Номер 5, страница 258 - гдз по алгебре 11 класс учебник Арефьева, Пирютко

Алгебра, 11 класс Учебник, авторы: Арефьева Ирина Глебовна, Пирютко Ольга Николаевна, издательство Народная асвета, Минск, 2020, бирюзового цвета

Авторы: Арефьева И. Г., Пирютко О. Н.

Тип: Учебник

Издательство: Народная асвета

Год издания: 2020 - 2026

Цвет обложки: бирюзовый, зелёный с графиком

ISBN: 978-985-03-3165-6

Популярные ГДЗ в 11 классе

Тематические тесты. Тест 11. Логарифмические неравенства - номер 5, страница 258.

№5 (с. 258)
Условие. №5 (с. 258)
скриншот условия
Алгебра, 11 класс Учебник, авторы: Арефьева Ирина Глебовна, Пирютко Ольга Николаевна, издательство Народная асвета, Минск, 2020, бирюзового цвета, страница 258, номер 5, Условие

5. Решите неравенство

$\log_3(x + 4) \cdot \log_{0,3} 7 \ge 0.$

a) $[-4; -3];$

б) $[-3; +\infty);$

в) $(-4; -3];$

г) $[0; +\infty);$

д) $(0; +\infty).$

Решение. №5 (с. 258)
Алгебра, 11 класс Учебник, авторы: Арефьева Ирина Глебовна, Пирютко Ольга Николаевна, издательство Народная асвета, Минск, 2020, бирюзового цвета, страница 258, номер 5, Решение
Решение 2. №5 (с. 258)

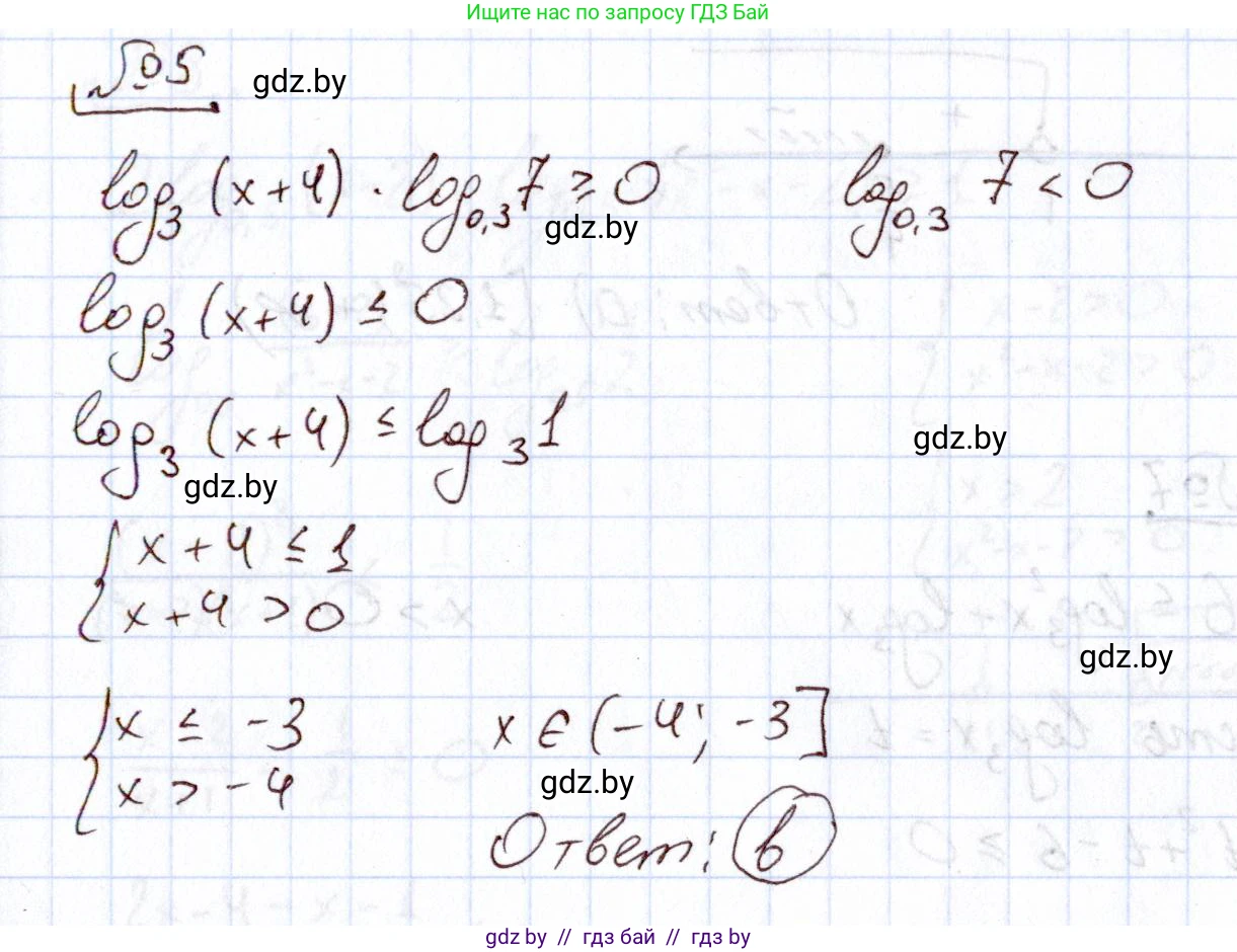
Решим неравенство $log_{3}(x + 4) \cdot log_{0,3}7 \ge 0$.

1. Найдём область допустимых значений (ОДЗ).

Аргумент логарифма должен быть строго положительным:

$x + 4 > 0$

$x > -4$

Таким образом, ОДЗ: $x \in (-4; +\infty)$.

2. Определим знак постоянного множителя $log_{0,3}7$.

Основание логарифма $a = 0,3$, что удовлетворяет условию $0 < a < 1$. Следовательно, логарифмическая функция $y = log_{0,3}t$ является убывающей.

Сравним $log_{0,3}7$ с нулем. Мы знаем, что $0$ можно представить как $log_{0,3}1$.

Поскольку $7 > 1$, а функция убывающая, то $log_{0,3}7 < log_{0,3}1$.

Это означает, что $log_{0,3}7 < 0$.

3. Упростим исходное неравенство.

Так как мы умножаем $log_{3}(x + 4)$ на отрицательное число $log_{0,3}7$, и произведение должно быть больше или равно нулю, то множитель $log_{3}(x + 4)$ должен быть меньше или равен нулю.

Это можно показать, разделив обе части неравенства на $log_{0,3}7$. При делении на отрицательное число знак неравенства меняется на противоположный:

$\frac{log_{3}(x + 4) \cdot log_{0,3}7}{log_{0,3}7} \le \frac{0}{log_{0,3}7}$

$log_{3}(x + 4) \le 0$

4. Решим полученное логарифмическое неравенство.

Представим $0$ в виде логарифма с основанием 3:

$0 = log_{3}1$

Неравенство принимает вид:

$log_{3}(x + 4) \le log_{3}1$

Основание этого логарифма $a = 3$, что больше 1. Следовательно, функция $y = log_{3}t$ является возрастающей. При переходе от логарифмов к их аргументам знак неравенства сохраняется:

$x + 4 \le 1$

$x \le 1 - 4$

$x \le -3$

5. Найдем пересечение решения с ОДЗ.

Мы получили два условия для $x$:

$\begin{cases} x > -4 \text{ (из ОДЗ)} \\ x \le -3 \text{ (из решения неравенства)} \end{cases}$

Пересечением этих двух множеств является интервал $(-4; -3]$.

Таким образом, решение исходного неравенства: $x \in (-4; -3]$.

Сравнивая полученный результат с предложенными вариантами, видим, что он соответствует варианту в).

Ответ: в) $(-4; -3]$.

Помогло решение? Оставьте отзыв в комментариях ниже.

Присоединяйтесь к Телеграм-группе @gdz_by_belarus

Присоединиться

Мы подготовили для вас ответ c подробным объяснением домашего задания по алгебре за 11 класс, для упражнения номер 5 расположенного на странице 258 к учебнику 2020 года издания для учащихся школ и гимназий.

Теперь на нашем сайте ГДЗ.ТОП вы всегда легко и бесплатно найдёте условие с правильным ответом на вопрос «Как решить ДЗ» и «Как сделать» задание по алгебре к упражнению №5 (с. 258), авторов: Арефьева (Ирина Глебовна), Пирютко (Ольга Николаевна), учебного пособия издательства Народная асвета.