Номер 14, страница 257 - гдз по алгебре 11 класс учебник Арефьева, Пирютко

Алгебра, 11 класс Учебник, авторы: Арефьева Ирина Глебовна, Пирютко Ольга Николаевна, издательство Народная асвета, Минск, 2020, бирюзового цвета

Авторы: Арефьева И. Г., Пирютко О. Н.

Тип: Учебник

Издательство: Народная асвета

Год издания: 2020 - 2026

Цвет обложки: бирюзовый, зелёный с графиком

ISBN: 978-985-03-3165-6

Популярные ГДЗ в 11 классе

Тематические тесты. Тест 10. Логарифмические уравнения - номер 14, страница 257.

№14 (с. 257)
Условие. №14 (с. 257)
скриншот условия
Алгебра, 11 класс Учебник, авторы: Арефьева Ирина Глебовна, Пирютко Ольга Николаевна, издательство Народная асвета, Минск, 2020, бирюзового цвета, страница 257, номер 14, Условие

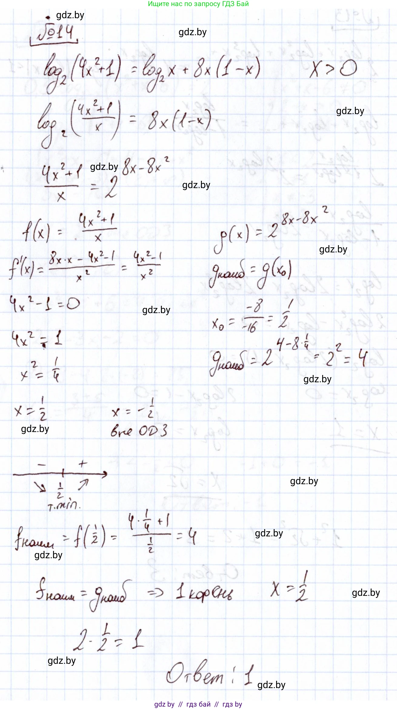
14. Найдите значение выражения $2S$, где $S$ — сумма корней (корень, если он единственный) уравнения $\log_{2}(4x^2 + 1)=\log_{2}x + 8x(1-x)$.

Решение. №14 (с. 257)
Алгебра, 11 класс Учебник, авторы: Арефьева Ирина Глебовна, Пирютко Ольга Николаевна, издательство Народная асвета, Минск, 2020, бирюзового цвета, страница 257, номер 14, Решение
Решение 2. №14 (с. 257)

Для решения данного уравнения сначала определим область допустимых значений (ОДЗ), затем преобразуем уравнение и исследуем его левую и правую части.

1. Определение Области допустимых значений (ОДЗ)

Логарифмическая функция определена только для положительных аргументов. Поэтому необходимо выполнение следующих условий:

  • $4x^2 + 1 > 0$
  • $x > 0$

Первое неравенство, $4x^2 + 1 > 0$, выполняется для любого действительного числа $x$, так как $x^2 \ge 0$, а значит $4x^2 + 1 \ge 1$.
Второе неравенство, $x > 0$, и является окончательным условием для ОДЗ.

Таким образом, ОДЗ: $x \in (0, +\infty)$.

2. Преобразование уравнения

Исходное уравнение: $\log_2(4x^2+1) = \log_2 x + 8x(1-x)$.

Перенесем $\log_2 x$ в левую часть уравнения:

$\log_2(4x^2+1) - \log_2 x = 8x(1-x)$

Используем свойство разности логарифмов $\log_a b - \log_a c = \log_a \left(\frac{b}{c}\right)$:

$\log_2\left(\frac{4x^2+1}{x}\right) = 8x - 8x^2$

Упростим выражение под знаком логарифма:

$\frac{4x^2+1}{x} = \frac{4x^2}{x} + \frac{1}{x} = 4x + \frac{1}{x}$

В результате уравнение принимает вид:

$\log_2\left(4x + \frac{1}{x}\right) = -8x^2 + 8x$

3. Исследование левой и правой частей уравнения

Рассмотрим левую и правую части уравнения как две отдельные функции и оценим их значения.

Левая часть: $f(x) = \log_2\left(4x + \frac{1}{x}\right)$

Оценим выражение в аргументе логарифма $4x + \frac{1}{x}$. Поскольку по ОДЗ $x > 0$, мы можем применить неравенство Коши (о средних арифметическом и геометрическом) для двух положительных чисел $4x$ и $\frac{1}{x}$:

$4x + \frac{1}{x} \ge 2\sqrt{4x \cdot \frac{1}{x}} = 2\sqrt{4} = 4$

Наименьшее значение выражения $4x + \frac{1}{x}$ равно 4. Оно достигается, когда $4x = \frac{1}{x}$, то есть $4x^2 = 1$, откуда $x = \frac{1}{2}$ (учитывая, что $x > 0$).

Так как функция $\log_2 t$ является возрастающей, ее наименьшее значение будет достигаться при наименьшем значении ее аргумента. Следовательно, наименьшее значение левой части уравнения:

$f_{min} = \log_2(4) = 2$

Таким образом, для всех $x$ из ОДЗ выполняется $f(x) = \log_2\left(4x + \frac{1}{x}\right) \ge 2$.

Правая часть: $g(x) = -8x^2 + 8x$

Эта функция является квадратичной. Ее график — парабола, ветви которой направлены вниз. Наибольшее значение функция принимает в своей вершине. Найдем координаты вершины $x_v$ по формуле $x_v = -\frac{b}{2a}$:

$x_v = -\frac{8}{2 \cdot (-8)} = \frac{1}{2}$

Найдем наибольшее значение функции $g(x)$, подставив $x_v = \frac{1}{2}$:

$g_{max} = g\left(\frac{1}{2}\right) = -8\left(\frac{1}{2}\right)^2 + 8\left(\frac{1}{2}\right) = -8 \cdot \frac{1}{4} + 4 = -2 + 4 = 2$

Таким образом, для всех $x$ выполняется $g(x) = -8x^2 + 8x \le 2$.

4. Решение уравнения

Мы получили, что для всех $x$ из ОДЗ левая часть уравнения не меньше 2, а правая часть не больше 2:

$\log_2\left(4x + \frac{1}{x}\right) \ge 2$

$-8x^2 + 8x \le 2$

Равенство $\log_2\left(4x + \frac{1}{x}\right) = -8x^2 + 8x$ возможно только в том случае, когда обе части одновременно равны 2. То есть:

$\begin{cases} \log_2\left(4x + \frac{1}{x}\right) = 2 \\ -8x^2 + 8x = 2 \end{cases}$

Как мы установили ранее, левая часть равна 2 при $x = \frac{1}{2}$, и правая часть равна 2 при $x = \frac{1}{2}$.

Следовательно, уравнение имеет единственный корень $x = \frac{1}{2}$.

5. Нахождение значения выражения 2S

Согласно условию, S — это сумма корней уравнения (или корень, если он единственный). В нашем случае корень один, поэтому:

$S = \frac{1}{2}$

Теперь найдем значение искомого выражения 2S:

$2S = 2 \cdot S = 2 \cdot \frac{1}{2} = 1$

Ответ: 1

Помогло решение? Оставьте отзыв в комментариях ниже.

Присоединяйтесь к Телеграм-группе @gdz_by_belarus

Присоединиться

Мы подготовили для вас ответ c подробным объяснением домашего задания по алгебре за 11 класс, для упражнения номер 14 расположенного на странице 257 к учебнику 2020 года издания для учащихся школ и гимназий.

Теперь на нашем сайте ГДЗ.ТОП вы всегда легко и бесплатно найдёте условие с правильным ответом на вопрос «Как решить ДЗ» и «Как сделать» задание по алгебре к упражнению №14 (с. 257), авторов: Арефьева (Ирина Глебовна), Пирютко (Ольга Николаевна), учебного пособия издательства Народная асвета.