Номер 15, страница 260 - гдз по алгебре 11 класс учебник Арефьева, Пирютко

Алгебра, 11 класс Учебник, авторы: Арефьева Ирина Глебовна, Пирютко Ольга Николаевна, издательство Народная асвета, Минск, 2020, бирюзового цвета

Авторы: Арефьева И. Г., Пирютко О. Н.

Тип: Учебник

Издательство: Народная асвета

Год издания: 2020 - 2026

Цвет обложки: бирюзовый, зелёный с графиком

ISBN: 978-985-03-3165-6

Популярные ГДЗ в 11 классе

Тематические тесты. Тест 11. Логарифмические неравенства - номер 15, страница 260.

№15 (с. 260)
Условие. №15 (с. 260)
скриншот условия
Алгебра, 11 класс Учебник, авторы: Арефьева Ирина Глебовна, Пирютко Ольга Николаевна, издательство Народная асвета, Минск, 2020, бирюзового цвета, страница 260, номер 15, Условие

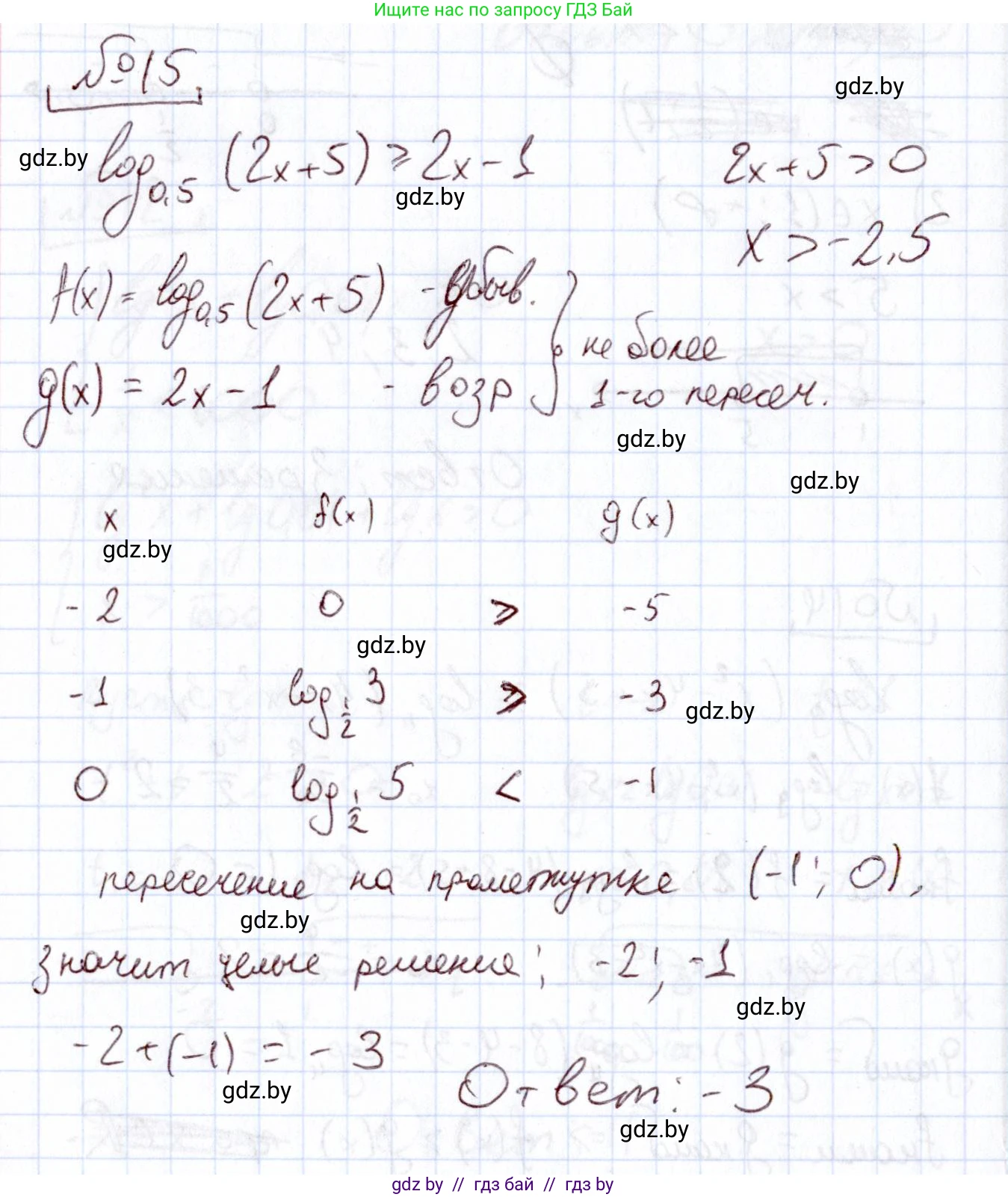
15. Найдите сумму целых решений неравенства $\log_{0,5}(2x + 5) \geq 2x - 1$.

Решение. №15 (с. 260)
Алгебра, 11 класс Учебник, авторы: Арефьева Ирина Глебовна, Пирютко Ольга Николаевна, издательство Народная асвета, Минск, 2020, бирюзового цвета, страница 260, номер 15, Решение
Решение 2. №15 (с. 260)

1. Нахождение области допустимых значений (ОДЗ)

Выражение под знаком логарифма должно быть строго положительным:
$2x + 5 > 0$
$2x > -5$
$x > -2.5$
Таким образом, ОДЗ: $x \in (-2.5, +\infty)$.

2. Решение неравенства

Рассмотрим исходное неравенство:
$\log_{0.5}(2x + 5) \ge 2x - 1$

Так как основание логарифма $0.5$ меньше 1 ($0 < 0.5 < 1$), логарифмическая функция является убывающей. При потенцировании (избавлении от логарифма) знак неравенства меняется на противоположный:
$2x + 5 \le (0.5)^{2x - 1}$

Преобразуем правую часть:
$(0.5)^{2x - 1} = (\frac{1}{2})^{2x - 1} = (2^{-1})^{2x - 1} = 2^{-(2x - 1)} = 2^{1 - 2x}$

Неравенство принимает вид:
$2x + 5 \le 2^{1 - 2x}$

Для решения этого неравенства введем две функции: $f(x) = 2x + 5$ и $g(x) = 2^{1 - 2x}$. Нам нужно найти, при каких $x$ выполняется условие $f(x) \le g(x)$.

Проанализируем поведение функций:

  • $f(x) = 2x + 5$ — это линейная функция, которая является возрастающей, так как ее угловой коэффициент $2 > 0$.
  • $g(x) = 2^{1 - 2x}$ — это показательная функция, которая является убывающей, так как основание $2 > 1$, а показатель $1 - 2x$ — убывающая функция от $x$.

Возрастающая и убывающая функции могут пересечься не более чем в одной точке. Сравним значения функций при некоторых целых $x$ из ОДЗ.

При $x = -1$:
$f(-1) = 2(-1) + 5 = 3$
$g(-1) = 2^{1 - 2(-1)} = 2^{3} = 8$
Поскольку $3 \le 8$, неравенство $f(x) \le g(x)$ выполняется, значит $x = -1$ является решением исходного неравенства.

При $x = 0$:
$f(0) = 2(0) + 5 = 5$
$g(0) = 2^{1 - 2(0)} = 2^{1} = 2$
Поскольку $5 \not\le 2$, неравенство $f(x) \le g(x)$ не выполняется, значит $x = 0$ не является решением.

Так как $f(-1) \le g(-1)$ и $f(0) > g(0)$, а функции $f(x)$ и $g(x)$ непрерывны, точка их пересечения $x_0$ лежит в интервале $(-1, 0)$. Неравенство $f(x) \le g(x)$ справедливо для всех $x \le x_0$.

3. Нахождение суммы целых решений

Объединим полученное решение с ОДЗ:
$\begin{cases} x > -2.5 \quad (\text{ОДЗ}) \\ x \le x_0, \text{ где } -1 < x_0 < 0 \end{cases}$

Общее решение неравенства: $x \in (-2.5, x_0]$.

Нам нужно найти все целые числа, удовлетворяющие этому промежутку. Целые числа, которые больше $-2.5$, это $-2, -1, 0, \dots$. Из них мы должны выбрать те, которые меньше или равны $x_0$.

Поскольку $-1 < x_0 < 0$, то целыми числами в промежутке $(-2.5, x_0]$ являются $-2$ и $-1$.

Итак, целые решения неравенства: $\{-2, -1\}$.

Найдем их сумму:
$(-2) + (-1) = -3$.

Ответ: -3

Помогло решение? Оставьте отзыв в комментариях ниже.

Присоединяйтесь к Телеграм-группе @gdz_by_belarus

Присоединиться

Мы подготовили для вас ответ c подробным объяснением домашего задания по алгебре за 11 класс, для упражнения номер 15 расположенного на странице 260 к учебнику 2020 года издания для учащихся школ и гимназий.

Теперь на нашем сайте ГДЗ.ТОП вы всегда легко и бесплатно найдёте условие с правильным ответом на вопрос «Как решить ДЗ» и «Как сделать» задание по алгебре к упражнению №15 (с. 260), авторов: Арефьева (Ирина Глебовна), Пирютко (Ольга Николаевна), учебного пособия издательства Народная асвета.