Номер 11, страница 259 - гдз по алгебре 11 класс учебник Арефьева, Пирютко

Алгебра, 11 класс Учебник, авторы: Арефьева Ирина Глебовна, Пирютко Ольга Николаевна, издательство Народная асвета, Минск, 2020, бирюзового цвета

Авторы: Арефьева И. Г., Пирютко О. Н.

Тип: Учебник

Издательство: Народная асвета

Год издания: 2020 - 2026

Цвет обложки: бирюзовый, зелёный с графиком

ISBN: 978-985-03-3165-6

Популярные ГДЗ в 11 классе

Тематические тесты. Тест 11. Логарифмические неравенства - номер 11, страница 259.

№11 (с. 259)
Условие. №11 (с. 259)
скриншот условия
Алгебра, 11 класс Учебник, авторы: Арефьева Ирина Глебовна, Пирютко Ольга Николаевна, издательство Народная асвета, Минск, 2020, бирюзового цвета, страница 259, номер 11, Условие

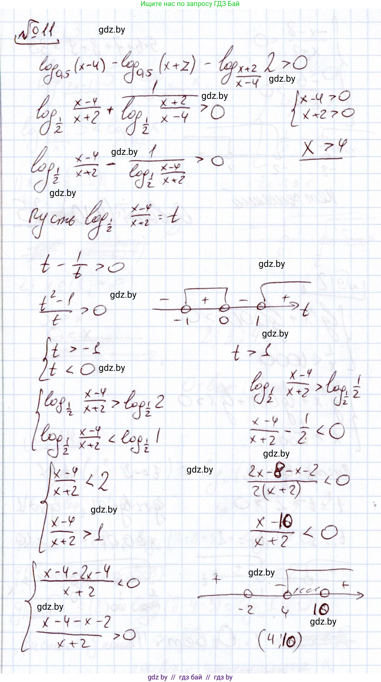
11. Найдите сумму целых решений неравенства

$ \log_{0.5}(x-4) - \log_{0.5}(x+2) - \log_{\frac{x+2}{x-4}} 2 > 0. $

Решение. №11 (с. 259)
Алгебра, 11 класс Учебник, авторы: Арефьева Ирина Глебовна, Пирютко Ольга Николаевна, издательство Народная асвета, Минск, 2020, бирюзового цвета, страница 259, номер 11, Решение Алгебра, 11 класс Учебник, авторы: Арефьева Ирина Глебовна, Пирютко Ольга Николаевна, издательство Народная асвета, Минск, 2020, бирюзового цвета, страница 259, номер 11, Решение (продолжение 2)
Решение 2. №11 (с. 259)

Исходное неравенство:$log_{0,5}(x - 4) - log_{0,5}(x + 2) - log_{\frac{x+2}{x-4}}2 > 0$

Найдем область допустимых значений (ОДЗ). Аргументы логарифмов должны быть положительны, а основания логарифмов должны быть положительны и не равны единице.
1. $x - 4 > 0 \implies x > 4$
2. $x + 2 > 0 \implies x > -2$
3. Основание $\frac{x+2}{x-4}$ должно быть больше нуля и не равно единице.
$\frac{x+2}{x-4} > 0$
$\frac{x+2}{x-4} \neq 1 \implies x+2 \neq x-4 \implies 2 \neq -4$, что верно для любого $x$.

Объединяя условия, получаем, что $x$ должен быть больше 4. При $x > 4$ условие $\frac{x+2}{x-4} > 0$ выполняется, так как и числитель, и знаменатель положительны. Таким образом, ОДЗ: $x \in (4; +\infty)$.

Преобразуем неравенство, используя свойства логарифмов: $log_a(b) - log_a(c) = log_a(\frac{b}{c})$ и $log_{1/b}(a) = -log_b(a)$.$log_{0,5}(\frac{x-4}{x+2}) - log_{\frac{x+2}{x-4}}2 > 0$

Заметим, что $\frac{x+2}{x-4} = (\frac{x-4}{x+2})^{-1}$. Тогда $log_{\frac{x+2}{x-4}}2 = log_{(\frac{x-4}{x+2})^{-1}}2 = -log_{\frac{x-4}{x+2}}2$. Неравенство принимает вид:$log_{0,5}(\frac{x-4}{x+2}) + log_{\frac{x-4}{x+2}}2 > 0$

Сделаем замену $t = \frac{x-4}{x+2}$.$log_{0,5}(t) + log_t(2) > 0$

Перейдем к основанию 2, используя формулы $log_{a^k}(b) = \frac{1}{k}log_a(b)$ и $log_b(a) = \frac{1}{log_a(b)}$.$log_{2^{-1}}(t) + \frac{1}{log_2(t)} > 0$$-log_2(t) + \frac{1}{log_2(t)} > 0$

Сделаем еще одну замену $y = log_2(t)$.$-y + \frac{1}{y} > 0$$\frac{1 - y^2}{y} > 0$$\frac{(1-y)(1+y)}{y} > 0$

Решим это неравенство методом интервалов. Корни числителя: $y=1, y=-1$. Корень знаменателя: $y=0$. Интервалы, на которых неравенство выполняется: $y < -1$ и $0 < y < 1$. То есть $y \in (-\infty; -1) \cup (0; 1)$.

Вернемся к замене $y = log_2(t)$.
1. $log_2(t) < -1 \implies t < 2^{-1} \implies t < \frac{1}{2}$.
2. $0 < log_2(t) < 1 \implies 2^0 < t < 2^1 \implies 1 < t < 2$.

Теперь вернемся к замене $t = \frac{x-4}{x+2}$. Исследуем поведение функции $t(x) = \frac{x-4}{x+2} = \frac{x+2-6}{x+2} = 1 - \frac{6}{x+2}$ на ОДЗ ($x>4$). При $x > 4$, знаменатель $x+2$ больше 6. Тогда $0 < \frac{6}{x+2} < 1$. Следовательно, $0 < 1 - \frac{6}{x+2} < 1$, то есть $0 < t < 1$.

Совмещая полученные решения для $t$ ($t < \frac{1}{2}$ или $1 < t < 2$) с областью значений $t$ на ОДЗ ($0 < t < 1$), получаем итоговое неравенство для $t$:$0 < t < \frac{1}{2}$.

Подставляем обратно выражение для $t$:$0 < \frac{x-4}{x+2} < \frac{1}{2}$.

Неравенство $0 < \frac{x-4}{x+2}$ выполняется на всей ОДЗ ($x>4$). Решим вторую часть неравенства: $\frac{x-4}{x+2} < \frac{1}{2}$. Так как на ОДЗ $x+2 > 0$, можно умножить обе части на $2(x+2)$, сохранив знак неравенства:$2(x-4) < x+2$$2x - 8 < x + 2$$x < 10$

Объединяя полученное решение $x < 10$ с ОДЗ $x > 4$, получаем итоговый интервал для $x$:$4 < x < 10$.

Целыми решениями неравенства на этом интервале являются числа: 5, 6, 7, 8, 9. Найдем их сумму:$5 + 6 + 7 + 8 + 9 = 35$.

Ответ: 35

Помогло решение? Оставьте отзыв в комментариях ниже.

Присоединяйтесь к Телеграм-группе @gdz_by_belarus

Присоединиться

Мы подготовили для вас ответ c подробным объяснением домашего задания по алгебре за 11 класс, для упражнения номер 11 расположенного на странице 259 к учебнику 2020 года издания для учащихся школ и гимназий.

Теперь на нашем сайте ГДЗ.ТОП вы всегда легко и бесплатно найдёте условие с правильным ответом на вопрос «Как решить ДЗ» и «Как сделать» задание по алгебре к упражнению №11 (с. 259), авторов: Арефьева (Ирина Глебовна), Пирютко (Ольга Николаевна), учебного пособия издательства Народная асвета.