Теперь исходное уравнение можно записать в виде:

$$ \log_3\frac{2x-1}{(2x+5)^2} = -3 $$

По определению логарифма, это уравнение равносильно следующему:

$$ \frac{2x-1}{(2x+5)^2} = 3^{-3} $$

$$ \frac{2x-1}{(2x+5)^2} = \frac{1}{27} $$

Используем основное свойство пропорции:

$$ 27(2x-1) = 1 \cdot (2x+5)^2 $$

Раскроем скобки и приведем подобные слагаемые:

$$ 54x - 27 = 4x^2 + 20x + 25 $$

$$ 4x^2 + 20x - 54x + 25 + 27 = 0 $$

$$ 4x^2 - 34x + 52 = 0 $$

Для удобства разделим все члены уравнения на 2:

$$ 2x^2 - 17x + 26 = 0 $$

Мы получили квадратное уравнение. Найдем его корни с помощью дискриминанта $D = b^2 - 4ac$:

$$ D = (-17)^2 - 4 \cdot 2 \cdot 26 = 289 - 208 = 81 $$

Так как $D > 0$, уравнение имеет два различных корня:

$$ x_1 = \frac{-b + \sqrt{D}}{2a} = \frac{17 + \sqrt{81}}{2 \cdot 2} = \frac{17+9}{4} = \frac{26}{4} = 6.5 $$

$$ x_2 = \frac{-b - \sqrt{D}}{2a} = \frac{17 - \sqrt{81}}{2 \cdot 2} = \frac{17-9}{4} = \frac{8}{4} = 2 $$

Проверим, удовлетворяют ли найденные корни ОДЗ ($x > \frac{1}{2}$).

Корень $x_1 = 6.5$. Так как $6.5 > 0.5$, этот корень подходит.

Корень $x_2 = 2$. Так как $2 > 0.5$, этот корень также подходит.

По условию задачи нужно найти произведение корней.

Произведение корней равно: $x_1 \cdot x_2 = 6.5 \cdot 2 = 13$.

Ответ: 13

Помогло решение? Оставьте отзыв в комментариях ниже.

Присоединяйтесь к Телеграм-группе @gdz_by_belarus

Присоединиться

Мы подготовили для вас ответ c подробным объяснением домашего задания по алгебре за 11 класс, для упражнения номер 7 расположенного на странице 256 к учебнику 2020 года издания для учащихся школ и гимназий.

Теперь на нашем сайте ГДЗ.ТОП вы всегда легко и бесплатно найдёте условие с правильным ответом на вопрос «Как решить ДЗ» и «Как сделать» задание по алгебре к упражнению №7 (с. 256), авторов: Арефьева (Ирина Глебовна), Пирютко (Ольга Николаевна), учебного пособия издательства Народная асвета.