Номер 7.4, страница 219 - гдз по алгебре 11 класс учебник Никольский, Потапов

Алгебра, 11 класс Учебник, авторы: Никольский Сергей Михайлович, Потапов Михаил Константинович, Решетников Николай Николаевич, Шевкин Александр Владимирович, издательство Просвещение, Москва, 2014, голубого цвета

Авторы: Никольский С. М., Потапов М. К., Решетников Н. Н., Шевкин А. В.

Тип: Учебник

Серия: мгу - школе

Издательство: Просвещение

Год издания: 2014 - 2026

Уровень обучения: базовый и углублённый

Цвет обложки: голубой в сеточку

ISBN: 978-5-09-087641-4

Допущено Министерством просвещения Российской Федерации

Математика: алгебра и начала математического анализа, геометрия

Популярные ГДЗ в 11 классе

Глава 2. Уравнения. Неравенства. Системы. Параграф 7. Равносильность уравнений и неравенств - номер 7.4, страница 219.

№7.4 (с. 219)
Условие. №7.4 (с. 219)
скриншот условия
Алгебра, 11 класс Учебник, авторы: Никольский Сергей Михайлович, Потапов Михаил Константинович, Решетников Николай Николаевич, Шевкин Александр Владимирович, издательство Просвещение, Москва, 2014, голубого цвета, страница 219, номер 7.4, Условие

Решите уравнение (7.4—7.12):

7.4 а) $\cos 2x - \cos^2 x - \sin x = 0;$

б) $\cos 2x - \cos^2 x + \sin x = 0;$

в) $\cos 2x + \cos^2 x - 0.5 = 0;$

г) $\cos 2x - \sin^2 x + 0.5 = 0.$

Решение 1. №7.4 (с. 219)
Алгебра, 11 класс Учебник, авторы: Никольский Сергей Михайлович, Потапов Михаил Константинович, Решетников Николай Николаевич, Шевкин Александр Владимирович, издательство Просвещение, Москва, 2014, голубого цвета, страница 219, номер 7.4, Решение 1
Алгебра, 11 класс Учебник, авторы: Никольский Сергей Михайлович, Потапов Михаил Константинович, Решетников Николай Николаевич, Шевкин Александр Владимирович, издательство Просвещение, Москва, 2014, голубого цвета, страница 219, номер 7.4, Решение 1 (продолжение 2)
Решение 2. №7.4 (с. 219)
Алгебра, 11 класс Учебник, авторы: Никольский Сергей Михайлович, Потапов Михаил Константинович, Решетников Николай Николаевич, Шевкин Александр Владимирович, издательство Просвещение, Москва, 2014, голубого цвета, страница 219, номер 7.4, Решение 2
Алгебра, 11 класс Учебник, авторы: Никольский Сергей Михайлович, Потапов Михаил Константинович, Решетников Николай Николаевич, Шевкин Александр Владимирович, издательство Просвещение, Москва, 2014, голубого цвета, страница 219, номер 7.4, Решение 2 (продолжение 2)
Решение 4. №7.4 (с. 219)
а)

Исходное уравнение: $ \cos 2x - \cos^2 x - \sin x = 0 $.

Для решения приведем все тригонометрические функции к одной, в данном случае к $ \sin x $. Воспользуемся формулой двойного угла для косинуса $ \cos 2x = 1 - 2\sin^2 x $ и основным тригонометрическим тождеством $ \cos^2 x = 1 - \sin^2 x $.

Подставим эти выражения в исходное уравнение:

$ (1 - 2\sin^2 x) - (1 - \sin^2 x) - \sin x = 0 $

Раскроем скобки и упростим выражение:

$ 1 - 2\sin^2 x - 1 + \sin^2 x - \sin x = 0 $

$ -\sin^2 x - \sin x = 0 $

Умножим уравнение на -1 и вынесем общий множитель $ \sin x $ за скобки:

$ \sin^2 x + \sin x = 0 $

$ \sin x (\sin x + 1) = 0 $

Это уравнение распадается на два:

1) $ \sin x = 0 $, откуда $ x = \pi n $, где $ n \in \mathbb{Z} $.

2) $ \sin x + 1 = 0 \Rightarrow \sin x = -1 $, откуда $ x = -\frac{\pi}{2} + 2\pi k $, где $ k \in \mathbb{Z} $.

Ответ: $ x = \pi n, n \in \mathbb{Z}; \quad x = -\frac{\pi}{2} + 2\pi k, k \in \mathbb{Z} $.

б)

Исходное уравнение: $ \cos 2x - \cos^2 x + \sin x = 0 $.

Аналогично предыдущему пункту, используем формулы $ \cos 2x = 1 - 2\sin^2 x $ и $ \cos^2 x = 1 - \sin^2 x $, чтобы выразить все через $ \sin x $.

Подставляем в уравнение:

$ (1 - 2\sin^2 x) - (1 - \sin^2 x) + \sin x = 0 $

Раскрываем скобки и упрощаем:

$ 1 - 2\sin^2 x - 1 + \sin^2 x + \sin x = 0 $

$ -\sin^2 x + \sin x = 0 $

Умножим на -1 и вынесем $ \sin x $ за скобки:

$ \sin^2 x - \sin x = 0 $

$ \sin x (\sin x - 1) = 0 $

Уравнение распадается на два случая:

1) $ \sin x = 0 $, откуда $ x = \pi n $, где $ n \in \mathbb{Z} $.

2) $ \sin x - 1 = 0 \Rightarrow \sin x = 1 $, откуда $ x = \frac{\pi}{2} + 2\pi k $, где $ k \in \mathbb{Z} $.

Ответ: $ x = \pi n, n \in \mathbb{Z}; \quad x = \frac{\pi}{2} + 2\pi k, k \in \mathbb{Z} $.

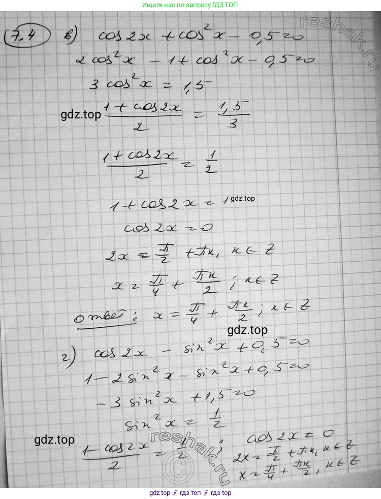
в)

Исходное уравнение: $ \cos 2x + \cos^2 x - 0,5 = 0 $.

В этом уравнении удобнее выразить $ \cos^2 x $ через $ \cos 2x $, используя формулу понижения степени: $ \cos^2 x = \frac{1 + \cos 2x}{2} $.

Подставим это в уравнение:

$ \cos 2x + \frac{1 + \cos 2x}{2} - 0,5 = 0 $

Заменим 0,5 на $ \frac{1}{2} $ и решим уравнение относительно $ \cos 2x $:

$ \cos 2x + \frac{1}{2} + \frac{\cos 2x}{2} - \frac{1}{2} = 0 $

$ \cos 2x + \frac{\cos 2x}{2} = 0 $

$ \frac{3}{2} \cos 2x = 0 $

$ \cos 2x = 0 $

Решаем простейшее тригонометрическое уравнение:

$ 2x = \frac{\pi}{2} + \pi n, \quad n \in \mathbb{Z} $

Разделим обе части на 2, чтобы найти $ x $:

$ x = \frac{\pi}{4} + \frac{\pi n}{2}, \quad n \in \mathbb{Z} $

Ответ: $ x = \frac{\pi}{4} + \frac{\pi n}{2}, n \in \mathbb{Z} $.

г)

Исходное уравнение: $ \cos 2x - \sin^2 x + 0,5 = 0 $.

Здесь удобно выразить $ \sin^2 x $ через $ \cos 2x $, используя формулу понижения степени: $ \sin^2 x = \frac{1 - \cos 2x}{2} $.

Подставим в уравнение:

$ \cos 2x - \frac{1 - \cos 2x}{2} + 0,5 = 0 $

Чтобы избавиться от дроби, умножим все уравнение на 2:

$ 2\cos 2x - (1 - \cos 2x) + 1 = 0 $

Раскроем скобки и приведем подобные слагаемые:

$ 2\cos 2x - 1 + \cos 2x + 1 = 0 $

$ 3\cos 2x = 0 $

$ \cos 2x = 0 $

Это уравнение полностью совпадает с уравнением из предыдущего пункта.

$ 2x = \frac{\pi}{2} + \pi n, \quad n \in \mathbb{Z} $

$ x = \frac{\pi}{4} + \frac{\pi n}{2}, \quad n \in \mathbb{Z} $

Ответ: $ x = \frac{\pi}{4} + \frac{\pi n}{2}, n \in \mathbb{Z} $.

Помогло решение? Оставьте отзыв в комментариях ниже.

Присоединяйтесь к Телеграм-группе @top_gdz

Присоединиться

Мы подготовили для вас ответ c подробным объяснением домашего задания по алгебре за 11 класс, для упражнения номер 7.4 расположенного на странице 219 к учебнику серии мгу - школе 2014 года издания для учащихся школ и гимназий.

Теперь на нашем сайте ГДЗ.ТОП вы всегда легко и бесплатно найдёте условие с правильным ответом на вопрос «Как решить ДЗ» и «Как сделать» задание по алгебре к упражнению №7.4 (с. 219), авторов: Никольский (Сергей Михайлович), Потапов (Михаил Константинович), Решетников (Николай Николаевич), Шевкин (Александр Владимирович), ФГОС (старый) базовый и углублённый уровень обучения учебного пособия издательства Просвещение.